(一)实验设计与田间布局
研究在南京市中山陵茶厂试验站进行,选用‘南京雨花’茶品种。实验共设置三个处理:单作(MCC)、间作大豆(LCC-S)和间作豇豆(LCC-C) 。在茶行间隙播种大豆(品种:Lamar)和豇豆(品种:苏夏 1 号),并遵循随机区组设计(RCBD)进行重复。实验期间不施用任何化肥、农药或除草剂。
图 1. 茶园行间间作大豆 (S) 和豇豆 (C) 的豆科覆盖耕作 (LCC) 田间布局模型。LCC,豆科覆盖耕作;LCC-S,间作大豆的豆科覆盖耕作;LCC-C,间作豇豆的豆科覆盖耕作;CK,作为对照的单作模式 (MCC)。
(二)对茶叶品质成分的影响
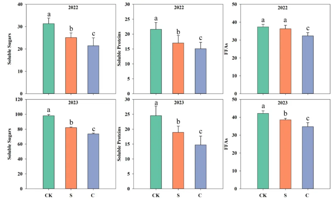
可溶性营养成分:与单作(CK)相比,间作处理显著降低了茶叶中可溶性糖(SSs)和可溶性蛋白质(SPs)的浓度 。其中,间作豇豆(C)对可溶性营养物质的降低程度比大豆(S)更为显著。
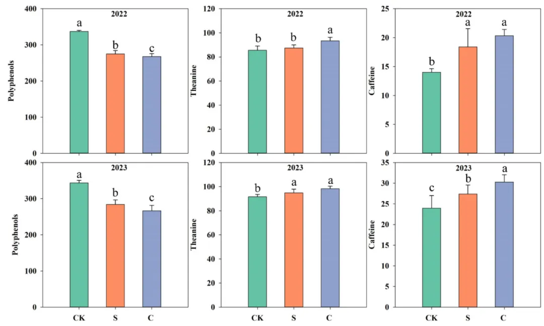
生物活性化合物:间作显著提升了茶叶的品质核心指标。LCC-S 和 LCC-C 均显著提高了咖啡碱的含量 。对于茶氨酸,间作豇豆在 2022 年显著提升了其浓度,而 2023 年两种间作模式均表现出显著的增益效果。
儿茶素与氨基酸:虽然间作降低了大部分单体儿茶素(如 EGCG、ECG 等)的浓度,但显著提高了表儿茶素(EGC)的水平 。在氨基酸方面,尽管大部分必需氨基酸浓度在间作下有所下降,但异亮氨酸(Ile)在间作处理中表现出富集趋势。
图 2. 单作模式 (MCC, 作为对照 CK) 以及间作大豆 (S) 和豇豆 (C) 的豆科覆盖耕作 (LCC) 下,茶树叶片可溶性营养成分的浓度 (mg/g)(FFAs 指游离脂肪酸)。对于同一测量指标,柱形图上不同的对应小写字母表示根据 Tukey's HSD 检验在 P < 0.05 水平下各处理间差异显著。

图 3. 单作模式 (MCC, 作为对照 CK) 以及间作大豆 (S) 和豇豆 (C) 的豆科覆盖耕作 (LCC) 下,茶树叶片生物活性化合物(包括多酚、茶氨酸和咖啡碱)的浓度 (mg/g)。对于同一测量指标,柱形图上不同的对应小写字母表示根据 Tukey's HSD 检验在 P < 0.05 水平下各处理间差异显著。
(三)害虫种群动态与自然调控
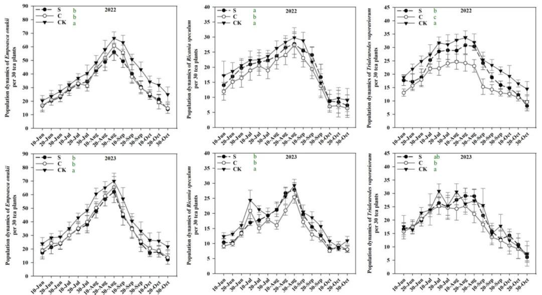
害虫抑制效应:相比单作,两种豆科间作模式均显著降低了茶小绿叶蝉(E. onukii)、八点广翅蜡蝉(R. speculum)和温室白粉虱(T. vaporariorum)的种群密度。
种群峰值:这些害虫的发生峰值通常出现在 8 月 30 日左右。相关性分析显示,害虫数量与咖啡碱及茶氨酸含量呈正相关,而与多酚及部分儿茶素呈负相关。
图 6. 单作模式 (MCC) 以及间作大豆 (S) 和豇豆 (C) 的豆科覆盖耕作 (LCC) 下,茶树上茶小绿叶蝉 (Empoasca onukii)、八点广翅蜡蝉 (Ricania speculum) 和温室白粉虱 (Trialeurodes vaporariorum) 的种群动态。不同的对应小写字母表示根据组间配对及 LSD 检验在 P < 0.05 水平下,LCC-S、LCC-C 和 MCC 各处理间存在统计学显著差异。
(四)机理讨论
研究者认为,豆科植物通过生物固氮(BNF)增加了土壤氮素供应,促使茶树进行代谢重编程,将碳分配从可溶性糖积累转向氨基酸和次生代谢产物(如茶氨酸和咖啡碱)的合成,从而调节了茶叶品质。在害虫控制方面,间作通过增加生境异质性、改变微气候以及提供额外营养(如豇豆的额外花外蜜腺吸引天敌),破坏了害虫的寄主寻找能力并支持了自然天敌的生存,实现了生态防虫。