


论文摘要
关键图表

图 1.研究区位置、地面样方分布及无人机航测区域(A)为中国江苏省选取的 6 个县(市、区)地理位置及全省野外调查样方分布;(B)–(G)分别为灌云(GY)、睢宁(SN)、淮安(HA)、兴化(XH)、如皋(RG)、吴江(WJ)冬小麦田无人机航测区域分布;(H)为成熟期用于测产的 1 m × 1 m 冬小麦测产小样方;(I)为搭载 MicaSense RedEdge MX 多光谱相机的大疆 Matrice V200 无人机。




图 5.2022–2023 年基于留一交叉验证(LOOCV)的地面–卫星模型与地面–无人机模型在 6 个县冬小麦产量预测中的(A)决定系数 R² 与(B)均方根误差 RMSE 对比。

图 6. 2022–2023 年 4 种回归算法在地面–卫星模型与地面–无人机–卫星模型下的冬小麦产量预测效果对比(A)、(E)XGBoost;(B)、(F)随机森林回归(RFR);(C)、(G)支持向量回归(SVR);(D)、(H)深度神经网络(DNN)。第一行为留一交叉验证(LOOCV)评估的地面–卫星模型(N=360);第二行为 100 次建模中表现最优(R² 最高)的地面–无人机–卫星模型(N=15026)。黑色虚线为 1:1 参考线,红色实线为预测产量与(A)实测产量或(B)无人机升尺度产量的线性拟合线。

图 7.平均 SHAP 值;(B)SHAP 汇总图。(标注 “B” 表示拔节–抽穗期,“_F” 表示开花–灌浆期;植被指数以 “1”“2”“3” 结尾分别表示由 Sentinel-2 红边波段 1、2、3 计算得到。)。

图 8.2022–2023 年样本增强后冬小麦产量与 12 个空间变异指标的皮尔逊相关系数(r)(n=75154)其中 6 个指标标注 “_B” 对应拔节–抽穗期,6 个标注 “_F” 对应开花–灌浆期。因对角线对称,仅展示下三角部分。彩色相关系数 r 表示具有统计学显著相关性(p<0.05)。

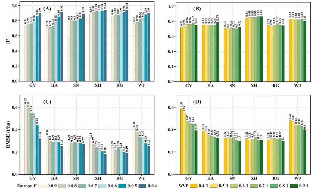
图 9.2022–2023 年基于空间变异指标熵值_F(左列)与波形方差(WVF,右列)的地面–无人机–卫星 DNN 模型在不同条件下各县冬小麦产量预测精度(A)–(B)决定系数 R²;(C)–(D)均方根误差 RMSE。每种条件通过设定熵值_F 或 WVF 区间,排除高空间变异对产量预测的影响。为保证县域样本均衡,每种条件下从各县随机抽取 6000 个样本。

图 10.3 种组合条件(组合 1–3)下地面–无人机–卫星 DNN 模型在 6 个县的冬小麦产量预测精度(A)组合 1:熵值_F 区间为睢宁 0–0.4、如皋 0–0.5、淮安 / 兴化 / 吴江 0–0.6、灌云 0–0.7;(B)组合 2:熵值_F 区间为睢宁 0–0.5、如皋 0–0.6、淮安 / 兴化 / 吴江 0–0.7、灌云 0–0.8;(C)组合 3:熵值_F 区间为灌云 / 淮安 / 睢宁 / 兴化 / 如皋 / 吴江均为 0–0.4。为保证客观评估,从每个县随机抽取 2000 个样本作为测试集,所有组合使用同一测试集。

图 11.2022–2023 年基于(A–C)地面–卫星 DNN 模型与(D–F)最优地面–无人机–卫星 DNN 模型的精度验证及冬小麦产量空间分布图(A)、(D)分别为两模型基于全省地面实测的冬小麦产量预测精度;(B)、(E)分别为两模型反演的 2022–2023 年江苏省冬小麦产量空间分布图;(C)、(F)分别为两模型产量纬向剖面(阴影区域为标准误)。黑色虚线为 1:1 参考线,红色实线为线性拟合线,灰色阴影为 0.9 置信区间。每张产量图均附带各产量等级面积占比柱状图。

图 12.2022–2023 年地面–卫星模型与最优地面–无人机–卫星 DNN 模型冬小麦产量空间分布图对比第一行为 Sentinel-2 假彩色合成影像(红:绿波段,绿:近红外波段,蓝:红波段);第一行黄色矩形为样方实测产量;最后两行黑色矩形为样方预测产量。子图(A)–(D)分别来自睢宁、兴化、如皋、吴江。

图 13.基于全省地面实测的(A–B)地面–卫星 DNN 模型与(C–D)最优地面–无人机–卫星 DNN 模型冬小麦预测可迁移性对比三角形为 2021–2022 年共 69 个样本,圆形为 2023–2024 年共 44 个样本;橙色、蓝色、绿色分别代表苏北(NJ)、苏中(CJ)、苏南(SJ)。

图 14.两季江苏省冬小麦产量预测空间分布图:(A–B)地面–卫星模型;(C–D)最优地面–无人机–卫星 DNN 模型左列为 2021–2022 季,右列为 2023–2024 季;图中柱状图为各产量等级对应面积占比。

图 15.睢宁县(A–C)地面–卫星 DNN 模型与(D–F)最优地面–无人机–卫星 DNN 模型冬小麦产量预测图(A)、(D)2021–2022 年;(B)、(E)2022–2023 年;(C)、(F)2023–2024 年。
版权声明
更多阅读

JAG最新成果|北京师范大学陈晋团队提出DreamCD:无需标注!用弱条件扩散模型做高分辨率遥感变化检测,性能再突破
2026-02-14

RSE最新成果|突破Landsat重访限制!基于 GEE的多源数据融合,蒸散估算精度大幅提升
2026-02-13

RSE最新成果|香港大学黄波团队融合Landsat、哨兵2号,生成10米、3 天间隔地表温度产品
2026-02-12
