当前位置:首页>南京>南京工业大学吕刚/黄晓&台州学院李公强,最新Angew!氧化石墨烯纳米片包裹硫化锡纳米催化剂以促进CO₂电还原制甲酸!陈浩南一作

南京工业大学吕刚/黄晓&台州学院李公强,最新Angew!氧化石墨烯纳米片包裹硫化锡纳米催化剂以促进CO₂电还原制甲酸!陈浩南一作

  • 2026-04-10 13:37:25
南京工业大学吕刚/黄晓&台州学院李公强,最新Angew!氧化石墨烯纳米片包裹硫化锡纳米催化剂以促进CO₂电还原制甲酸!陈浩南一作

二氧化碳(CO₂)电化学还原为甲酸是实现碳中和及现代化学工业中的一重要环节,然而该反应的催化活性和选择性仍需提升以满足实际应用需求。

20260309日,南京工业大学吕刚/黄晓、台州学院李公强团队合作在Angewandte Chemie International Edition期刊发表题为“Wrapping Tin Sulfide Nanocatalysts with Graphene Oxide Nanosheets for Improved Electroreduction of Carbon Dioxide to Formic Acid”的研究论文,南京工业大学/台州学院陈浩南为论文第一作者,吕刚、李公强、黄晓为论文共同通讯作者。

第一作者:陈浩南

通讯作者:吕刚、李公强、黄晓

通讯单位:南京工业大学台州学院

论文DOI10.1002/anie.3823676

该研究通过用氧化石墨烯(GO)纳米片包裹硫化锡(SnSₓ)纳米颗粒,实现高活性、高选择性和高稳定性CO₂电化学还原为甲酸的方法。GO包裹有助于保持SnSₓ的晶体尺寸(2~4 nm)并限制硫原子在SnSₓ中的流失,从而获得一种有前景的催化剂。因此,在流动池中实现了对甲酸的高电流密度126.25 ± 0.78 mA cm⁻²和高法拉第效率(FE99.9 ± 1.1%。在膜电解中,电流密度可进一步提高至554.41 ± 2.32 mA cm⁻²。此外,催化系统在安培级电流下表现出超过50小时的高稳定性。这一发现为进一步开发用于CO₂电化学还原为高价值含碳产品的高效、高选择性催化剂提供了宝贵见解。该研究策略也可能适用于保持许多其他非晶或纳米晶催化剂的结构,以实现高效稳定电催化。

将二氧化碳(CO₂)电催化转化为液体燃料和化工产品,同时实现可再生能源的存储,对实现碳中和具有重要贡献。与气态产物相比,液态产物因其更高的体积能量密度以及易于运输和储存而通常更受青睐。特别是液态产物甲酸,不仅广泛用于制药、纺织和皮革制造等工业,还可用于甲酸燃料电池,这凸显了通过CO₂电化学还原(CO₂ER)生产甲酸是一条极具前景的途径。然而,由于CO₂分子的高活化能垒以及反应路径的复杂性,通常会导致多种产物的生成,因此将CO₂高效、选择性地还原为甲酸仍然具有挑战性。

目前,研究人员已开发出许多用于通过CO₂ER高效、选择性生产甲酸的催化剂。在这些催化剂中,金属硫化物/卤化物,尤其是硫化铜/二硫化铜和硫化锡/二硫化锡,因其对甲酸的高活性和高法拉第效率(FE),以及高丰度和成本效益而成为有前景的催化剂。例如,卤素活化的卤氧化铋(BiOXX═ClBrI)催化剂已表现出高于100 mA cm⁻²的电流密度和超过90%的甲酸FE,这归因于活性位点的暴露。向二硫化锡(SnS₂)中注入表面氧,在24.1 mA cm⁻²的电流密度下将甲酸的FE提高到了83.2%。一种图灵结构的Sb₀.₁Sn₀.₉O₂电催化剂在膜电极组件(MEA)电解槽中实现了工业级电流密度(300‒1000 mA cm⁻²)和92%FE。将金属锡(Sn)与氧化石墨烯(GO)复合,由于抑制了纳米颗粒团聚和调控了质量传输,显著提高了所得电流密度,并且甲酸盐的FE提高至~90%。这些报道表明,元素掺杂、缺陷工程和形貌控制是提高CO₂ER制甲酸活性和FE的主要策略。然而,对于许多Sn基催化剂来说,在实现高电流密度的同时获得高FE仍然是一挑战。

