发表期刊:npj climate and atmospheric science
分区及实时影响因子:1区TOP(6.773)
第一作者和单位:李祥飞 -南京信息工程大学地理科学学院
论文摘要

热浪对自然和社会经济系统造成了灾难性后果,但在多年冻土地区,对热浪的研究仍显不足。我们利用第六次耦合模式比较项目(CMIP6)的模拟结果,对北半球多年冻土地区(PRNH)近期和未来的热浪进行了全面评估。我们的重点是研究夏季和冬季热浪的特征及其对基础设施稳定性的潜在影响。结果表明,过去几十年来,PRNH经历了越来越多的热浪,预计未来将面临更频繁、更强烈的热浪,尤其是在变暖程度更高的情况下。在全球范围内,夏季热浪发生频率更高,而冬季热浪强度更大,且具有明显的区域性特征。北极和青藏高原(QTP)的夏季和冬季热浪发生频率均高于中纬度地区。中纬度地区夏季热浪最为强烈,而北极则遭受最严重的冬季热浪。历史上,由于热浪天数更长、强度更大,北极和QTP受冬季热浪的影响更为严重。在变暖情景下,由于强度迅速增强,北极预计将继续面临更大的冬季热浪压力。相反,由于热浪天数更长且迅速增加,QTP将受到夏季热浪的更大影响。进一步分析表明,具有高地质灾害潜力(GP)的多年冻土地区将受到更大的夏季热浪压力,特别是在北极和QTP,这与热浪天数更长有关。然而,欧亚大陆的高GP地区预计将因强度更高而遭受更严重的冬季热浪。这些发现加深了我们对PRNH热浪的理解,并突出了热浪对多年冻土地区地质灾害的潜在影响。
主要图件

Fig 1. 研究区域及热浪识别概念图。阴影部分表示北半球(a)的永久冻土区,该区域被虚线分为三部分:北极、中纬度和青藏高原(QTP)。此处显示的地质灾害潜力是在RCP 8.5情景下本世纪中叶(2041-2060年)的预测结果110。T90(b)和热浪指标(c)确定的概念图。Fig 2. 1980年至2014年多年平均热浪指标的空间模式。a、b热浪天数(天),c、d平均强度(°C),e、f热浪累积强度(°C·天),g、h最长持续时间(天),i、j峰值强度(°C),以及k-o对应的纬度分布的空间分布。除灰色点标记的单元格外,a-j中的所有网格单元格在p<0.05的水平上均显著增加,且这些值代表夏季(红色)和冬季(蓝色)热浪指标的全球平均值(均值±标准差)。夏季和冬季之间差异的显著性由p值表示。
Fig 3. 1980年至2014年热浪指标的时间演变。a–d表示热浪天数(天),e–h表示平均强度(°C),i–l表示热浪累积强度(°C·天),m–p表示最长持续时间(天),q–t表示峰值强度(°C)在北半球、北极、中纬度和青藏高原(QTP)的变化。这些值代表夏季(红色)和冬季(蓝色)热浪指标的年代际趋势。星号表示趋势具有统计学意义(p<0.05)。阴影区域表示热浪指标的四分位数范围。Fig 4.2020年至2100年多年平均热浪指标的空间分布。在SSP126、SSP245、SSP370和SSP585情景下,夏冬季a–h热浪天数(天)、i–p平均强度(°C)和q–x累计强度(°C日)的空间分布。内嵌框代表夏季(红色)和冬季(蓝色)季节热浪指标的概率分布,两者差异的意义由p值表示。虚线代表空间分布图(平均±标准差)显示的热浪指标平均值。
