
全球变暖和碳中和共识推动了CO₂减排技术的快速发展。碳捕集、利用与封存(CCUS)是关键路径,但其商业化部署受限于CO₂分离、压缩和运输的高能耗与高成本。集成碳捕集与利用(ICCU)技术应运而生,通过双功能材料(DFMs)在单一反应器内实现原位CO₂捕集与转化,绕过能耗密集的中间步骤。ICCU-RWGS(逆水煤气变换)路径可生产合成气(CO与过量H₂),用于合成甲醇、燃料和化学品,具有广阔的工业脱碳前景。然而,现有技术经济评估(TEA)多聚焦于合成DFMs,低成本天然矿物或碱性固体废弃物的潜力尚未充分探索,且缺乏全面的生命周期评估(LCA)。南京师范大学郭亚飞课题组以天然白云石颗粒作为无催化剂双功能材料,开展ICCU-RWGS工艺的全面技术经济与生命周期评估,并与两种传统CCU工艺(胺法捕集+催化RWGS的CCU-1、钙循环捕集+催化RWGS的CCU-2)进行对比。相关研究成果发表于国际著名期刊《Separation and Purification Technology》。

研究表明,白云石衍生DFMs在90%捕集效率模式下,经100次循环后仍保持0.91 mmol/g的稳定CO₂吸附量、近100% CO选择性和92.3%的平均CO₂转化率。基于Aspen Plus对1000 MWe燃煤电厂的模拟显示:ICCU-RWGS的CO产率比CCU-2高64%,吸附剂消耗降低50%;集成设计消除了CO₂分离压缩和高温再生单元,总投资降低约59%,CO平准化成本降至734.77美元/吨,较传统路线降低约50%。敏感性分析考察了氢气价格、煤价、设备寿命、利率、废热回收效率及DFMs磨损率等关键参数的影响。
ICCU-RWGS工艺在技术经济和环境性能上均显著优于传统CCU工艺。该工艺实现最低碳捕集能耗(3.10 GJ/tCO₂)和最高能效(42.40%),CO₂减排成本最低(569.92美元/吨)。LCA证实ICCU-RWGS碳足迹最低(0.29 kg CO₂e/kg CO),较对比工艺低一个数量级。该工艺对氢价波动具有更强的经济韧性,且可通过调节操作参数灵活调控合成气H₂/CO比例(1-4),适配下游费托合成需求。研究为低成本、高效ICCU-RWGS技术的规模化部署提供了理论与数据支撑,验证了ICCU作为高排放工业脱碳实用路径的可行性。
图文导读:

图1. 采用Aspen Plus®模拟的三种工艺流程示意图:(a) CCU-1模型;(b) CCU-2模型;(c) ICCU-RWGS模型。

图2. 白云石衍生DFMs颗粒的结构表征[25]。(a) N₂物理吸附等温线;(b) 孔径分布曲线;(c) XRD图谱;(d) 场发射扫描电镜图像。

图3. 90% CO₂捕集效率模式下ICCU-RWGS过程的气体演化曲线。

图4. DFMs颗粒在100次ICCU-RWGS循环中的长期工作稳定性。

图5. (a) CCU-2和(b) ICCU-RWGS过程的质量流桑基图。

图6. 三种工艺的能量平衡图。

图7. 年度总成本分布图。

图8. CCU与ICCU工艺的CO成本。

图9. 关键变量对CCU与ICCU工艺CO成本影响的敏感性分析。(a) H₂价格;(b) 煤价;(c) 设备寿命与年利率;(d) 废热回收效率。

图10. 废热回收效率对CO₂捕集能耗的影响。

图11. 固体磨损率对(a) CCU-2和(b) ICCU-RWGS总可变运维成本及CO成本的影响。

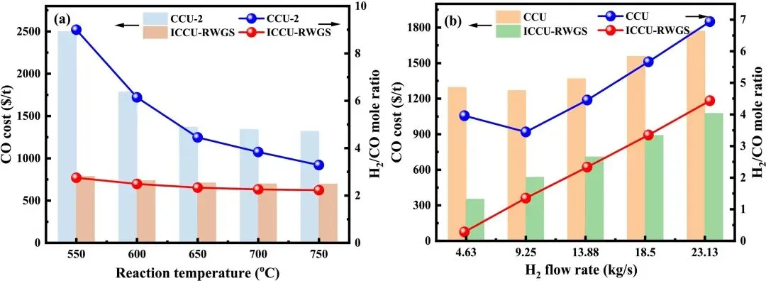
图12. (a) 反应温度和(b) H₂流量对CCU-2与ICCU-RWGS的CO成本及H₂/CO摩尔比的影响。

图13. 三种工艺流程的LCA结果。

图14. 关键变量对CCU与ICCU工艺全球变暖潜势(GWP)影响的敏感性分析。(a) H₂生产的碳强度;(b) 不同煤种的碳强度。
欢迎投稿

往期精选(点击即可跳转)
华东理工大学 Chem. Eng. Sci. | 基于分形孔径分布-动态随机孔耦合颗粒模型的钙基吸附剂CO₂捕集碳酸化行为模拟
天津大学 I&EC Research | 回流集成两段变压吸附法用于CO₂捕获的工艺设计与多目标优化
华东理工大学 Chem. Eng. Sci. | 使用低共熔溶剂从轻循环油中节能提取芳烃:实验和工艺评估的见解

