(可代为解读,作者校稿后发布) 投稿通道 ↑

高能量密度、可持续的储能需求使钠‑氧(Na‑O₂)电池成为研究前沿,其理论能量密度约 1100 W h kg⁻¹,且钠地壳丰度高、成本低,是下一代电网级储能的理想选择,学界也已阐明其电化学反应主要围绕 NaO₂和 Na₂O₂的生成与分解展开,但液态 Na‑O₂电池受限于有机电解液的化学不稳定性,超氧自由基易引发副反应形成绝缘层、提升过电位,还存在电解液易燃泄漏、钠枝晶穿透的安全隐患。全固态钠‑氧电池采用 β‑Al₂O₃等陶瓷电解质,虽能从本质上解决枝晶和电解液稳定性问题,却面临固‑固界面的 “界面瓶颈”,传统设计中界面呈点接触状态,离子通量受限、界面阻抗大,充放电过程中还会产生化学机械应变导致界面层状,正极缺乏集成的三相边界限制活性位点利用,负极金属钠因表面张力高在陶瓷表面润湿性差,引发电流分布不均和电池提前失效,各类有机中间层的改性尝试又会牺牲陶瓷电解质的化学稳定性和高温耐受性,成为全固态钠‑氧电池实用化的关键阻碍。
近日,南京大学何平、周豪慎团队设计了一种单片双层 β‑Al₂O₃陶瓷支架架构,通过双界面集成策略重构全固态 Na‑O₂电池的界面电荷传输过程,打造出高性能室温全固态 Na‑O₂电池:构建多孔 - 致密一体化支架消除电解液与正极间的宏观物理边界,形成无缝、低电阻的离子传导连续体,同时通过等离子体增强化学气相沉积在正极骨架内沉积 30 nm 厚的共形石墨碳层,搭建高保真电子网络以最大化活性位点利用率;在负极侧引入 Bi₂O₃纳米片介导的反应润湿机制,利用界面原位化学重构与合金化反应生成梯度 Na‑Bi‑O 混合导电界面相,实现钠金属与陶瓷电解质的有效融合,让对称电池获得超 14000 h 的稳定长循环性能。该设计使电池在室温下实现 4012 mA h g⁻¹ 的超高放电容量且可逆性优异,原位拉曼图谱和差分电化学质谱表征证实,固态环境为亚稳态 NaO₂相提供了独特的动力学稳定作用,抑制了液态体系中常见的副歧化反应路径,此研究也为复杂多相全固态能源化学中构建化学集成界面提供了通用设计思路。
该成果以 “Chemical Integration of Multiphase Interfaces in All-Solid-State Sodium−Oxygen Batteries via Monolithic Ceramic Scaffolds” 为题发表在 “Journal of the American Chemical Society” 期刊,第一作者是 Zhong Hanyun。
(电化学能源整理,未经申请,不得转载)
本文pdf请扫描底部二维码直接下载。

【工作要点】
设计并制备了单片双层 β‑Al₂O₃陶瓷骨架作为全固态 Na‑O₂电池的电解质基底,该骨架兼具致密层与多孔层结构,致密层提供连续的 Na⁺传导路径,多孔层作为本征反应主体,消除了电解液与正极间的宏观物理边界,构建出无缝的离子传导连续体,其室温 Na⁺电导率达 5.8×10⁻⁴ S cm⁻¹,离子 - 电子电导率比约 10⁶,能有效抑制固态体系中的寄生电子泄漏,为电池奠定了优良的离子传输基础。
对电池阴阳两极界面进行精准工程化改造,正极侧通过等离子体增强化学气相沉积在多孔骨架内沉积 30 nm 厚的共形石墨碳层,形成三维电子网络,拓展了三相边界,最大化活性位点利用率,且碳层未堵塞孔隙,保障了氧气扩散与 NaO₂结晶空间;负极侧引入 Bi₂O₃纳米片介导的反应润湿机制,通过与金属钠的原位氧化还原反应生成梯度 Na‑Bi‑O 混合导电界面相,实现钠金属与陶瓷电解质的分子级融合,使 Na-Na 对称电池在 0.25 mA cm⁻² 的电流密度下实现超 14000 h 的稳定长循环,临界电流密度也从 0.25 提升至 0.95 mA cm⁻²。
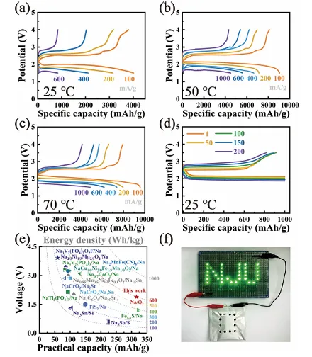
所制备的全固态 Na‑O₂电池展现出优异的电化学性能,室温下在 100 mA g⁻¹ 的电流密度下放电容量达 4012 mA h g⁻¹,在 600 mA g⁻¹ 的高电流密度下仍保有约 900 mA h g⁻¹ 的可逆容量,70℃时 1000 mA g⁻¹ 电流密度下容量可达 4906 mA h g⁻¹,在 100 mA g⁻¹、固定 1000 mA h g⁻¹ 容量下可稳定循环 200 圈,过电位低至 0.5 V。原位拉曼图谱、差分电化学质谱等表征证实,固态环境实现了亚稳态 NaO₂相的动力学稳定,抑制了其歧化副反应,电池遵循高可逆的单电子氧化还原反应路径,实际能量密度达 597 W h kg⁻¹,且可在常压空气环境下稳定工作,为全固态储能体系的界面设计提供了通用方案。