最近的研究表明,在CO₂ER中,真正用于生产甲酸的活性催化剂并非SnS₂本身,而是其还原产物,通常是金属Sn。因此,有必要了解Sn基催化剂在CO₂ER过程中的形貌和结构变化以及催化增强的机理。另一方面,近期有报道称,通过相工程保留Sn基纳米催化剂中的S原子,可以在MEA电解槽中将甲酸的FE提高到92.15%。然而,SnS₂的电化学还原容易产生大的结晶Sn颗粒,由于金属易于结晶,这通常会导致电流密度和FE下降。因此,该研究团队提出一个假设:如果能够在电催化过程中保持其形貌,那么非晶态或超细富硫Sn基纳米催化剂在通过CO₂ER生产甲酸方面应该更有前景。

在此,该研究通过用氧化石墨烯(GO)纳米片包裹非晶态/超细硫化锡(SnSₓx ≈ 2)纳米催化剂,制备了SnSₓ/GO复合材料,对这一假设进行了验证。GO包裹有助于防止SnSₓ发生电化学还原以及大尺寸Sn纳米颗粒的晶体生长。更重要的是,在CO₂ER过程中,SnSₓ/GO内部的S原子可以被(至少是部分地)限制。此外,GO可以被化学还原为还原氧化石墨烯(rGO),以调控质量传输。最终,在CO₂ER过程中,SnSₓ/GO上的电流密度可以得到大幅提升。同时,甲酸的FE也得到了显著改善。

1 SnSₓSnSₓ/GO的表征。(a, c) SnSₓSnSₓ/GOHRTEMSAED图像。(b, d) SnSₓSnSₓ/GOHRTEM图像和衍射图谱。(e) SnSₓ/GOEDS元素分布图。(f) SnSₓSnSₓ/GO的拉曼光谱。(g) SnSₓSnSₓ/GOXRD图谱。(h–i) SnSₓSnSₓ/GOXPS Sn 3dS 2p峰。

SnSₓ/GO上通过CO₂ER提升甲酸的生产。(a) c-SnS₂SnSₓSnSₓ/GOAr饱和电解质中的LSV曲线。(b) c-SnS₂SnSₓSnSₓ/GOAr饱和电解质中10 mA cm⁻²处的过电位。(c) c-SnS₂SnSₓSnSₓ/GOAr饱和电解质中的Tafel斜率。(d) c-SnS₂SnSₓSnSₓ/GOCO₂饱和电解质中的LSV曲线。(e) c-SnS₂SnSₓSnSₓ/GOCO₂饱和电解质中10 mA cm⁻²处的过电位。(f) c-SnS₂SnSₓSnSₓ/GOCO₂饱和电解质中的Tafel斜率。(g) c-SnS₂SnSₓSnSₓ/GO在不同施加电位下获得的甲酸FE(h) c-SnS₂SnSₓSnSₓ/GO在不同施加电位下获得的甲酸分电流密度。(i) c-SnS₂SnSₓSnSₓ/GO上获得的甲酸TOF(j) SnSₓ/GO的催化稳定性。(k) SnSₓ/GO与文献报道的用于CO₂ER生产甲酸的催化剂的性能比较。

3 SnSₓ/GO催化增强的机理研究。(a, b) SnSₓSnSₓ/GO在第1次、第50次和第100次循环时的CV曲线。测量在CO₂饱和的0.5 M KHCO₃中进行,扫描速度控制为50 mV s⁻¹(c) 电化学活化后SnSₓSnSₓ/GOXRD图谱。(d) 电化学活化前后SnSₓSnSₓ/GO中的S:Sn原子比。这些比率通过ICP-OES获得。(e, f) 电化学活化后SnSₓSnSₓ/GOXPS S 2pSn 3d峰。(g) 电化学活化前后SnSₓ/GO的水接触角(WCA)。(h) 原始SnSₓSnSₓ/GO以及电化学活化后的电化学活性面积(ECSA)。(i) 电化学活化后SnSₓSnSₓ/GOTEM图像。(j) 电化学活化后的颗粒尺寸变化。(k) 通过EIS测量得到的SnSₓSnSₓ/GO在电化学活化前后的界面电荷转移电阻。(l) 示意图说明电化学活化过程中SnSₓ/GO的结构变化。

4 SnSₓSnSₓ/GO上发生CO₂ER过程的原位拉曼测量。(a-b) 在不同电位下记录于(a) SnSₓ(b) SnSₓ/GO上,波数范围为200–475 cm⁻¹的原位拉曼光谱。测量在CO₂饱和的0.5 M KHCO₃电解质中进行,使用原始的SnSₓSnSₓ/GO催化剂研究化学结构的变化。(c) SnSₓSnSₓ/GOSnS₂峰强度在不同电位下的演变。(d-e) 在不同电位下记录于(d) SnSₓ(e) SnSₓ/GO上,波数范围为1100–1600 cm⁻¹的原位拉曼光谱。(f) SnSₓSnSₓ/GO*OCHO峰强度在不同电位下的演变。

