钠-氧气电池因高的理论能量密度(~1100 Wh kg⁻¹)和钠资源的低成本优势,被视为前景广阔的下一代大规模储能技术。然而,传统液态电解质体系中,超氧根阴离子的强亲核性会引发严重的副反应,导致电解液分解、电极钝化,钠枝晶生长引发的安全隐患,严重阻碍了其实际应用。全固态钠-氧气电池(ASS-SAB)采用无机固态电解质有望从根本上解决上述问题,但固-固界面处巨大的机械应力和动力学瓶颈,特别是正极侧有限的三相界面和负极侧钠金属在陶瓷上极差的润湿性,导致电池界面阻抗大、容量低且循环寿命极短。

2026年3月18日,南京大学周豪慎教授、何平教授在《Journal of the American Chemical Society》上发表了题为“Chemical Integration of Multiphase Interfaces in All-Solid-State Sodium-Oxygen Batteries via Monolithic Ceramic Scaffolds”的研究论文。该工作提出一种颠覆性的双界面一体化集成策略,通过构建具有多孔-致密双层结构的一体化β″-Al₂O₃陶瓷骨架,彻底消除了电解质与正极之间的宏观物理边界,从根源上解决了固态电池的界面难题。
研究团队首先通过共烧工艺制备了多孔-致密一体化β″-Al₂O₃陶瓷。致密层作为隔膜提供高离子电导率(室温下5.8×10⁻⁴ S cm⁻¹),而多孔层则作为正极的“离子高速公路”骨架。为解决正极导电性问题,团队利用等离子体增强化学气相沉积(PECVD)在多孔骨架内壁精准沉积了一层仅30 nm厚的共形石墨化碳层。这一超薄碳网络构建了三维电子传导通路,同时保留了充足的孔隙用于氧气扩散和放电产物储存,将传统点对点接触的三相界面扩展为整个多孔骨架内的体相界面。
在负极侧,钠金属与陶瓷电解质的兼容性差是另一个急需解决的问题。研究团队创在陶瓷致密层表面引入Bi₂O₃纳米片中间层。当与熔融钠接触时,Bi₂O₃发生原位化学反应,生成由NaBi、Na₃Bi合金和Na₂O组成的梯度Na-Bi-O混合导电中间相。这一反应润湿过程将钠金属与陶瓷从物理贴合转变为化学融合,形成了原子级紧密接触的界面。XPS深度剖析证实该梯度界面层厚度约为1 μm,其混合导电特性有效均匀化了钠离子通量,消除了局部电流热点。
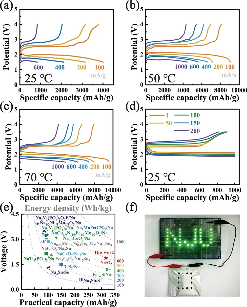
在对称电池测试中,改性后的Na|陶瓷|Na界面实现了超过14000小时的超稳定循环,临界电流密度从0.25 mA cm⁻²提升至0.95 mA cm⁻²。基于该一体化骨架的全固态钠-氧气电池,在室温下展现出高达4012 mAh g⁻¹(基于碳质量)的放电容量,并在1000 mAh g⁻¹的限定容量下稳定循环200圈,过电位低至0.5 V。即使在70°C高温下,电池在1000 mA g⁻¹的大电流密度下仍能释放4906 mAh g⁻¹的容量。团队还成功组装了小型软包电池,在环境空气中点亮了NJU的LED阵列,并实现了597 Wh kg⁻¹的实用化能量密度。
亮点:1、构建多孔-致密双层β″-Al₂O₃陶瓷骨架,消除固态电解质/正极宏观界面,构建体相三相反应区,从架构上解决固态界面难题。
2、利用Bi₂O₃与钠的原位反应形成梯度Na-Bi-O混合导电中间相,实现钠金属与陶瓷的化学融合,对称电池循环寿命突破14000小时。
3、全固态电池室温容量高达4012 mAh g⁻¹,稳定循环200圈,并成功驱动LED阵列,验证了实用化潜力。
