融合深度学习与基于过程的作物模型改进小麦育种群体的物候期预测
Li, F., He, R., Yan, W., Fang, Q., Cheng, S., Hou, J., Xu, Y., Wu, Y., Xu, Y., Wang, X., Xiao, L., Liu, L., Tang, L., Cao, W., Liu, B., & Zhu, Y. (2026). Improving phenology prediction of wheat breeding populations by integrating deep learning and process-based crop models. Agricultural and Forest Meteorology, 384, 111154.https://doi.org/10.1016/j.agrformet.2026.111154
摘要 | Abstract
准确预测小麦物候期对于气候变化情景下的产量预测和胁迫评估至关重要。大多数机理作物模型严重依赖于特定的基因型参数(GPs),而这些参数通常需要通过耗时费力的多环境试验来进行表征。尽管深度学习(DL)模型可以直接将基因型和环境输入高精度地映射到表型,但其缺乏可解释性仍是一个重大挑战。在本研究中,我们提出了一种整合长短期记忆(LSTM)网络和基于过程的模型(WheatGrow)的深度学习-基于过程(DL-PB)混合模型。我们首先利用历史气象和土壤数据,以及从WheatGrow模型的机理公式衍生出的每日作物特征,建立了一个预训练的DL-PB模型。随后,我们将703份小麦种质通过标记效应映射到历史表型特征的基因组记录,连同相应的每日作物特征,输入到预训练的DL-PB模型中,以预测物候期(具体为抽穗期)。这种新设计的模型比经典的纯深度学习模型取得了显著的改进。更重要的是,该模型捕获了生理动态(例如,生理发育时间的变化),这对于解释环境条件与内部生物分子机制之间的相互作用至关重要。我们成功地将基于过程的时间序列模拟记录与基因型变异联系起来,证明了其在指导气候抗性育种方面的优越性。
亮点 | Highlights
提出了一种基于作物生长理论和LSTM网络的DL-PB耦合模型。
利用标记效应进行的基因型到表型建模增强了物候期预测。
在DL-PB模型中利用WheatGrow的中间输出结果可降低对数据的依赖性。
DL-PB模型能够解释由不同外部条件引起的性状变异。
A coupled DL-PB model based on crop growth theories and LSTM network was proposed.
Genotype-to-phenotype modeling with marker effects enhanced phenology prediction.
Utilizing intermediate outputs from WheatGrow in DL-PB models reduces data dependency.
DL-PB models interpret trait variations caused by diverse external conditions.

图1. 三个群体中小麦基因型来源的地理分布(A)以及分别选定的欧洲(B)和中国(C)小麦主要种植区的代表性地点。
Fig. 1. Geographic distribution of wheat genotypes sources in three populations (A) and representative sites of wheat main planting areas selected in Europe (B) and China (C), respectively.

图2. 使用集成 WheatGrow-LSTM 方法预测小麦抽穗期的技术流程图。
Fig. 2. Technical flow chart for predicting wheat heading date using an integrated WheatGrow-LSTM method.

图3. 来自三个数据集的 19 个试验环境中的小麦抽穗期分布。
Fig. 3. Distribution of wheat heading dates across 19 experimental environments from three datasets.

图4. 基于 APSIM-Wheat 模拟,对所有环境 (E1–E19) 进行 LOEO 评估,分析五个生长阶段 (GS1–GS5) 的关键气象变量分布。
Fig. 4. Distributions of key meteorological variables across five growth stages (GS1–GS5) during LOEO evaluation, based on APSIM-Wheat simulations for all environments (E1–E19).

图5. 基于 WheatGrow 模拟,对所有环境 (E1–E19) 进行 LOEO 评估,五个生长阶段 (GS1–GS5) 的关键气象变量分布情况。
Fig. 5.Distributions of key meteorological variables across five growth stages (GS1–GS5) during LOEO evaluation, based on WheatGrow simulations for all environments (E1–E19).

图6. 使用 APSIM-Wheat 模型 (A–C) 和 APSIM-Wheat-LSTM 模型 (D–F) 对三个数据集的预测小麦抽穗日期与观察到的小麦抽穗日期进行比较。
Fig. 6. Predicted versus observed wheat heading dates across three datasets using the APSIM-Wheat model (A–C) and the APSIM-Wheat-LSTM model (D–F).

图7. 使用 WheatGrow 模型 (A–C) 和 WheatGrow-LSTM 模型 (D–F) 对三个数据集预测的小麦抽穗日期与观察到的小麦抽穗日期进行比较。
Fig. 7.Predicted versus observed wheat heading dates across three datasets using the WheatGrow model (A–C) and the WheatGrow-LSTM model (D–F).