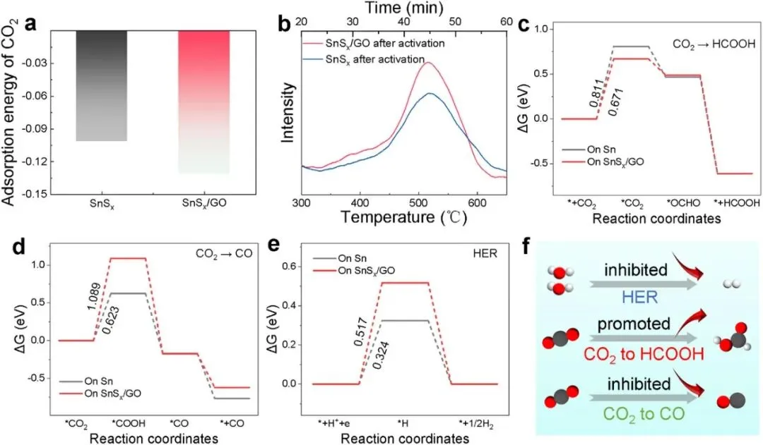
5 DFT计算结果及催化增强机理。(a) CO₂SnSₓSnSₓ/GO上的吸附能。(b) 电化学活化后SnSₓSnSₓ/GOCO₂ TPD曲线。(c–e) 在金属SnSnSₓ/GO上通过CO₂ER生产甲酸过程中各基元反应的ΔG(f) SnSₓ/GO上促进甲酸(HCOOH)生产并抑制H₂CO生产的示意图。

综上所述,在SnSₓ上实现了通过CO₂ER改善甲酸的生产,并且在SnSₓ/GO上实现了进一步的提升。在SnSₓ/GO体系中观察到了对甲酸的高催化活性和高FE。实现了126.25 ± 0.78 mA cm⁻²的高电流密度和99.9 ± 1.1%的高FE。与文献中的催化剂相比,这些数值创下了新高。此外,SnSₓ/GO还表现出超过50小时的高催化稳定性。SnSₓ/GO催化性能的提升可归因于GO诱导的S原子保留以及富硫Sn基催化剂上有利的甲酸盐反应路径。总体而言,该研究为通过CO₂ER高效、选择性地生产甲酸开辟了一条新途径。类似的策略也可能应用于许多其他催化体系以提升性能。

