
大环化反应在天然产物生物合成中对于增强分子刚性和稳定性至关重要。
2026年1月29日,南京大学戈惠明、张博在国际知名期刊Nature Synthesis发表题为《Structural and mechanistic insights into iminium-catalysed macrocyclization by nuclear transport factor 2-like enzymes》的研究论文,ChengLi Liu为论文第一作者,戈惠明、张博为论文共同通讯作者。
虽然硫酯酶介导的大环内酯化或大环内酰胺化是I型聚酮合酶中的主要机制,但本文报道了一种替代性大环化机制,其中核转运因子2(NTF2)类酶能够催化串联立体选择性迈克尔加成与克内文纳格尔缩合反应,从而构建四氢呋喃并大环碳环。
通过基因组挖掘,本文鉴定出一类具有此串联环化功能的NTF2样蛋白家族。与底物类似物结合的X射线晶体结构及基于结构的突变分析显示,赖氨酸残基通过与末端醛基形成亚胺中间体驱动环化,而天冬氨酸作为通用碱介导质子转移。
捕获从线性前体到预环化等多个不同状态的结构,为环闭合过程提供了直接证据。此项研究阐明了一种亚胺催化的串联环化机制,拓展了NTF2类酶的已知催化功能,并凸显了亚胺基生物催化在天然产物生物合成中的应用潜力。
大环化是天然产物生物合成中至关重要的一步,它能增强分子的刚性和稳定性。尽管在I型聚酮合酶(PKS)中,硫酯酶介导的大环内酯化或大环内酰胺化是主要的机制,但在此我们报道了一种替代的大环化机制:核转运因子2(NTF2)样酶通过串联的立体选择性迈克尔加成和克脑文盖尔缩合反应,构建了一个四氢呋喃稠合的大环碳环。基因组挖掘鉴定出一个具有这种串联环化能力的NTF2样蛋白家族。与底物模拟物复合的X射线晶体结构以及基于结构的定点突变揭示,一个赖氨酸残基与末端醛基形成亚胺离子中间体以促进环化,而一个天冬氨酸则作为广义碱来介导质子转移。捕获了从线性前体到环化前等不同状态的结构,为环闭合过程提供了直接的见解。这项工作阐明了一种亚胺离子催化的串联环化机制,拓展了NTF2样酶已知的催化功能,并凸显了亚胺离子介导的生物催化在天然产物生物合成中的潜力。
大环化是将线性前体转化为环状产物的过程,在天然产物生物合成中是一种普遍采用的策略,它能增强结构多样性和刚性,最终有助于这些化合物的生物活性。虽然形成常见的五元或六元环相对简单,但构建大环(>12元)却因无环前体的构象柔性而带来了独特的挑战。为了克服这些挑战,自然界进化出了多种生物合成策略(补充图1)。其中一种突出的方法是硫酯酶介导的大环化,常见于大环内酯和大环内酰胺的生物合成中。细胞色素P450、Rieske加氧酶和自由基S-腺苷-L-甲硫氨酸酶在万古霉素、间环灵菌素和链肽等化合物的大环化过程中也发挥着重要作用。在羊毛硫肽的生物合成中,LanC或其同源物通过涉及半胱氨酸残基和脱氢氨基酸的迈克尔型加成形成硫醚交联。周环酶介导的大环化也见于硫肽和吡咯吲哚霉素类天然产物中。近期的发现揭示了大环化的新策略。例如,一种新发现的大环化酶AvmM通过串联的β-消除和迈克尔加成反应催化醇奇霉素A中16元大环的形成。此外,一种单胺氧化酶家族蛋白LkcE通过促进不寻常的酰胺氧化,随后进行分子内曼尼希反应,从而在抗生素兰卡辛的生物合成中形成聚酮大环。这些发现强调了大环化过程中所涉及的酶促机制的复杂性和多样性。
