
全氟和多氟烷基物质(PFAS)因其优异的疏水疏油性能,被广泛应用于工业生产和日常消费品中。同时,PFAS也具有较强的环境持久性和生物累积潜力,可以被蔬菜吸收转运至可食部位,最终通过食物链进入人体。已有研究表明,膳食摄入是非职业暴露人群PFAS的重要来源,其中叶菜类对人体暴露的贡献在部分地区可超过60%。此外,微塑料作为农业土壤中的新兴污染物,也广泛存在于农膜覆盖、污水灌溉、污泥施用和大气沉降等场景中。微塑料不仅可能直接吸附PFAS,改变其环境行为,还可能通过干扰土壤性质和植物生理过程,进一步影响PFAS的植物吸收与迁移。尽管微塑料与PFAS在农田中广泛共存,不同类型微塑料对植物富集PFAS的影响及作用机制,仍缺乏系统认识。针对这一问题,南京大学环境学院崔昕毅教授课题组选取传统塑料聚氯乙烯(PVC)、可降解塑料聚乳酸(PLA)和新型塑料轮胎磨损颗粒(TWP)三类典型微塑料,以小青菜为模型植物,系统比较了不同微塑料类型对10种PFAS物质吸收和累积的影响;并结合吸附实验、植物生理指标、基因表达和代谢组学分析,揭示了微塑料类型依赖的差异作用机制。

图1. 图文摘要

南京大学环境学院顾茜、张谦、崔昕毅等在 Eco-Environment & Health 发表题为 “Effects and mechanisms of microplastic types on plant uptake of per- and polyfluorinated alkyl substances” 的研究型论文。该研究围绕农业土壤中微塑料与PFAS复合污染问题,系统评估了三类微塑料对蔬菜吸收PFAS的影响,并从多个层面解析其机制,为农田复合污染风险评估和管控提供了新的科学依据。
研究发现,不同类型微塑料对小青菜地上部PFAS富集的影响存在明显差异(图2)。其中,PVC在0.01%、0.05%和0.5%添加量下,均显著提高了小青菜地上部10种PFASs的累积,总量分别为对照组的1.31倍、1.46倍和1.70倍(图2A)。相比之下,TWP在三个添加水平下均显著降低PFASs在地上部的累积,降幅分别达到37.4%、44.6%和54.1%(图2A)。而可降解塑料PLA对PFASs吸收未表现出显著影响。

图2. 不同微塑料类型及添加水平对小青菜地上部PFAS富集的影响。在低(-L,0.01%)、中(-M,0.05%)和高(-H,0.5%,按土壤质量分数计)三个添加水平下,比较了PVC、PLA和TWP对小青菜地上部10种PFAS物质的总富集量(A)和生物富集系数(B)的影响。
为探究不同微塑料影响PFAS吸收的原因,研究首先比较了三种微塑料对10种PFASs的吸附能力。结果表明,三者总吸附能力大小规律为TWP > PLA > PVC > 土壤对照(图3),与植物中PFAS富集趋势正好相反。TWP吸附能力最强,可能与其富含炭黑组分、表面更粗糙、极性官能团更丰富以及金属桥联作用有关。相比之下,PVC结构更致密、可利用吸附位点较少,因此吸附能力较弱。TWP对PFAS的强吸附在一定程度上解释了其抑制植物吸收的现象。

在植物生理层面,PVC对小青菜生长基本无显著影响,而PLA和TWP均表现出一定植物毒性,其中TWP对地上部和根部生物量抑制最为明显(图4B-C)。与此同时,TWP还显著降低了植物蒸腾速率和气孔导度(图4D-E)。考虑到PFAS向地上部迁移高度依赖水分运输,TWP对蒸腾的抑制很可能削弱了PFAS的向上转运,从而降低其在地上部的累积。

图4. 微塑料处理下小青菜的生理生化响应。高剂量微塑料(0.5%,按土壤质量分数计)处理下,小青菜幼苗的代表性照片(A);小青菜地上部(B)和根部(C)生物量;蒸腾速率(D)和气孔导度(E);以及在低(-L,0.01%)、中(-M,0.05%)和高(-H,0.5%)三个添加水平下,微塑料暴露对丙二醛含量(MDA,F)、超氧化物歧化酶活性(SOD,G)和过氧化物酶活性(POD,H)的影响。
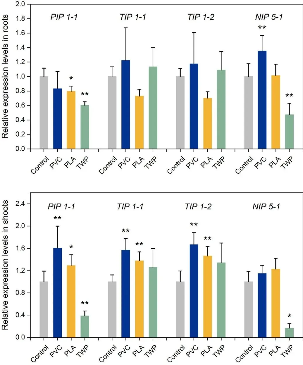
通过进一步分子机制解析,发现PVC显著上调了部分水通道蛋白基因表达(图5),可能通过增强水分运输促进PFAS吸收和转运;而TWP则表现出相反趋势。相比之下,PLA同时具有抑制生长和上调部分相关基因的双重作用,二者相互抵消,可能导致其对PFAS吸收影响总体不显著。