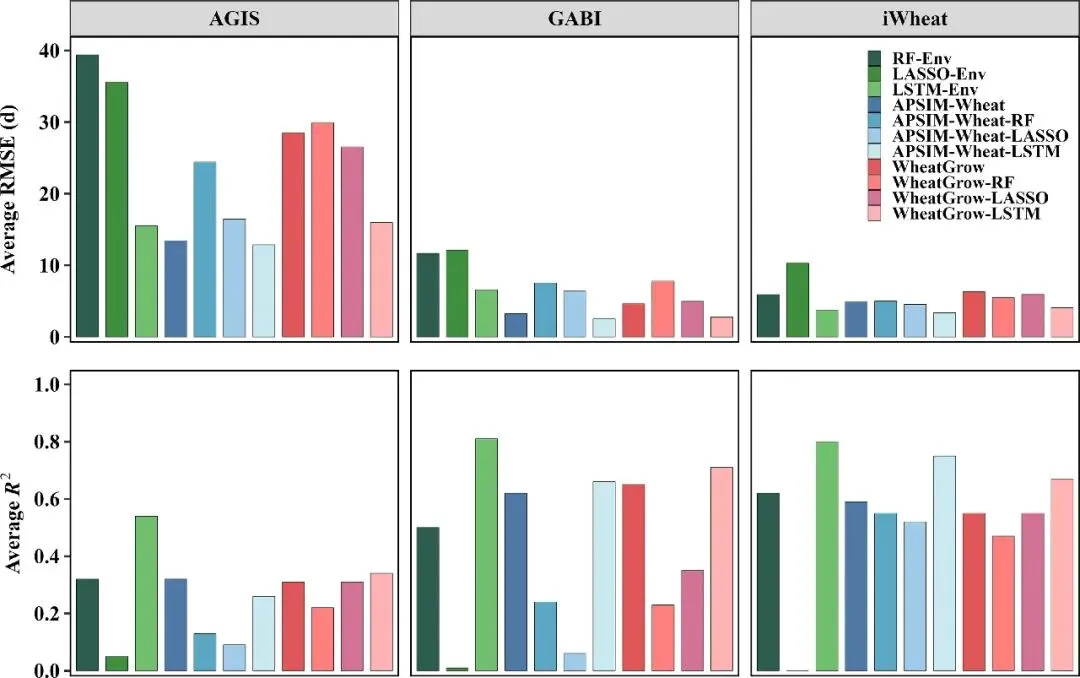
图8. 通过 LOEO 对三个群体(AGIS、GABI 和 iWheat)在所有测试环境下的小麦抽穗期预测准确性进行比较。
Fig. 8. Comparison of prediction accuracy for wheat heading date across all testing environments via the LOEO for the three populations (AGIS, GABI, and iWheat).

图9. 在 LOEO 交叉验证下,APSIM-Wheat-LSTM 模型在五个生长阶段(GS1 至 GS5)中通过 GradientSHAP 导出的特征归因值。
Fig. 9. Feature attribution values derived from GradientSHAP for the APSIM-Wheat-LSTM model under LOEO cross-validation across five growth stages (GS1 to GS5).

图10. 在 LOEO 交叉验证下,WheatGrow-LSTM 模型在五个生长阶段(GS1 至 GS5)中通过 GradientSHAP 导出的特征归因值。
Fig. 10. Feature attribution values derived from GradientSHAP for the WheatGrow-LSTM model under LOEO cross-validation across five growth stages (GS1 to GS5).
结论 | Conclusion
本研究构建了一个统一的框架(称为DL-PB模型),用于预测各种基因型在不同环境条件下的小麦物候期。DL-PB模型利用内部变量(例如生理发育时间,PDT)将时间序列气象数据和原始播种期记录转化为具有明确生物学意义的特征,从而有助于解释物候变异背后的生理机制。此外,为了将高密度基因组变异纳入建模过程,本研究应用了与明确生物学机制相关的估计标记效应。结果一致表明,与仅依赖原始气象输入相比,在各种实验测试场景中,结合每日作物特征显著提高了LSTM模型的预测精度和鲁棒性。通过在复杂的基于过程的作物机理与强大的深度学习算法之间建立桥梁,本研究为大型育种群体中先进的“基因型-表型”映射铺平了道路,从而有助于育种者针对目标种植区域开发高产且具备气候适应性的新品种。

Agricultural and Forest Meteorology
点击公众号最底部“阅读原文”
查看原文
引用:Li, F., He, R., Yan, W., Fang, Q., Cheng, S., Hou, J., Xu, Y., Wu, Y., Xu, Y., Wang, X., Xiao, L., Liu, L., Tang, L., Cao, W., Liu, B., & Zhu, Y. (2026). Improving phenology prediction of wheat breeding populations by integrating deep learning and process-based crop models. Agricultural and Forest Meteorology, 384, 111154.
https://doi.org/10.1016/j.agrformet.2026.111154
通讯作者
Corresponding author: Bing Liu
Affiliation: National Engineering and Technology Center for Information Agriculture, Nanjing Agricultural University, Nanjing, Jiangsu 210095, PR China.
E-mail address: bingliu@njau.edu.cn
公众号简介

扫二维码 | 关注期刊官微
SCI期刊Agricultural Systems (AS), Agriculture, Ecosystems & Environment (AGEE), Agricultural and Forest Meteorology (AFM), Agricultural Water Management (AWM) 服务平台,AS 期刊的 Social Media Specialists 负责运营,推广最新科研成果,加强同行交流合作,保障全球粮食安全,促进农业生产可持续性发展。
AS期刊官网:
https://www.sciencedirect.com/journal/agricultural-systems
AGEE期刊官网:
https://www.sciencedirect.com/journal/agriculture-ecosystems-and-environment
AFM期刊官网:
https://www.sciencedirect.com/journal/agricultural-and-forest-meteorology
AWM期刊官网:
https://www.sciencedirect.com/journal/agricultural-water-management
相关期刊

声明
欢迎转载、转发本号原创内容,转载信息请与本号联系授权,标注信息来源为《Agricultural System 粮食安全》。转载、合作联系
Social Media Specialists:E-mail:hanjichong@mail.bnu.edu.cn。本号转载信息旨在传播交流,中文翻译仅供参考,准确内容请阅读英文原文。