赤霉素(AKA, 1)和芒格罗霉素(MAN)是从链霉菌属NPS554和气生李氏杆菌NBRC 13195中分离得到的含有β-酮-δ-内酯单元的15元大环聚酮化合物。与细菌I型聚酮合酶(PKSs)产生的典型大环内酯不同,AKA和MAN是完全碳环的聚酮化合物,代表了一类独特的聚酮大环,并暗示了一种不同的环化机制。AKA和MAN的生物合成基因簇(BGCs)高度保守,均编码四个巨型I型PKS酶,且具有相同的模块和结构域组成。此外,两个基因簇都编码一套同源的修饰酶,包括两个P450酶(P1和P2)、一个核转运因子2(NTF2)样酶(M)、一个氧化还原酶(O1)以及负责合成稀有丙基丙二酰辅酶A(propylmalonyl-CoA)构件的酶(K, L, N),该构件也参与FK506的生物合成。生物信息学分析表明,这四个模块化的I型PKS最初合成了线性聚酮,其特征性的β-酮-δ-内酯单元作为新生产物存在。然而,末端甲基如何与远端的β-酮-δ-内酯单元偶联形成完全碳环的环状结构,其确切机制尚不清楚。鉴于有可能揭示天然产物生物合成中独特的酶促大环化机制,我们着手研究了AKA的生物合成途径。
图1:AKA(1)的生物合成。a,链霉菌属NPS554的AKA生物合成基因簇及其在气生李氏杆菌NBRC 13195中的同源基因簇MAN的基因组织结构。b,来自链霉菌属NPS554 (1)、S. albus/pHG8301 (2)、突变株(3–5)和S. albus J1074 (6)的代谢提取物的HPLC分析。c,回补株代谢提取物的HPLC分析。d,本研究中提出的1和MAN的生物合成途径。主途径以阴影背景突出显示。1的绝对立体化学先前已通过X射线晶体学分析确定。
图2:AKA和MAN的大环化过程。a,由AkaP1/ManP1和AkaM/ManM催化的连续氧化和环化过程。b,AkaP1或ManP1催化反应的HPLC分析:(1) 2, 3, 4/4a, 5a和5b标准品;(2,3) 使用2为底物的AkaP1和ManP1体外酶促反应;(4) 2在无酶缓冲液中。c,AkaM或ManM催化的大环化反应的HPLC分析:(1) 5a和7a标准品;(2,3) 使用5a为底物的AkaM和ManM体外酶促反应;(4) 5a在无酶缓冲液中。d,AkaM或ManM催化的大环化反应的HPLC分析:(1) 5b和7b标准品;(2,3) 使用5b为底物的AkaM和ManM体外酶促反应;(4) 5b在无酶缓冲液中。e,AkaM或ManM催化的串联环化反应的HPLC分析:(1) 2, 3, 4, 5a, 5b, 7a和8标准品;(2) 使用2为底物的AkaP1和AkaM体外一锅法酶促反应;(3,4) 使用4的粗提物为底物的AkaM或ManM体外酶促反应;(5) 4的粗提物在无酶缓冲液中。
