


论文摘要
关键图表

图 1.研究区位置示意图。涵盖中国长江中下游地区(MLRYR)及亚洲三座城市。长江中下游地区的 7 个省(或直辖市)用于算法开发与评估,中国绥化、日本酒田、越南安江及巴基斯坦旁遮普的 1-4 号测试区则用于评估 PHAROS 方法的空间通用性。




图 5.基于时间序列归一化植被指数(NDVI)影像与物候知识的夏粮种植强度检测示意图。

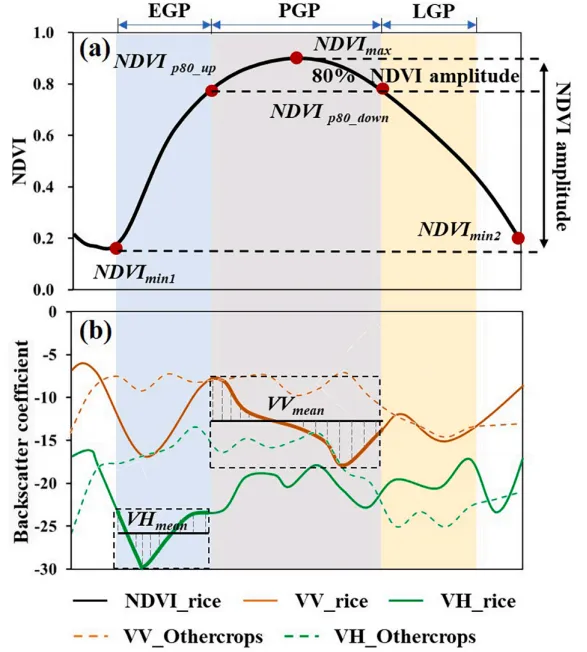
图 6. 水稻与其他同期夏粮的 10 天步长归一化植被指数(NDVI)、VH 极化和 VV 极化特征时间序列曲线。水稻包括单季稻和双季稻,种植方式涵盖移栽、水直播和旱直播;第 1 列为冬夏轮作体系下夏粮的时间序列曲线,第 2 列为单季夏粮(冬季休耕)的对应指标,第 3 列为双季夏粮(即双季稻、第一季其他夏粮 + 第二季水稻)的时间序列特征。(EGP:生育初期;PGP:生育盛期;LGP:生育后期)。

图 7.双时相合成孔径雷达指数(DPSI)构建示意图。(a)为用于确定生育初期(EGP)和生育盛期(PGP)时间窗口的水稻归一化植被指数(NDVI)时间序列曲线;(b)展示水稻与其他作物在生育初期和生育盛期的 VV 极化、VH 极化时间序列差异。注:EGP = 生育初期,PGP = 生育盛期。

图 8.基于 2022-2023 年实地调查样本的早稻、晚稻、中稻及其他作物的 VH 极化均。(a、d)、VV 极化均值(b、e)和双时相合成孔径雷达指数(DPSI)(c、f)直方图。

图 9.2022 年中国长江中下游地区夏粮种植强度图。(b)和(c)为(a)中标注的两个子区域放大图;(d)和(e)分别对应(b)和(c)在年序第 207 天的哨兵 2 号(Sentinel-2)假彩色合成影像(近红外 - 红光 - 绿光)。

图 10.2019-2023 年长江中下游地区 10 米分辨率单季稻与双季稻空间分布图。(a)-(e)为连续五年的区域产品;(f)为五年水稻种植频率图;(g)-(j)为(a)中标注的四个子区域放大图。单季稻(SCR)区域空间细节图的背景为生育盛期哨兵 1 号(Sentinel-1)VV 极化影像,单季稻与双季稻(DCR)混合区域的背景为晚稻生育初期哨兵 2 号假彩色合成影像(近红外 - 红光 - 绿光)。

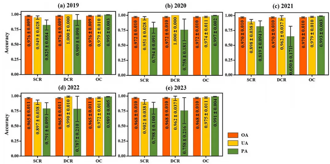
图 11.基于长江中下游地区目视解译样本的 2019-2023 年水稻制图精度。注:SCR、DCR、OC 分别代表单季稻、双季稻和其他地物;三类地物中重复列出总体精度(OA)仅供对比使用。

图 12.本研究生成的 2022 年水稻地图产品与现有水稻产品(DSCR-CN)的差异对比。(b)-(f)为(a)中标注子区域的差异图放大图;(g)-(k)和(l)-(p)分别对应(b)-(f)的本研究结果与 DSCR-CN 产品结果。SCR:单季稻,DCR:双季稻,NR:非水稻;DCR-NR 表示本研究分类为双季稻但 DSCR-CN 分类为非水稻的像元,NR-DCR 则相反;DCR-SCR/SCR-NR 包含两类情况:本研究分类为双季稻但 DSCR-CN 分类为单季稻的像元、本研究分类为单季稻但 DSCR-CN 分类为非水稻的像元,SCR-DCR/NR-SCR 则相反;SCR-SCR/DCR-DCR 表示两类产品中均分类为单季稻或双季稻的像元。

图 13.中国遂宁(第 1 行)、如皋(第 2 行)、监利(第 3 行)、湘阴(第 4 行)、余干(第 5 行)选定子区域的水稻地图对比。包括 SPRI 方法(第 2 列)、Rice-Sentinel 方法(第 3 列)、POSTAR 方法(第 4 列)与本研究方法(第 5 列)的结果。第 1-3 行的底图为单季稻生育盛期哨兵 1 号 VV 极化中值合成影像,第 4-5 行的底图为双季稻 “双抢” 时期哨兵 2 号中值合成假彩色影像。

图 14.现有水稻产品与本研究方法生成的水稻地图对比。(a)(c)(e)为现有产品,(b)(d)(f)(h)为本研究结果,对应 1 号测试区(a)(b)、2 号测试区(c)(d)、3 号测试区(e)(f)和 4 号测试区(g)(h)。a1、a2 为(a)中标注的两个子区域水稻图,b1-h2 分别为(b)-(h)的对应子区域结果。注:4 号测试区无高质量参考水稻产品。SCR:单季稻;DCR:双季稻;TCR:三季稻。

图 15.2022-2023 年基于迁移随机森林(RF)模型的不同时间步长早稻、中稻、晚稻分类精度。浅蓝色填充矩形代表水稻制图的最早时间节点,黑色虚线表示饱和精度。
版权声明
更多阅读

2026寒假培训 | Google Earth Engine(GEE)遥感+AI大模型科研实战特训教学
2026-01-31

ISPRS最新成果|南京大学杜培军团队重磅突破!WSPE弱监督框架融合SAM2+TabPFN,大规模农业地块提取效率翻倍
2026-01-30

ISPRS最新成果|武汉大学田丰团队揭示:基于红-近红外的植被指数敏感性差异影响长期趋势
2026-01-29
