研究背景与目的
皮肤伤口易被金黄色葡萄球菌、大肠杆菌等致病菌入侵,导致愈合延迟甚至败血症。抗生素耐药性日益严峻,尤其是耐甲氧西林金黄色葡萄球菌(MRSA)成为全球抗微生物耐药性相关死亡的头号细菌。纳米银具有高效广谱抗菌、不易耐药、高生物相容性等特性,但其在犬皮肤伤口感染中的疗效未知。本研究旨在利用灵芝提取物生物合成纳米银,评价其对犬皮肤伤口感染MRSA的治疗效果,为宠物临床皮肤感染治疗提供新方案。
1 材料与方法
1.1 主要试剂
灵芝提取物(40%多糖含量)、硝酸银、聚乙烯吡咯烷酮K30(PVP);恩诺沙星(阳性对照)、生理盐水;胰蛋白胨大豆肉汤、Baird-Parker琼脂基础。一抗:Anti-CD31、Anti-TGF-β、Anti-VEGF、Anti-CD86、Anti-CD206。
1.2 试验仪器
紫外-可见分光光度计、透射电子显微镜(TEM),激光粒度电位仪、原子吸收光谱仪;酶标仪、高通量多样品组织研磨仪、正置/倒置荧光显微镜。
1.3 试验菌株
标准菌株:大肠杆菌ATCC25922、金黄色葡萄球菌ATCC29213、铜绿假单胞菌ATCC9027;临床分离株:假中间葡萄球菌NJLLQ1(南京流浪犬基地患病犬皮肤分离);耐药菌株:耐甲氧西林金黄色葡萄球菌MRSA ATCC43300。
1.4 纳米银的制备
方法:生物合成法;配方:50L灵芝提取物溶液(12 g·L⁻¹,含4.8 g·L⁻¹多糖)+ 同等体积硝酸银溶液(5000 mg·kg⁻¹)。条件:80°C加热搅拌15 min → 加入硝酸银80°C、70 r·min⁻¹搅拌反应1 h → 加入PVP(终浓度0.01 g·L⁻¹)→ 0.8 μm滤膜过滤。
1.5 纳米银的表征
1.5.1 紫外可见吸收光谱(UV-vis)测定
样品稀释20倍,300~700 nm波长扫描,观测表面等离子体共振(SPR)吸收峰。
1.5.2 透射电子显微镜(TEM)观察颗粒形态
铜网吸附2 min,室温风干,Nano Measurer软件分析至少300个颗粒粒径。
1.5.3 水合粒径(HD)、多分散系数(PDI)和zeta电位(ZP)测定
动态光散射技术测定,25 °C平衡2 min。
1.6 菌株复苏与培养
冻存液划线于TSA平板,37 °C过夜培养 → 单菌落接种TSB培养基,37 °C、200 r·min⁻¹培养至OD600 nm,涂板计数。
1.7 最小抑菌浓度(MIC)测定
微量肉汤稀释法,菌液调整至10⁶ CFU·mL⁻¹,37 °C孵育24 h,培养液澄清透明孔对应浓度即为MIC。
1.8 犬伤口感染MRSA模型的建立及疗效评价
1.8.1 试验动物
雄性比格犬12只,体重约10 kg,随机分为3组(每组4只):生理盐水对照组、恩诺沙星阳性对照组(50 g·L⁻¹)、纳米银组(0.1 g·L⁻¹)。
1.8.2 感染模型的建立
背侧部剃毛(8 cm×8 cm)→ 利多卡因局部浸润麻醉(0.5 g·L⁻¹,0.1 mL·kg⁻¹)→ 皮肤活检打孔器制造直径2 cm圆形全层皮肤伤口 → 滴加MRSA菌液(0.2 mL,10⁸ CFU·mL⁻¹)→ 伤口敷料覆盖 → 感染3 d后Baird-Parker平板验证建模成功。
1.8.3 纳米银对犬感染伤口愈合的影响
实验流程(第0天感染→第3-14天给药12 d→第15天采样)。给药:每天2次,每次喷洒0.5 mL药液。观察:每天拍照记录,Image J软件定量伤口面积。
1.8.4 伤口组织的载菌量测定
第15天采集伤口皮肤组织20 mg → 组织匀浆 → 倍比稀释涂布Baird-Parker平板 → 37 °C培养24 h计数。
1.8.5 伤口皮肤组织的病理学分析
第15天采样,4 g·L⁻¹多聚甲醛固定过夜 → HE染色与马松染色观察组织病理变化。
1.8.6 免疫组织化学染色
石蜡切片 → 梯度乙醇脱水 → 孵育一抗(CD31、TGF-β、VEGF)→ 羊抗兔二抗 → DAB显色 → Image J半定量分析。
1.8.7 组织免疫荧光
石蜡切片 → 抗原修复 → CD86(M1巨噬细胞标志)和CD206(M2巨噬细胞标志)抗体染色 → 荧光显微镜拍摄 → Image J半定量分析。
1.9 数据分析
Graphpad Prism 9单因素方差分析,Turkey法多重比较,字母法显著性标记(P<0.05)。
2 结果
2.1 纳米银的制备及其表征
UV-vis光谱显示,纳米银在433 nm处有最大吸收峰(特征性SPR峰),溶液颜色由无色变为黄褐色(图2A);TEM显示,纳米银呈球形,分布均匀,无明显聚集(图2B);粒径统计呈正态分布,平均尺寸为(20.01±6.99)nm(图2C);HD为(282.00±3.40)nm,PDI为0.312±0.039,ZP为(-2.56±0.32)mV,表明体系稳定、分布均匀(图2D、E)。