图5. 微塑料处理下小青菜根和地上部水通道蛋白基因的相对表达水平。在 0.5% 添加量下,比较了 PVC、PLA 和 TWP 处理组相对于对照组的小青菜根部和地上部水通道蛋白基因表达变化。∗ p < 0.05,∗∗ p < 0.01。
代谢组学分析显示,不同微塑料对植物代谢的扰动存在明显差异,其中TWP影响最强(图6D)。与PVC相比,PLA尤其是TWP更显著地下调了脂质代谢、氨基酸代谢等关键通路,并影响茉莉酸相关代谢物水平(图6G)。这些变化与其诱导氧化损伤、抑制蒸腾并降低PFAS吸收的现象相吻合,说明TWP主要通过较强植物毒性降低PFAS累积。

图6. 微塑料处理下小青菜地上部代谢谱特征及代谢通路富集分析。在 0.5% 添加量下,小青菜地上部代谢物在 PVC(A)、PLA(B)和 TWP(C)处理组中的正交偏最小二乘判别分析(OPLS-DA)结果;对照组与 PVC、PLA、TWP 处理组差异代谢物的 Venn 图(D);以及 PVC(E)、PLA(F)和TWP(G)处理下小青菜地上部 KEGG 代谢通路的差异丰度评分。
综上所述,不同类型微塑料对小青菜吸收PFAS的影响和机制呈现显著差异。PVC主要通过增强植物水分运输促进PFAS吸收,TWP则通过较强吸附能力及植物毒性抑制地上部PFAS的累积,而PLA通过相互抵消的作用对PFAS吸收影响有限。该研究揭示了微塑料类型依赖的植物PFAS吸收的差异机制,为农田微塑料—PFAS复合污染风险评估与防控提供了新的科学依据。

Qian Gu, Pengfei Zhou, Yi Kong, Chenzhuo Song, Qian Zhang*, Xinyi Cui*, Effects and mechanisms of microplastic types on plant uptake of per- and polyfluorinated alkyl substances, Eco-Environment & Health (Eco-Environ. Health), 2026, 5(1),100216
https://doi.org/10.1016/j.eehl.2026.100216


顾茜,南京大学环境学院2020级博士研究生。研究方向为全氟化合物的植物吸收与调控。已发表Eco-Environ. Health、Science of The Total Environment等期刊论文3篇。


张谦,南京大学环境学院博士后,德国亚琛工业大学与亥姆霍兹于利希研究中心联合培养博士,研究领域为颗粒物环境行为与土壤元素循环。以第一/通讯作者发表Environ. Sci. Technol.、Eco-Environ. Health等期刊论文9篇。主持国家自然科学基金青年基金(C类)、江苏省自然科学基金青年基金和博士后面上项目等课题。获国家资助博士后研究人员计划C档、南京大学毓秀青年学者计划和国家留学基金委资助攻读博士学位奖学金等荣誉。

崔昕毅,南京大学环境学院教授、博士生导师,国家优秀青年科学基金获得者。研究方向为环境风险评估、环境材料与污染修复。主持国家自然科学基金青年基金(B类),国家科技重大专项、国家重点研发计划课题,国家自然科学基金面上项目及江苏省自然科学基金等项目。在Nat. Commun., Environ. Sci. Technol.等期刊发表论文90余篇。现任 Sci. Total. Environ.编委、Carbon Res.、Biochar 青年编委等。受邀编写《环境化学前沿》《环境化学》等专著。现任中国环境科学学会新污染物治理专业委员会常务委员,中国土壤学会青年工作委员会委员等。2023年获Environmental Science & Technology期刊"杰出审稿人奖"。

来源:Eco Environ Health。投稿、合作、转载、进群,请添加小编微信Environmentor2020!环境人Environmentor是环境领域最大的学术公号,拥有25W+活跃读者。由于微信修改了推送规则,请大家将环境人Environmentor加为星标,或每次看完后点击页面下端的“在看”,这样可以第一时间收到我们每日的推文!环境人Environmentor现有综合群、期刊投稿群、基金申请群、留学申请群、各研究领域群等共20余个,欢迎大家加小编微信Environmentor2020,我们会尽快拉您进入对应的群。

往期推荐



扫描二维码,快速入群~