关键词:思想纯粹,稳定情绪,适度锻炼,激发潜能,保持节奏,时刻细心,相信自己

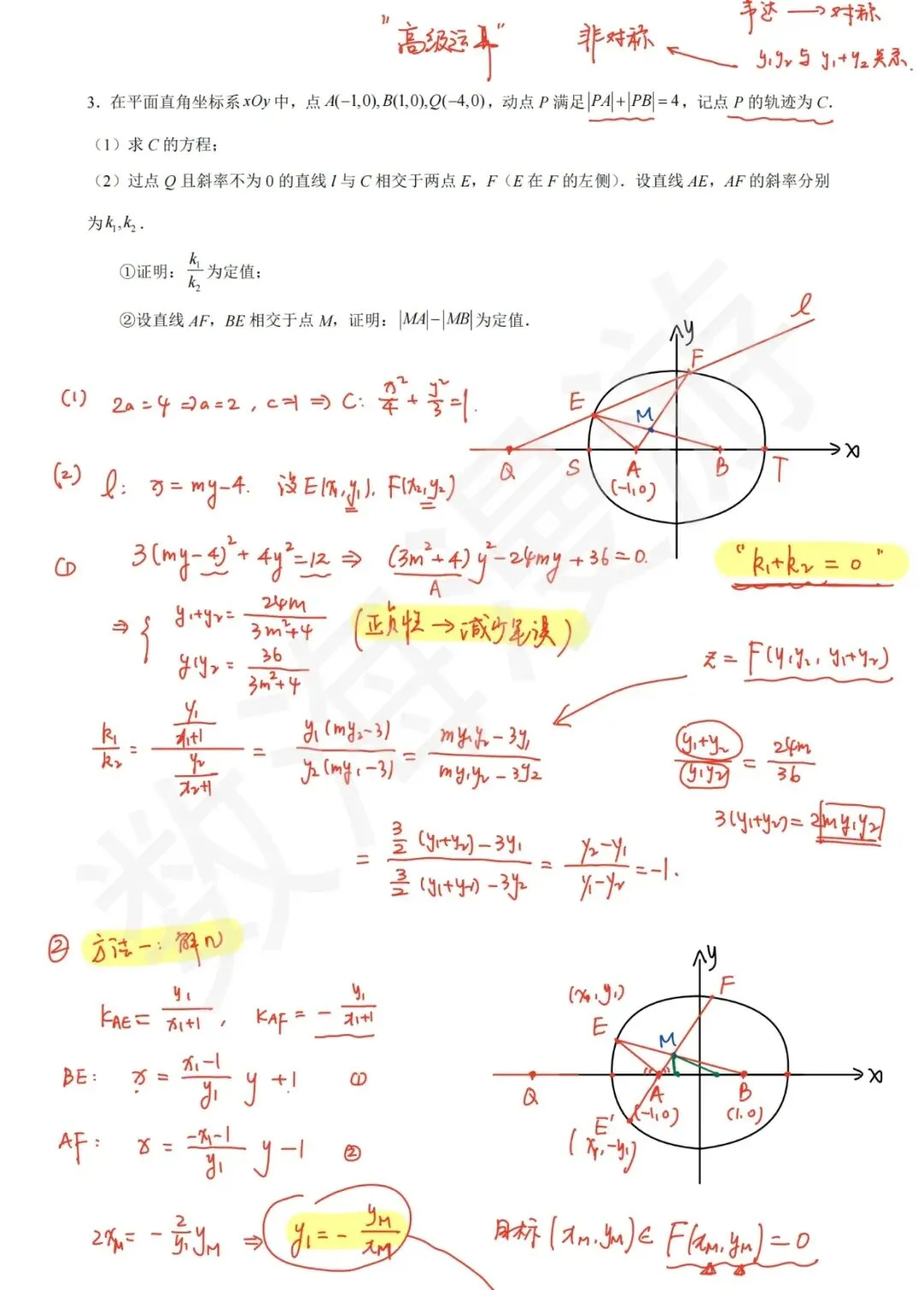
试题源自:25年南京二模第18题,解析来源于数海漫游林老师—— 这道题的难度并不是特别大,但这道题的结论非常漂亮,而且大部分同学之前都不知道这个性质。我们一般了解的是,在下图中,G、D分别为C的左、右顶点,则DE、FG的交点N的轨迹是直线的一部分(即极点Q所对应的极线)。

但这道题给出了以下超美结论:在下图中,A、B分别是C的左、右焦点,则BE、AF的交点M的轨迹是双曲线的一部分。

在课上,我们用两种自然、优美的思路给出了这个结论的两种截然不同的证明方法,在这里也分享给大家。值得一提的是,在备考过程中,我们不仅要做“好题”,一些漂亮、少见的“二级结论”,也是非常值得学习的!
