2.2 纳米银的体外抗菌活性
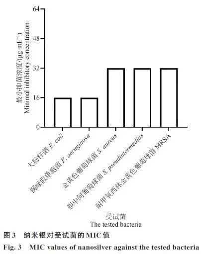
灵芝提取物无抗菌活性,纳米银对所有受试菌均有抗菌活性;革兰阴性菌(大肠杆菌、铜绿假单胞菌):MIC = 16 μg·mL⁻¹;革兰阳性菌(金黄色葡萄球菌、假中间葡萄球菌、MRSA):MIC = 32 μg·mL⁻¹(图3),纳米银对革兰阴性菌抗菌作用更强。

2.3 纳米银对犬皮肤金黄色葡萄球菌感染的疗效
Baird-Parker平板显示所有犬只伤口均成功感染MRSA(黑色金属光泽菌落)(图4)。伤口外观及愈合模拟图显示,第6天起纳米银组和恩诺沙星组伤口闭合显著快于对照组;第15天纳米银组相对伤口面积(10.55%±2.19%)显著小于恩诺沙星组(16.03%±2.37%),愈合速度快于阳性对照(图5).载菌量测定显示纳米银与恩诺沙星均能显著降低伤口细菌负荷(从~6 CFU·g⁻¹降至~3 CFU·g⁻¹),抗菌效力与恩诺沙星相当(图6)。HE染色:对照组表皮缺失、胶原纤维少、炎性细胞浸润多;恩诺沙星组表皮增厚但断裂;纳米银组表皮明显增厚、角化层可见肉芽组织、胶原纤维丰富、炎性细胞浸润少(图7)。马松染色:纳米银组和恩诺沙星组胶原纤维含量显著高于对照组,纳米银能有效促进胶原沉积(图8)。免疫组化:纳米银组TGF-β、CD31、VEGF阳性率显著高于对照组和恩诺沙星组,表明纳米银通过促进肌纤维生成和血管生成加速愈合(图9)。免疫荧光:纳米银组CD86(M1型促炎巨噬细胞)荧光强度显著降低,CD206(M2型抗炎巨噬细胞)荧光强度显著升高,表明纳米银能改善伤口免疫微环境,促进巨噬细胞向抗炎M2型极化(图10)。




3 讨论
绿色合成优势:采用灵芝提取物(含40%多糖)作为还原剂生物合成纳米银,多糖作为还原剂和封端剂,PVP作为稳定剂,方法简便、环保、可宏量制备(50L规模)。
粒径与稳定性:纳米银平均尺寸约20 nm,zeta电位接近中性(-2.56 mV),水合粒径282 nm,PDI<0.5,表明颗粒分散性好、体系稳定。粒径小于100 nm有利于穿透细菌细胞壁发挥抗菌作用。
抗菌机制:纳米银对革兰阴性菌抗菌活性更强(MIC 16 vs 32 μg·mL⁻¹),归因于革兰阴性菌细胞壁较薄且含带负电荷的脂多糖,对银离子亲和性更高。对MRSA等耐药菌同样有效,不易产生耐药性。
促愈合机制:纳米银通过四重机制促进犬感染伤口愈合:直接抗菌:降低伤口载菌量;促进胶原沉积:TGF-β信号通路激活,成纤维细胞增殖;促进血管生成:VEGF、CD31表达上调,改善组织供氧;免疫调节:促进巨噬细胞从促炎M1型向抗炎M2型极化,改善伤口微环境;临床转化价值:纳米银治疗效果优于临床常用抗生素恩诺沙星,为宠物MRSA皮肤感染提供了安全有效的替代治疗方案,具有广阔临床应用前景。需关注长期亚抑制浓度暴露可能诱导的耐药性问题。
4 结论
本研究利用灵芝提取物生物合成平均尺寸20 nm的球形纳米银,对MRSA等常见皮肤感染致病菌具有高效抗菌活性(MIC 16-32 μg·mL⁻¹)。体内试验证实纳米银能有效降低犬伤口载菌量,通过促进胶原沉积、血管生成和改善免疫微环境(M2型巨噬细胞极化),显著促进MRSA感染伤口的愈合,效果优于阳性对照恩诺沙星。该研究为纳米银转化应用于宠物皮肤感染的临床治疗奠定了物质与实践基础。
关键词:纳米银 ; 皮肤感染 ; 伤口愈合 ; 耐药菌 ; 抗菌 ; 免疫调节