图3:CatM–6b和CatM–W86A–6a的晶体结构。a,CatM与底物模拟物6b复合物形式的卡通表示。b,CatM活性位点与6b共晶结构的活性位点特写视图。6b的polder(省略)电子密度图(等值面为3.0σ)以灰色网格显示。c,CatM–W86A与底物模拟物6a复合物形式的卡通表示。d,CatM–W86A活性位点与6a共晶结构的活性位点特写视图。6a的polder(省略)电子密度图(等值面为3.0σ)以灰色网格显示。e,CatM及其位点特异性突变体在酶促反应中的相对活性。n=3次生物学独立实验;数据以平均值±标准差表示,误差线代表标准差。所有活性均排除了非酶促值,由实验误差引起的负相对活性值定义为零。残基编号遵循CatM的序列。
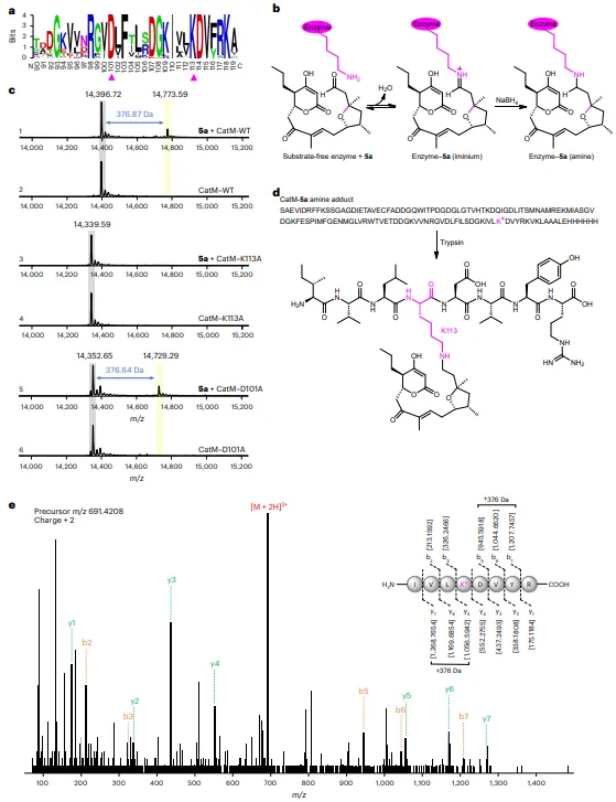
图4:大环化反应中涉及的亚胺离子催化。a,聚酮相关NTF2样蛋白C端序列的WebLogo图。保守的催化残基用洋红色三角形标出。b,亚胺离子中间体捕获过程。c,与5a孵育并经NaBH4处理后的CatM及其变体(K113A和D101A)以及无底物蛋白的质谱分析。d,通过胰蛋白酶消化获得的CatM–5a胺加合物的跨越110–117残基的肽片段。洋红色突出显示的K*对应于通过还原胺化与醛5a连接的赖氨酸残基(+376 Da)。e,八肽片段的LC–MS/MS碎裂图谱。谱图中标记并列于扩展数据表1中的前体离子、b离子和y离子。残基编号遵循CatM的序列。
图5: 配体捕获的构象及CatM的拟议反应机制。a,SacM中捕获的3呈线性伸展构象。b,SacM中捕获的6b显示四氢呋喃环的形成缩短了成键距离。c,CatM中捕获的6b显示了亚胺离子形成的推定构象。d,CatM–W86A中捕获的6a显示了推定的环化前构象。e,CatM的拟议机制。残基编号遵循CatM的序列。a–d中的酶图像使用Pymol根据PDB结构9IQK、9IQL、9IQM和9IQN制作。
综上,作者揭示了核转运因子2(NTF2)样酶在天然产物生物合成中一种前所未有的大环化功能。
研究人员以15元碳环聚酮化合物赤霉素(AKA)和芒格罗霉素(MAN)为研究对象,阐明了一条不依赖于经典硫酯酶的大环化新途径。
该途径始于细胞色素P450酶AkaP1/ManP1将线性聚酮前体的末端甲基氧化为醛基;随后,NTF2样酶AkaM/ManM通过一个精巧的串联反应催化大环骨架的形成:首先进行立体选择性的迈克尔加成构建四氢呋喃环,紧接着通过克脑文盖尔缩合完成大环闭合。
通过X射线晶体学捕获了从底物结合、亚胺离子形成到环化前等不同状态的复合物结构,并结合定点突变和生化实验,证实了赖氨酸残基通过与底物醛基形成亚胺离子中间体来活化底物,而天冬氨酸则作为广义碱介导关键的质子转移步骤。
这种亚胺离子催化机制不仅解释了反应的高立体选择性和高效性,也极大地拓展了NTF2样酶家族已知的催化功能范畴。
基因组挖掘进一步表明,这类具有大环化能力的NTF2样酶在自然界中广泛存在,且常与I型聚酮合酶基因簇共定位,暗示这种“末端甲基氧化-亚胺离子催化大环化”策略可能是构建复杂大环聚酮的一种普遍模式。
Structural and mechanistic insights into iminium-catalysed macrocyclization by nuclear transport factor 2-like enzymes, Nat. Synth., (2026). https://doi.org/10.1038/s44160-025-00989-z.
#南京大学#戈惠明#张博#亚胺离子催化#芒格罗霉素#AKA
