The Crop Journal | 南京农大联合三亚华大生命科学研究院提出大豆资源群体优化组合设计的高效机器学习基因组选择框架
亲本组配设计是作物遗传改良的关键环节,直接影响杂交后代中优异基因的重组潜力。传统育种主要依赖表型选择,在预测复杂性状方面仍存在较大不确定性。随着基因组学和生物信息学的发展,利用高密度分子标记和全基因组预测模型准确评估亲本间的重组潜力已成为可能,为精准育种提供了有效策略和工具。早期研究主要采用QTL-等位基因矩阵预测亲本间的重组潜力,进而指导最优亲本组合设计,缩短育种周期,提高选择效率。值得注意的是,GWAS对QTL的检测能力直接影响重组潜力预测的可靠性。因此,亟待发展一种高效的方法用于优化亲本组配设计。
近日,南京农业大学盖钧镒院士团队联合三亚华大生命科学研究院方晓东研究员团队,在The Crop Journal在线发表了题为“An efficient machine-learning framework for genomic selection of optimal crosses in soybean germplasm population”的研究论文。该研究提出了一种名为EMLGP的集成机器学习框架(图1)。基于大豆实际性状表型、多场景模拟表型以及水稻、玉米、棉花、高粱等其他作物表型预测结果,EMLGP展现出优异的预测稳健性和广泛的适用性。此外,EMLGP还应用于大豆农艺性状亲本组合潜力的预测评估。

EMLGP框架主要包含两个关键步骤:(1)基因组选择模型构建。首先对基因型数据进行编码,随后通过连锁不平衡进行数据降维,筛选出TagSNPs。再利用Boruta算法进行第二轮特征选择,最终训练得到集成模型。(2)重组潜力预测。模拟各亲本组合的后代基因型,并利用已训练的模型预测后代表型值,进而评估每个亲本组合的重组潜力(图1)。

图1 EMLGP框架结构示例图
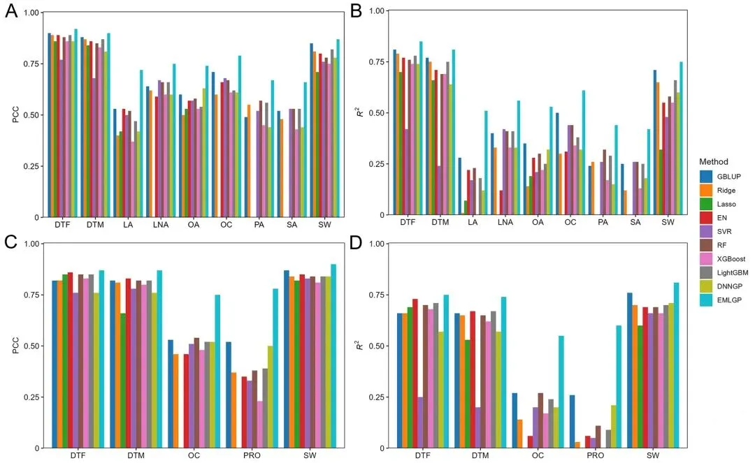
基于14个大豆性状的基因组选择模型训练结果表明,EMLGP表现出优异的预测性能,最高预测精度达0.92(图2)。与GBLUP相比,最大提升幅度为35.85%。进一步的模拟研究证实,在样本量为300~5000、性状遗传率为0.4~0.6及复杂遗传结构(100 QTL)的条件下,EMLGP的预测优势最为显著。利用水稻、玉米、棉花、高粱和柳枝稷的真实数据进行验证,结果一致表明EMLGP的预测性能优于GBLUP与深度学习方法(图3)。

图2 大豆农艺性状基因组选择模型的准确性比较

图3 其他作物基因组选择模型的准确性比较
在14个大豆农艺性状中,有13个性状在后代中表现出超亲潜力(图4)。在CSGP1中,油脂含量、棕榈酸含量、硬脂酸含量、油酸含量、亚油酸含量、亚麻酸含量、百粒重、开花期和生育期9个性状的后代预测最大值分别为23.16、13.70、4.81、40.69、66.04、14.00、32.79、88.68和149.38。在CSGP2中,百粒重、开花期、生育期、蛋白质含量和油脂含量的后代预测最大值分别为29.77、81.63、140.02、51.95和27.13。

图4 大豆农艺性状亲本组合后的预测表现
南京农业大学博士研究生冯卫丹和三亚华大生命科学研究院太帅帅为该文共同第一作者,南京农业大学盖钧镒院士和贺建波老师、三亚华大生命科学研究院方晓东研究员为共同通信作者。该研究得到海南省种业实验室揭榜挂帅大数据智能育种项目、江苏省重点研发计划和生物育种钟山实验室等项目资助。为了能更有效地帮助广大的科研工作者获取相关信息,植物生物技术Pbj特建立微信群,PlantBiotechnologyJournal投稿以及文献相关问题、公众号发布内容及公众号投稿问题都会集中在群内进行解答,同时鼓励在群内交流学术、碰撞思维。为了保证群内良好的讨论环境,请先添加小编微信,扫描二维码添加,之后我们会及时邀请您进群。小提示:添加小编微信时及进群后请务必备注学校或单位+姓名,PI在结尾注明,我们会邀请您进入PI群。
