
2026年1月,Foods (IF5.1)在线发表了江苏徐淮地区徐州农业科学研究所/农业农村部甘薯生物学与遗传育种重点实验李强研究员团队题为Deep Eutectic Solvents Mediated Extraction of a Pectin Polysaccharide from Processed Sweet Potato By-Products: Optimization and Characterization Studies的研究论文。

传统提取果胶的方法因溶剂用量大、提取时间长、果胶降解严重及环境危害等问题,已逐渐被一些绿色方法所替代。在这项研究中,使用新型绿色的深共晶溶剂(DES)从甘薯渣(SPR)中提取了一种名为DESP的果胶类多糖,通过响应面法(RSM)对提取物进行了优化,结果表明,DESP的最佳提取条件为ChCl-Ur摩尔比为1:2,含水量为75 wt.%,提取时间为125.7 min,提取温度为83.2°C,液固比为37.0 mL·g−1。最佳提取率为5.6%±0.09%,是热水提取甘薯果胶(HWSP,2.32%)的2.4倍。单糖分析显示,半乳糖醛酸(GalA)是最丰富的糖,其次是葡萄糖(Glc)、半乳糖(Gal)、阿拉伯糖(Ara)和鼠李糖(Rha)。DESP的分子量为20.90 kDa,低于普通传统溶剂提取的果胶。此外,DESP还表现出一定的抗炎活性。
Figure 1. Comparison between six DESs and water extraction yield for sweet potato pectin (A). Comparison between molar ratio of choline chloride and urea (B). Different lower-case letters show a significant difference among different extraction methods (p < 0.05).

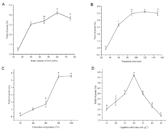
Figure 2. The influence of four factors of DES-5 on pectin yield in a single-factor experimental de-sign. (A) The influence of water content of DES on the yield of pectin. (B) The influence of extrac-tion time on the yield of pectin. (C) The influence of extraction temperature on the yield of pectin. (D) The influence of liquid to solid ratio on the yield of pectin. Different lowercase letters show a significant difference among different extraction methods (p < 0.05).
Figure 3. Three-dimensional response surface plots of DES extraction. (A–F) Interactions between water content, extraction time, extraction temperature, and liquid–to–solid ratio, respectively.

Figure 4. Two-dimensional contour plots of DES extraction. (A–F) Interactions between A, B, C, and D, respectively.

Figure 5. HPGPC elution curve (A) and HPLC chromatograms of standard monosaccharides and DESP (B).

Figure 6. The FT−IR spectra (A), XRD spectra (B), and 1H NMR spectra (C) of DESP.

Figure 7. The SEM images of DESP ((a): 130×; (b): 300×, (c): 1500×;(d):10,000×).
Figure 8. Cell viability of DESP on iBMDM cells in the presence of LPS and the effects of pectin on cytokine secretion. DEX refers to dexamethasone, 25 μg/mL. Data are presented as means ± SD (n = 3, biological replicates). “mM” means mmol/L; “μM” means μmol/L. *** p < 0.001. 1500×; (d): 10,000×).
作者及基金资助情况
江苏徐淮地区徐州农业科学研究所甘薯加工利用研究室张文婷为第一作者,江苏师范大学生命科学学院刘缠民教授和李强研究员为共同通讯作者。本研究得到了国家甘薯产业技术体系(CARS-10)、徐州市科技计划项目(KC23074)、国家自然科学基金(M2242001和31972942)的资助。
文章链接
https://doi.org/10.3390/foods15020388.