图1:全固态(ASS)Na-O₂电池中界面工程设计的示意图。(左)传统的固态Na-O₂电池受限于受限的离子/电子通量、受阻的氧气传输和有限的三相边界,以及差的Na润湿性,导致高界面电阻和快速失效。(右)双界面集成的ASS Na-O₂电池采用多孔-致密双层β-AlO骨架,该骨架具有保形碳网络和Na-Bi-O反应性润湿中间相,实现了扩展的三相边界、稳定NaO₂以及低电阻、高度可逆操作。多孔β-AlO骨架作为一个连续离子传导“高速公路”,消除了电解质与阴极之间的宏观物理边界,以建立一个无缝离子连续体。保形碳层提供了一个3D电子网络,最大化整个阴极骨架内的三相边界,促进放电产物的限域生长和有效分解。Na-Bi-O中间相作为由反应性润湿诱导的混合导电中间相,确保了阳极侧的原子级接触并均匀化钠离子通量,以在长周期循环中维持界面完整性。
图2:单片双层β-Al₂O₃电解质的结构表征。(a) PECVD衍生碳层的拉曼光谱。(b) Tof-SIMS深度剖面图显示碳层厚度。(c, d) 多孔骨架在(c)保形碳涂层前和(d)保形碳涂层后的SEM图像。(e) 碳/β-Al₂O₃界面的横截面TEM图像和(f) HRTEM图像,揭示石墨晶格条纹。
图3:反应性Na-Bi-O中间相的表征和电化学稳定性。(a) Bi₂O₃纳米片涂层的顶视SEM图像。(b) Bi₂O₃/β-Al₂O₃界面的横截面SEM图像及相应的EDS面扫图;插图为涂层后的光学颜色变化。(c) 在0.25mA cm⁻²电流密度下,比较裸电解质和改性电解质的Na-Na对称电池的长周期恒电流循环。(d) 与钠接触后界面的XRD图谱和(e) XPS谱图,确定了Na₂Bi合金和Na₂O的形成。
图4:全固态Na-O₂电池的电化学性能和实际可行性。在(a) 25°C,(b) 50°C和(c) 70°C下,不同电流密度(从100到1000mA g⁻¹)的恒电流放电-充电曲线。有效阴极质量负载,包括保形石墨化碳层,通常控制在约0.25mg cm⁻²。报道的放电容量(4012mA h g⁻¹)是归一化到石墨化碳涂层的质量,对应的面积容量约为1.0mA h cm⁻²。(d) 室温下,在100mA g⁻¹电流密度下,以1000mA h g⁻¹的固定容量进行的扩展循环性能。(e) Ragone图比较了该工作的实际容量、平均输出电压和质量能量密度与先前报道的全固态钠金属电池。(f) 小型全固态Na-O₂软包电池在环境条件下成功点亮“NJU”LED阵列的光学图像。
图5:全固态Na-O₂电池的机理分析。阴极形貌演变的SEM表征:阴极在(a)原始状态、(b)完全放电后和(c)再充电后的顶视SEM图像。(d) 原子尺度结构鉴定:放电产物的高分辨率STEM图像,插图为相应的SAED图。原位气体析出动力学:(e)放电和(f)充电过程中的DEMS分析。界面动态演变:(g)在不同放电和充电状态记录的原位EIS谱图。(h) 体电阻、界面电阻和电荷转移电阻的演变。(i) 原位拉曼光谱显示NaO₂信号的出现和消失,未检测到Na₂O₂。
本研究提出并验证了一种通过一体化陶瓷骨架实现全固态钠-氧气电池双界面化学集成的创新策略。通过构建多孔-致密β″-Al₂O₃陶瓷,并分别以共形碳层和反应润湿的Na-Bi-O梯度中间相精准修饰正、负极界面,成功将传统固态电池中松散、高阻的物理接触转变为连续、低阻的化学融合。该设计不仅构建了体相三相反应区,释放了4012 mAh g⁻¹室温容量,更将钠负极界面稳定性提升至超过14000小时。原位谱学与质谱联用技术揭示了固态环境对NaO₂反应路径的独特稳定机制。这项工作为破解固态多相界面难题提供了普适性设计蓝图,为发展高安全、高比能固态金属-空气电池开辟了新路径。
文献链接:https://doi.org/10.1021/jacs.6c00021