Fig 5. 2020年至2100年多年平均热浪指标的纬度分布。在SSP126、SSP245、SSP370和SSP585情景下,夏季(红色)和冬季(蓝色)季节中a–d热浪天数(天数)、e–h平均强度(°C)和i–l累计强度(°C日)的纬度分布。阴影区域代表同一纬度不同网格的标准差。
Fig 6. 2020年至2100年多年平均热浪指标十年趋势的空间分布。在SSP126、SSP245、SSP370和SSP585情景下,夏冬季a–h热浪天数(天数/十年)、i–p平均强度(°C/十年)和q–x累计强度(°C日/十年)的十年趋势空间分布。除了带有灰点的格子外,所有网格单元的 p < 0.05 都显著增加。内嵌框代表夏季(红色)和冬季(蓝色)季节热浪指标趋势的概率分布,两者差异的意义由p值表示。虚线代表热浪指标的平均值,显示空间分布图(平均值±标准差)。
Fig 7. 2020年至2100年多年平均热浪指标中十年趋势的纬度分布。在SSP126、SSP245、SSP370和SSP585情景下,夏季(红色)和冬季(蓝色)季节中,a–d热浪天数(天数/十年)、e–h平均强度(°C/十年)和累计强度(°C日/十年)的十年趋势纬度分布。阴影区域代表同一纬度不同网格的标准差。
Fig 8. 不同地质灾害潜在等级下的热浪累计强度。夏季(红色)和冬季(蓝色)热浪累积强度涵盖北半球(NH)、北极(d–f)、北美(NAM)、欧亚大陆(EUA)和青藏高原(QTP),均为SSP126、SSP245和SSP585情景。统计的极限表示75%和25%百分位,圆圈是平均值。对于某一赛季,所有统计数据彼此差异显著,除了标有交叉标记的统计数据。
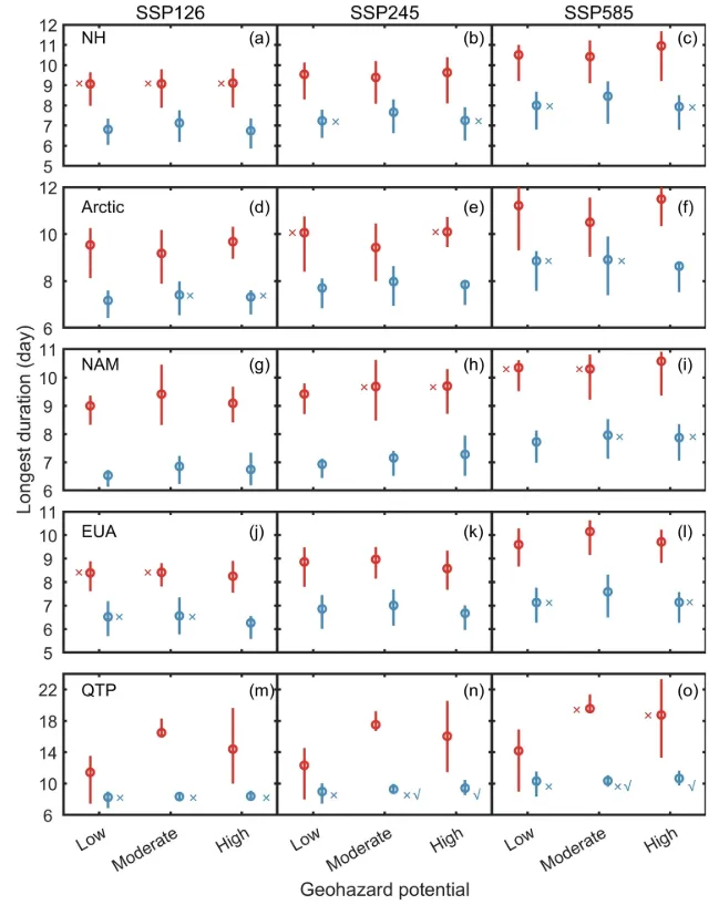
Fig 9.不同地质灾害潜在等级中热浪持续时间最长。在SSP126、SSP245和SSP585情景下,夏季(红色)和冬季(蓝色)热浪持续时间最长,覆盖北半球(NH)、北极(d–f)北极(NAM)、j–1欧亚(EUA)以及青藏高原(QTP)。 统计的极限显示了75%和25%的百分位数,圆圈是平均值。对于某一赛季,所有统计数据彼此差异显著,除了标有交叉标记或勾号的统计数据。
Li, X., Zhao, L., Wang, S. et al. Unstable permafrost regions experience more severe heatwaves in a warming climate. npj Clim Atmos Sci 8, 147 (2025). https://doi.org/10.1038/s41612-025-01037-5
投稿邮箱:bjwlkuzma@163.com
欢迎各位的关注与来稿!