最新文章

随机文章

基本 文件 流程 错误 SQL 调试
  1. 请求信息 : 2026-04-10 22:16:32 HTTP/2.0 GET : https://b.460.net.cn/a/502080.html
  2. 运行时间 : 0.099310s [ 吞吐率:10.07req/s ] 内存消耗:4,544.09kb 文件加载:140
  3. 缓存信息 : 0 reads,0 writes
  4. 会话信息 : SESSION_ID=940a9dab84edcc83ca782ab223bd8b5f
  1. /yingpanguazai/ssd/ssd1/www/b.460.net.cn/public/index.php ( 0.79 KB )
  2. /yingpanguazai/ssd/ssd1/www/b.460.net.cn/vendor/autoload.php ( 0.17 KB )
  3. /yingpanguazai/ssd/ssd1/www/b.460.net.cn/vendor/composer/autoload_real.php ( 2.49 KB )
  4. /yingpanguazai/ssd/ssd1/www/b.460.net.cn/vendor/composer/platform_check.php ( 0.90 KB )
  5. /yingpanguazai/ssd/ssd1/www/b.460.net.cn/vendor/composer/ClassLoader.php ( 14.03 KB )
  6. /yingpanguazai/ssd/ssd1/www/b.460.net.cn/vendor/composer/autoload_static.php ( 4.90 KB )
  7. /yingpanguazai/ssd/ssd1/www/b.460.net.cn/vendor/topthink/think-helper/src/helper.php ( 8.34 KB )
  8. /yingpanguazai/ssd/ssd1/www/b.460.net.cn/vendor/topthink/think-validate/src/helper.php ( 2.19 KB )
  9. /yingpanguazai/ssd/ssd1/www/b.460.net.cn/vendor/topthink/think-orm/src/helper.php ( 1.47 KB )
  10. /yingpanguazai/ssd/ssd1/www/b.460.net.cn/vendor/topthink/think-orm/stubs/load_stubs.php ( 0.16 KB )
  11. /yingpanguazai/ssd/ssd1/www/b.460.net.cn/vendor/topthink/framework/src/think/Exception.php ( 1.69 KB )
  12. /yingpanguazai/ssd/ssd1/www/b.460.net.cn/vendor/topthink/think-container/src/Facade.php ( 2.71 KB )
  13. /yingpanguazai/ssd/ssd1/www/b.460.net.cn/vendor/symfony/deprecation-contracts/function.php ( 0.99 KB )
  14. /yingpanguazai/ssd/ssd1/www/b.460.net.cn/vendor/symfony/polyfill-mbstring/bootstrap.php ( 8.26 KB )
  15. /yingpanguazai/ssd/ssd1/www/b.460.net.cn/vendor/symfony/polyfill-mbstring/bootstrap80.php ( 9.78 KB )
  16. /yingpanguazai/ssd/ssd1/www/b.460.net.cn/vendor/symfony/var-dumper/Resources/functions/dump.php ( 1.49 KB )
  17. /yingpanguazai/ssd/ssd1/www/b.460.net.cn/vendor/topthink/think-dumper/src/helper.php ( 0.18 KB )
  18. /yingpanguazai/ssd/ssd1/www/b.460.net.cn/vendor/symfony/var-dumper/VarDumper.php ( 4.30 KB )
  19. /yingpanguazai/ssd/ssd1/www/b.460.net.cn/vendor/topthink/framework/src/think/App.php ( 15.30 KB )
  20. /yingpanguazai/ssd/ssd1/www/b.460.net.cn/vendor/topthink/think-container/src/Container.php ( 15.76 KB )
  21. /yingpanguazai/ssd/ssd1/www/b.460.net.cn/vendor/psr/container/src/ContainerInterface.php ( 1.02 KB )
  22. /yingpanguazai/ssd/ssd1/www/b.460.net.cn/app/provider.php ( 0.19 KB )
  23. /yingpanguazai/ssd/ssd1/www/b.460.net.cn/vendor/topthink/framework/src/think/Http.php ( 6.04 KB )
  24. /yingpanguazai/ssd/ssd1/www/b.460.net.cn/vendor/topthink/think-helper/src/helper/Str.php ( 7.29 KB )
  25. /yingpanguazai/ssd/ssd1/www/b.460.net.cn/vendor/topthink/framework/src/think/Env.php ( 4.68 KB )
  26. /yingpanguazai/ssd/ssd1/www/b.460.net.cn/app/common.php ( 0.03 KB )
  27. /yingpanguazai/ssd/ssd1/www/b.460.net.cn/vendor/topthink/framework/src/helper.php ( 18.78 KB )
  28. /yingpanguazai/ssd/ssd1/www/b.460.net.cn/vendor/topthink/framework/src/think/Config.php ( 5.54 KB )
  29. /yingpanguazai/ssd/ssd1/www/b.460.net.cn/config/app.php ( 0.95 KB )
  30. /yingpanguazai/ssd/ssd1/www/b.460.net.cn/config/cache.php ( 0.78 KB )