图 1 为全固态钠‑氧电池的界面工程示意图,左侧展示传统固态钠‑氧电池的界面缺陷,存在离子与电子通量受限、氧传输受阻、三相边界有限以及金属钠润湿性差的问题,最终导致界面电阻高、电池快速失效;右侧呈现双界面集成的全固态钠‑氧电池设计,依托多孔 - 致密双层 β‑Al₂O₃支架、共形碳网络与钠‑铋‑氧反应润湿界面相,实现了三相边界的拓展、二氧化钠的稳定存在,以及电池的低电阻、高可逆性运行,其中多孔 β‑Al₂O₃支架作为连续的离子传导通道消除了电解液与正极的宏观物理边界,共形碳层构建三维电子网络提升三相边界利用率,钠‑铋‑氧界面相则实现了金属钠与陶瓷电解质的原子级融合。
图 2 为单片双层 β‑Al₂O₃电解质的结构表征图,多维度验证了等离子体增强化学气相沉积制备的碳层与陶瓷骨架的复合结构特性,拉曼图谱证实了类石墨碳层的成功沉积,飞行时间二次离子质谱深度分析明确了碳层的厚度,扫描电镜对比呈现了多孔骨架涂覆碳层前后的微观形貌变化,透射电镜与高分辨透射电镜则清晰展现了碳 /β‑Al₂O₃界面的截面结构与石墨晶格条纹,全方位证明了 30 纳米厚的共形碳层均匀覆盖在陶瓷孔壁,且未破坏陶瓷基底的微观结构。
图 3 为反应性钠‑铋‑氧界面相的表征与电化学稳定性图,通过多种表征手段验证了氧化铋改性界面的结构与性能优势,扫描电镜呈现了氧化铋纳米片涂层的表面与截面形貌及元素分布,钠‑钠对称电池的恒电流循环测试对比了裸态与氧化铋改性 β‑Al₂O₃电解质的循环寿命,改性后的电池实现超 14000 小时的稳定循环,X 射线衍射与 X 射线光电子能谱则明确了钠接触后界面生成了钠铋合金与氧化钠相,证实了梯度钠‑铋‑氧混合导电界面相的形成。
图 4 为全固态钠‑氧电池的电化学性能与实际应用性图,系统分析了电池在不同温度、不同电流密度下的充放电性能与实际应用潜力,分别给出了 25℃、50℃、70℃下电流密度从 100 至 1000mA g⁻¹ 的恒电流充放电曲线,体现了电池良好的倍率性能与热稳定性,固定容量下的长循环测试验证了电池的循环稳定性,拉贡图对比了该工作与已报道全固态钠金属电池的实际容量、平均输出电压和质量能量密度,实际软包电池驱动发光二极管阵列的光学图像则证明了电池的实用化可行性,其实际能量密度可达 597W h kg⁻¹。
图 5 为全固态钠‑氧电池的反应机理分析图,结合多种原位与非原位表征手段阐明了电池的电化学反应机制与界面动态变化,扫描电镜捕捉到正极在原始、完全放电、充电后的形貌演变,证实放电产物二氧化钠可完全分解,球差校正透射电镜结合选区电子衍射明确了放电产物为晶态二氧化钠,差分电化学质谱分析了充放电过程中的气体演化动力学,证实单电子氧化还原反应的高可逆性,原位电化学阻抗谱监测了充放电不同阶段的阻抗变化,原位拉曼图谱则捕捉到二氧化钠特征信号的出现与消失,且全程未检测到过氧化钠信号,证明固态环境稳定了亚稳态二氧化钠相。
【结论】
本研究通过设计单片双层 β‑Al₂O₃陶瓷电解质,将固 - 固界面重构为化学连续体,研发出高性能全固态 Na‑O₂电池。通过在致密陶瓷层中集成多级孔支架,成功消除了电解液与正极间传统的宏观物理边界,构建出无缝的离子传导通道,实现 5.8×10⁻⁴ S cm⁻¹ 的高离子电导率,有效解决了机械混合物中常见的晶界电阻问题。研究发现,利用 Bi₂O₃中间层诱导的反应润湿机制,可解决长期存在的金属钠润湿性难题,负极界面发生的原位化学重构形成了梯度 Na‑Bi‑O 混合导电界面相,降低了界面电阻,使对称电池实现超 14000 h 的优异循环稳定性。正极侧通过等离子体增强化学气相沉积制备的 30 纳米共形碳层,在整个多孔支架上构建了稳定的电子网络,且未影响氧气扩散通道。该电池不仅在室温下实现 4012 mA h g⁻¹ 的创纪录放电容量,还在 1000 mA h g⁻¹ 的固定容量下稳定循环 200 圈,过电位低至 0.5 V。原位拉曼图谱和差分电化学质谱等表征手段,揭示了该体系对放电产物的稳定作用,证实固态环境通过消除液相溶剂化效应,有效抑制了亚稳态 NaO₂的歧化反应,保障了高可逆的单电子氧化还原化学过程。上述研究结果验证了界面工程在提升全固态 Na‑O₂电池性能方面的有效性,为化学集成界面的合理设计提供了通用方案,有望推动安全、高能量密度全固态储能体系的发展。
链接:https://doi.org/10.1021/jacs.6c00021