
2026年强基计划招生简章将于4月初发布,现阶段正是备考强基校测的关键时期!很多考生家长还不知道目标高校强基校测考什么?难度如何?怎样才能针对性备考?
自主选拔在线团队特编写制作<39所高校强基计划历年校测考情揭秘>系列文章(点击蓝字查看),助力大家了解强基计划高校校测考情、往年试题等,方便各位考生科学备考目标院校!
今天为大家带来第7期:南京大学强基计划校测考情及近3年校测试题,供2026届及低年级考生家长参考!
南京大学2025年强基计划校测分为初试(笔试)、复试(面试+体测)。
✅初试(笔试):
⏰考试时间:10:00-11:30/14:00-15:30,一个半小时
👉科目时间安排:

👉题型&题量:文史哲综合15道单选,单选题每道题6个选项,4道主观题,每题2问。
👉分值:文史哲综合单选题1题2分,共30分,主观题共70分
👉试题难度:
理科专业选择题部分难度很大,没有竞赛基础的同学做起来很吃力。
文科专业课外知识很多,难度很大。
✅复试(面试+体测):
⏰考试时间:每名考生8分钟面试时长

👉面试模式:多对一,多位老师1名考生
👉考察内容:报考专业相关的学科问题
👉体育测试:项目为50米跑和立定跳远,结果作为同等条件下优先录取的依据
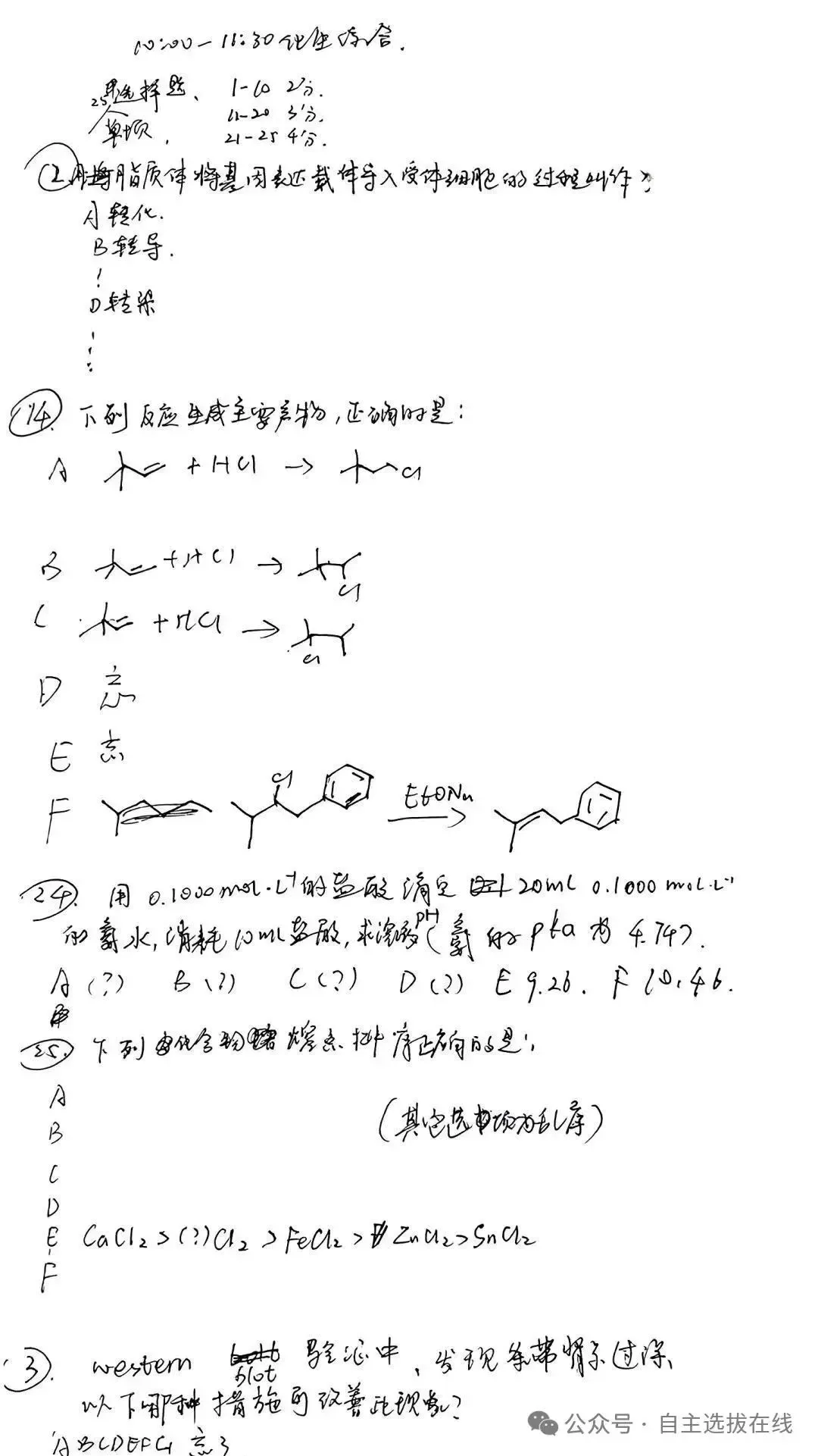
初试(笔试)试题
哲学试题:
《春秋外传》指的是什么?
化生综合试题:

复试(面试)试题
杨式双维干涉相邻量条纹之间的距离和什么有关?




化生综合(回忆版)
1.已知一氨基酸及其盐酸盐的pka,求等电点并写出此状态下氨基酸的结构式
2.两个二齿配体的氨基酸和水与cu形成的盐结构为四方锥,h2o位于轴上写出结构
3.M金属和三个氨基酸配体构成八面体结构,画出其构型。
4.绘制三价铁和二价铜的自旋类型,高低自旋都有就都画出。
5.已知fe盐的磁矩判断其自旋类型。
6.核糖体中a位点在哪里?作用是什么?
7.什么叫多聚核糖体?它的生物学意义是什么?
8.3绘制ph=2和11下某氨基酸的结构简式。
9.c4h8的结构共几种?



2026年强基计划将于4月初开始报名,有意向的考生家长要及早规划,了解目标院校报考政策新动向,自主选拔在线团队特建立【2026强基综评报考交流群】群内第一时间分享各高校强基计划招生动态、报名时间、招生政策、报考流程、校测试题等干货资讯,助力考生报考!
扫描下方二维码立即进群👇

🎁现在进群即可领取《2025强基计划入围分数线汇编》电子资料,助力考生家长顺利报考强基计划,降分上岸名校!

如无法进群,可添加桃兮老师(微信号:zizzs1)回复【强基】拉群~
自主选拔在线提供强基、综评、港澳、学科竞赛、少年班、清北、华五等升学政策资讯,助力中学拔尖创新人才培养。欢迎更多初高中家长、师生一起关注我们,圆梦名校!
热门精选
声明:本文信息来源于网络,由自主选拔在线(微信公众号:zizzsw)整理编辑,如有侵权,请及时联系管理员删除。