  31. /yingpanguazai/ssd/ssd1/www/b.460.net.cn/config/console.php ( 0.23 KB )
  32. /yingpanguazai/ssd/ssd1/www/b.460.net.cn/config/cookie.php ( 0.56 KB )
  33. /yingpanguazai/ssd/ssd1/www/b.460.net.cn/config/database.php ( 2.47 KB )
  34. /yingpanguazai/ssd/ssd1/www/b.460.net.cn/vendor/topthink/framework/src/think/facade/Env.php ( 1.67 KB )
  35. /yingpanguazai/ssd/ssd1/www/b.460.net.cn/config/filesystem.php ( 0.61 KB )
  36. /yingpanguazai/ssd/ssd1/www/b.460.net.cn/config/lang.php ( 0.91 KB )
  37. /yingpanguazai/ssd/ssd1/www/b.460.net.cn/config/log.php ( 1.35 KB )
  38. /yingpanguazai/ssd/ssd1/www/b.460.net.cn/config/middleware.php ( 0.19 KB )
  39. /yingpanguazai/ssd/ssd1/www/b.460.net.cn/config/route.php ( 1.89 KB )
  40. /yingpanguazai/ssd/ssd1/www/b.460.net.cn/config/session.php ( 0.57 KB )
  41. /yingpanguazai/ssd/ssd1/www/b.460.net.cn/config/trace.php ( 0.34 KB )
  42. /yingpanguazai/ssd/ssd1/www/b.460.net.cn/config/view.php ( 0.82 KB )
  43. /yingpanguazai/ssd/ssd1/www/b.460.net.cn/app/event.php ( 0.25 KB )
  44. /yingpanguazai/ssd/ssd1/www/b.460.net.cn/vendor/topthink/framework/src/think/Event.php ( 7.67 KB )
  45. /yingpanguazai/ssd/ssd1/www/b.460.net.cn/app/service.php ( 0.13 KB )
  46. /yingpanguazai/ssd/ssd1/www/b.460.net.cn/app/AppService.php ( 0.26 KB )
  47. /yingpanguazai/ssd/ssd1/www/b.460.net.cn/vendor/topthink/framework/src/think/Service.php ( 1.64 KB )
  48. /yingpanguazai/ssd/ssd1/www/b.460.net.cn/vendor/topthink/framework/src/think/Lang.php ( 7.35 KB )
  49. /yingpanguazai/ssd/ssd1/www/b.460.net.cn/vendor/topthink/framework/src/lang/zh-cn.php ( 13.70 KB )
  50. /yingpanguazai/ssd/ssd1/www/b.460.net.cn/vendor/topthink/framework/src/think/initializer/Error.php ( 3.31 KB )
  51. /yingpanguazai/ssd/ssd1/www/b.460.net.cn/vendor/topthink/framework/src/think/initializer/RegisterService.php ( 1.33 KB )
  52. /yingpanguazai/ssd/ssd1/www/b.460.net.cn/vendor/services.php ( 0.14 KB )
  53. /yingpanguazai/ssd/ssd1/www/b.460.net.cn/vendor/topthink/framework/src/think/service/PaginatorService.php ( 1.52 KB )
  54. /yingpanguazai/ssd/ssd1/www/b.460.net.cn/vendor/topthink/framework/src/think/service/ValidateService.php ( 0.99 KB )
  55. /yingpanguazai/ssd/ssd1/www/b.460.net.cn/vendor/topthink/framework/src/think/service/ModelService.php ( 2.04 KB )
  56. /yingpanguazai/ssd/ssd1/www/b.460.net.cn/vendor/topthink/think-trace/src/Service.php ( 0.77 KB )
  57. /yingpanguazai/ssd/ssd1/www/b.460.net.cn/vendor/topthink/framework/src/think/Middleware.php ( 6.72 KB )
  58. /yingpanguazai/ssd/ssd1/www/b.460.net.cn/vendor/topthink/framework/src/think/initializer/BootService.php ( 0.77 KB )
  59. /yingpanguazai/ssd/ssd1/www/b.460.net.cn/vendor/topthink/think-orm/src/Paginator.php ( 11.86 KB )
  60. /yingpanguazai/ssd/ssd1/www/b.460.net.cn/vendor/topthink/think-validate/src/Validate.php ( 63.20 KB )
  61. /yingpanguazai/ssd/ssd1/www/b.460.net.cn/vendor/topthink/think-orm/src/Model.php ( 23.55 KB )
  62. /yingpanguazai/ssd/ssd1/www/b.460.net.cn/vendor/topthink/think-orm/src/model/concern/Attribute.php ( 21.05 KB )
  63. /yingpanguazai/ssd/ssd1/www/b.460.net.cn/vendor/topthink/think-orm/src/model/concern/AutoWriteData.php ( 4.21 KB )
  64. /yingpanguazai/ssd/ssd1/www/b.460.net.cn/vendor/topthink/think-orm/src/model/concern/Conversion.php ( 6.44 KB )
  65. /yingpanguazai/ssd/ssd1/www/b.460.net.cn/vendor/topthink/think-orm/src/model/concern/DbConnect.php ( 5.16 KB )
  66. /yingpanguazai/ssd/ssd1/www/b.460.net.cn/vendor/topthink/think-orm/src/model/concern/ModelEvent.php ( 2.33 KB )
  67. /yingpanguazai/ssd/ssd1/www/b.460.net.cn/vendor/topthink/think-orm/src/model/concern/RelationShip.php ( 28.29 KB )
  68. /yingpanguazai/ssd/ssd1/www/b.460.net.cn/vendor/topthink/think-helper/src/contract/Arrayable.php ( 0.09 KB )
  69. /yingpanguazai/ssd/ssd1/www/b.460.net.cn/vendor/topthink/think-helper/src/contract/Jsonable.php ( 0.13 KB )
  70. /yingpanguazai/ssd/ssd1/www/b.460.net.cn/vendor/topthink/think-orm/src/model/contract/Modelable.php ( 0.09 KB )
  71. /yingpanguazai/ssd/ssd1/www/b.460.net.cn/vendor/topthink/framework/src/think/Db.php ( 2.88 KB )
  72. /yingpanguazai/ssd/ssd1/www/b.460.net.cn/vendor/topthink/think-orm/src/DbManager.php ( 8.52 KB )
  73. /yingpanguazai/ssd/ssd1/www/b.460.net.cn/vendor/topthink/framework/src/think/Log.php ( 6.28 KB )
  74. /yingpanguazai/ssd/ssd1/www/b.460.net.cn/vendor/topthink/framework/src/think/Manager.php ( 3.92 KB )
  75. /yingpanguazai/ssd/ssd1/www/b.460.net.cn/vendor/psr/log/src/LoggerTrait.php ( 2.69 KB )
  76. /yingpanguazai/ssd/ssd1/www/b.460.net.cn/vendor/psr/log/src/LoggerInterface.php ( 2.71 KB )
  77. /yingpanguazai/ssd/ssd1/www/b.460.net.cn/vendor/topthink/framework/src/think/Cache.php ( 4.92 KB )
  78. /yingpanguazai/ssd/ssd1/www/b.460.net.cn/vendor/psr/simple-cache/src/CacheInterface.php ( 4.71 KB )
  79. /yingpanguazai/ssd/ssd1/www/b.460.net.cn/vendor/topthink/think-helper/src/helper/Arr.php ( 16.63 KB )
  80. /yingpanguazai/ssd/ssd1/www/b.460.net.cn/vendor/topthink/framework/src/think/cache/driver/File.php ( 7.84 KB )
  81. /yingpanguazai/ssd/ssd1/www/b.460.net.cn/vendor/topthink/framework/src/think/cache/Driver.php ( 9.03 KB )
  82. /yingpanguazai/ssd/ssd1/www/b.460.net.cn/vendor/topthink/framework/src/think/contract/CacheHandlerInterface.php ( 1.99 KB )
  83. /yingpanguazai/ssd/ssd1/www/b.460.net.cn/app/Request.php ( 0.09 KB )
  84. /yingpanguazai/ssd/ssd1/www/b.460.net.cn/vendor/topthink/framework/src/think/Request.php ( 55.78 KB )
  85. /yingpanguazai/ssd/ssd1/www/b.460.net.cn/app/middleware.php ( 0.25 KB )
  86. /yingpanguazai/ssd/ssd1/www/b.460.net.cn/vendor/topthink/framework/src/think/Pipeline.php ( 2.61 KB )
  87. /yingpanguazai/ssd/ssd1/www/b.460.net.cn/vendor/topthink/think-trace/src/TraceDebug.php ( 3.40 KB )
  88. /yingpanguazai/ssd/ssd1/www/b.460.net.cn/vendor/topthink/framework/src/think/middleware/SessionInit.php ( 1.94 KB )
  89. /yingpanguazai/ssd/ssd1/www/b.460.net.cn/vendor/topthink/framework/src/think/Session.php ( 1.80 KB )
  90. /yingpanguazai/ssd/ssd1/www/b.460.net.cn/vendor/topthink/framework/src/think/session/driver/File.php ( 6.27 KB )
  91. /yingpanguazai/ssd/ssd1/www/b.460.net.cn/vendor/topthink/framework/src/think/contract/SessionHandlerInterface.php ( 0.87 KB )
  92. /yingpanguazai/ssd/ssd1/www/b.460.net.cn/vendor/topthink/framework/src/think/session/Store.php ( 7.12 KB )
  93. /yingpanguazai/ssd/ssd1/www/b.460.net.cn/vendor/topthink/framework/src/think/Route.php ( 23.73 KB )
  94. /yingpanguazai/ssd/ssd1/www/b.460.net.cn/vendor/topthink/framework/src/think/route/RuleName.php ( 5.75 KB )
  95. /yingpanguazai/ssd/ssd1/www/b.460.net.cn/vendor/topthink/framework/src/think/route/Domain.php ( 2.53 KB )
  96. /yingpanguazai/ssd/ssd1/www/b.460.net.cn/vendor/topthink/framework/src/think/route/RuleGroup.php ( 22.43 KB )
  97. /yingpanguazai/ssd/ssd1/www/b.460.net.cn/vendor/topthink/framework/src/think/route/Rule.php ( 26.95 KB )
  98. /yingpanguazai/ssd/ssd1/www/b.460.net.cn/vendor/topthink/framework/src/think/route/RuleItem.php ( 9.78 KB )
  99. /yingpanguazai/ssd/ssd1/www/b.460.net.cn/route/app.php ( 1.72 KB )
  100. /yingpanguazai/ssd/ssd1/www/b.460.net.cn/vendor/topthink/framework/src/think/facade/Route.php ( 4.70 KB )
  101. /yingpanguazai/ssd/ssd1/www/b.460.net.cn/vendor/topthink/framework/src/think/route/dispatch/Controller.php ( 4.74 KB )
  102. /yingpanguazai/ssd/ssd1/www/b.460.net.cn/vendor/topthink/framework/src/think/route/Dispatch.php ( 10.44 KB )
  103. /yingpanguazai/ssd/ssd1/www/b.460.net.cn/app/controller/Index.php ( 4.81 KB )
  104. /yingpanguazai/ssd/ssd1/www/b.460.net.cn/app/BaseController.php ( 2.05 KB )
  105. /yingpanguazai/ssd/ssd1/www/b.460.net.cn/vendor/topthink/think-orm/src/facade/Db.php ( 0.93 KB )
  106. /yingpanguazai/ssd/ssd1/www/b.460.net.cn/vendor/topthink/think-orm/src/db/connector/Mysql.php ( 5.44 KB )
  107. /yingpanguazai/ssd/ssd1/www/b.460.net.cn/vendor/topthink/think-orm/src/db/PDOConnection.php ( 52.47 KB )
  108. /yingpanguazai/ssd/ssd1/www/b.460.net.cn/vendor/topthink/think-orm/src/db/Connection.php ( 8.39 KB )
  109. /yingpanguazai/ssd/ssd1/www/b.460.net.cn/vendor/topthink/think-orm/src/db/ConnectionInterface.php ( 4.57 KB )
  110. /yingpanguazai/ssd/ssd1/www/b.460.net.cn/vendor/topthink/think-orm/src/db/builder/Mysql.php ( 16.58 KB )
  111. /yingpanguazai/ssd/ssd1/www/b.460.net.cn/vendor/topthink/think-orm/src/db/Builder.php ( 24.06 KB )
  112. /yingpanguazai/ssd/ssd1/www/b.460.net.cn/vendor/topthink/think-orm/src/db/BaseBuilder.php ( 27.50 KB )
  113. /yingpanguazai/ssd/ssd1/www/b.460.net.cn/vendor/topthink/think-orm/src/db/Query.php ( 15.71 KB )
  114. /yingpanguazai/ssd/ssd1/www/b.460.net.cn/vendor/topthink/think-orm/src/db/BaseQuery.php ( 45.13 KB )
  115. /yingpanguazai/ssd/ssd1/www/b.460.net.cn/vendor/topthink/think-orm/src/db/concern/TimeFieldQuery.php ( 7.43 KB )
  116. /yingpanguazai/ssd/ssd1/www/b.460.net.cn/vendor/topthink/think-orm/src/db/concern/AggregateQuery.php ( 3.26 KB )
  117. /yingpanguazai/ssd/ssd1/www/b.460.net.cn/vendor/topthink/think-orm/src/db/concern/ModelRelationQuery.php ( 20.07 KB )
  118. /yingpanguazai/ssd/ssd1/www/b.460.net.cn/vendor/topthink/think-orm/src/db/concern/ParamsBind.php ( 3.66 KB )
  119. /yingpanguazai/ssd/ssd1/www/b.460.net.cn/vendor/topthink/think-orm/src/db/concern/ResultOperation.php ( 7.01 KB )
  120. /yingpanguazai/ssd/ssd1/www/b.460.net.cn/vendor/topthink/think-orm/src/db/concern/WhereQuery.php ( 19.37 KB )
  121. /yingpanguazai/ssd/ssd1/www/b.460.net.cn/vendor/topthink/think-orm/src/db/concern/JoinAndViewQuery.php ( 7.11 KB )
  122. /yingpanguazai/ssd/ssd1/www/b.460.net.cn/vendor/topthink/think-orm/src/db/concern/TableFieldInfo.php ( 2.63 KB )
  123. /yingpanguazai/ssd/ssd1/www/b.460.net.cn/vendor/topthink/think-orm/src/db/concern/Transaction.php ( 2.77 KB )
  124. /yingpanguazai/ssd/ssd1/www/b.460.net.cn/vendor/topthink/framework/src/think/log/driver/File.php ( 5.96 KB )
  125. /yingpanguazai/ssd/ssd1/www/b.460.net.cn/vendor/topthink/framework/src/think/contract/LogHandlerInterface.php ( 0.86 KB )
  126. /yingpanguazai/ssd/ssd1/www/b.460.net.cn/vendor/topthink/framework/src/think/log/Channel.php ( 3.89 KB )
  127. /yingpanguazai/ssd/ssd1/www/b.460.net.cn/vendor/topthink/framework/src/think/event/LogRecord.php ( 1.02 KB )
  128. /yingpanguazai/ssd/ssd1/www/b.460.net.cn/vendor/topthink/think-helper/src/Collection.php ( 16.47 KB )
  129. /yingpanguazai/ssd/ssd1/www/b.460.net.cn/vendor/topthink/framework/src/think/facade/View.php ( 1.70 KB )
  130. /yingpanguazai/ssd/ssd1/www/b.460.net.cn/vendor/topthink/framework/src/think/View.php ( 4.39 KB )
  131. /yingpanguazai/ssd/ssd1/www/b.460.net.cn/vendor/topthink/framework/src/think/Response.php ( 8.81 KB )
  132. /yingpanguazai/ssd/ssd1/www/b.460.net.cn/vendor/topthink/framework/src/think/response/View.php ( 3.29 KB )
  133. /yingpanguazai/ssd/ssd1/www/b.460.net.cn/vendor/topthink/framework/src/think/Cookie.php ( 6.06 KB )
  134. /yingpanguazai/ssd/ssd1/www/b.460.net.cn/vendor/topthink/think-view/src/Think.php ( 8.38 KB )
  135. /yingpanguazai/ssd/ssd1/www/b.460.net.cn/vendor/topthink/framework/src/think/contract/TemplateHandlerInterface.php ( 1.60 KB )
  136. /yingpanguazai/ssd/ssd1/www/b.460.net.cn/vendor/topthink/think-template/src/Template.php ( 46.61 KB )
  137. /yingpanguazai/ssd/ssd1/www/b.460.net.cn/vendor/topthink/think-template/src/template/driver/File.php ( 2.41 KB )
  138. /yingpanguazai/ssd/ssd1/www/b.460.net.cn/vendor/topthink/think-template/src/template/contract/DriverInterface.php ( 0.86 KB )
  139. /yingpanguazai/ssd/ssd1/www/b.460.net.cn/runtime/temp/b35eef690f41e64ad9e1c098cfc7d3bc.php ( 11.98 KB )
  140. /yingpanguazai/ssd/ssd1/www/b.460.net.cn/vendor/topthink/think-trace/src/Html.php ( 4.42 KB )
  1. CONNECT:[ UseTime:0.000502s ] mysql:host=127.0.0.1;port=3306;dbname=b460;charset=utf8mb4
  2. SHOW FULL COLUMNS FROM `fenlei` [ RunTime:0.000891s ]
  3. SELECT * FROM `fenlei` WHERE `fid` = 0 [ RunTime:0.000331s ]
  4. SELECT * FROM `fenlei` WHERE `fid` = 63 [ RunTime:0.000260s ]
  5. SHOW FULL COLUMNS FROM `set` [ RunTime:0.000482s ]
  6. SELECT * FROM `set` [ RunTime:0.000197s ]
  7. SHOW FULL COLUMNS FROM `article` [ RunTime:0.000581s ]
  8. SELECT * FROM `article` WHERE `id` = 502080 LIMIT 1 [ RunTime:0.000549s ]
  9. UPDATE `article` SET `lasttime` = 1775830593 WHERE `id` = 502080 [ RunTime:0.020339s ]
  10. SELECT * FROM `fenlei` WHERE `id` = 65 LIMIT 1 [ RunTime:0.000286s ]
  11. SELECT * FROM `article` WHERE `id` < 502080 ORDER BY `id` DESC LIMIT 1 [ RunTime:0.000485s ]
  12. SELECT * FROM `article` WHERE `id` > 502080 ORDER BY `id` ASC LIMIT 1 [ RunTime:0.002535s ]
  13. SELECT * FROM `article` WHERE `id` < 502080 ORDER BY `id` DESC LIMIT 10 [ RunTime:0.000776s ]
  14. SELECT * FROM `article` WHERE `id` < 502080 ORDER BY `id` DESC LIMIT 10,10 [ RunTime:0.000684s ]
  15. SELECT * FROM `article` WHERE `id` < 502080 ORDER BY `id` DESC LIMIT 20,10 [ RunTime:0.004172s ]
0.100867s