
背景介绍
基于酶的免疫传感器凭借抗原-抗体识别和酶催化介导的信号转导机制,在疾病诊断、食品安全及环境科学等领域具有广泛的应用。然而,酶自身的结构不稳定性及催化效率不足等问题常常影响检测的可靠性与灵敏度,尤其在超痕量分析检测中表现更为突出。为提高酶的稳定性和可重复使用性,固定化策略被广泛采用,其中共价有机框架(COFs)因其可调控的孔道结构、优异的化学稳定性及功能可定制性成为酶固定化的理想载体。但传统物理吸附易导致酶失活,而COFs壳层的扩散阻力也会限制底物运输,降低催化效率。近年来,通过缺陷工程调控材料结构以优化其性能的策略在多个领域取得显著进展。在此基础上,南京大学李根喜教授团队通过缺陷工程策略精确调控COFs与酶之间的相互作用,进而优化酶的固定化构象及催化活性,为构建高性能酶基免疫传感器提供了富有前景的新途径。
成果简介
研究团队首先提出了一种缺陷工程策略,他们通过在COFs合成过程中引入单醛基配体,实现对结构缺陷的精确调控,从而有效调节封装辣根过氧化物酶(HRP)的微环境及其构象。研究结果表明,在相同酶负载量下,缺陷型HRP@COFs相比无缺陷材料负载的HRP表现出更高的酶活性。进一步的结构表征揭示,催化活性的增强源于缺陷型COFs孔道内空间限域作用与酶分子精细构象的协同调控。随后,研究团队利用最佳催化性能的缺陷型HRP@COFs,开发了一种高灵敏、高特异性的免疫传感器用于前列腺癌特异性抗原(PSA)的检测。结果表明,该传感器展现出极低的检测限及优异的抗干扰能力,能够准确区分临床血清样本中的前列腺癌患者与健康个体。本研究的优势主要体现在三个方面:首先,在温和条件下实现了酶的原位封装,显著减少酶活性损失;其次,缺陷工程策略可同时调控COFs结构与酶催化活性,为酶固定化技术提供了新思路;最后,所构建的免疫传感器为超灵敏生物传感及前列腺癌早期诊断提供了一个具有潜力的检测手段。
图文导读

方案图 构建缺陷型共价有机框架以增强酶活性的示意图及其在构建检测PSA免疫传感器中的应用示例。

图1 (a)HRP@COFs和HRP@DeCOFs-n原位合成示意图。(b)HRP@COFs,(c)HRP@DeCOFs-1,(d)HRP@DeCOFs-2,(e)HRP@DeCOFs-3,(f)HRP@DeCOFs-4,(g)HRP@DeCOFs-5的扫描电子显微镜图像。(h)HRP@DeCOFs-3的透射电子显微镜图像。(i)HRP@COFs和HRP@DeCOFs-n的傅里叶变换红外光谱图。

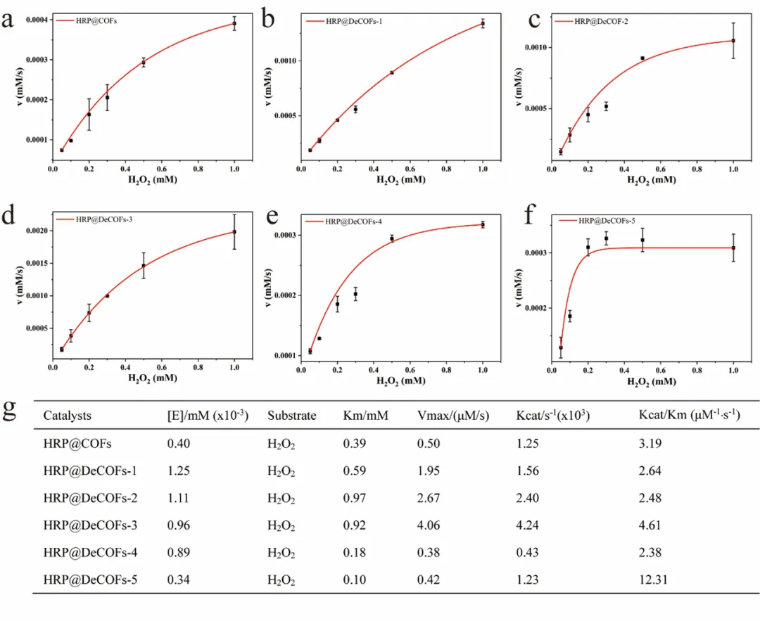
图2 反应速率(v)与底物H₂O₂的关系图,分别对应于(a)HRP@COFs、(b)HRP@DeCOFs-1、(c)HRP@DeCOFs-2、(d)HRP@DeCOFs-3、(e)HRP@DeCOFs-4、(f)HRP@DeCOFs-5以及(g)相应的催化动力学参数。

图3 (a)等量HRP的催化动力学曲线。(b)在等量HRP条件下不同缺陷型COFs的催化活性对比。

图4 (a)HRP@COFs和(b)HRP@DeCOFs-3的二级结构分析(黄色:平行β-折叠;绿色:无规卷曲;紫色:α-螺旋;灰色:β-转角;蓝色:反平行β-折叠)在1600 - 1700 cm-1波段的傅里叶变换红外光谱图。(c)HRP、HRP@COFs和HRP@DeCOFs-3的圆二色谱光谱图。(d)HRP、HRP@COFs和HRP@DeCOFs-3在77 K条件下的EPR光谱图。

图5 (a)基于HRP@DeCOFs-3的PSA检测示意图。(b)有无靶标存在时的颜色变化。(c)有无靶标存在时的紫外-可见吸收光谱。(d)、(e)及(f)分别是HRP@DeCOFs-3浓度、检测抗体孵育时间及IgG - HRP@DeCOFs-3孵育时间对PSA检测的影响。

图6 (a)基于HRP@DeCOFs-3的免疫传感对不同浓度的PSA(0、0.485、0.97、1.94、3.88、4.85、9.7、19.4、48.5、97 和 194 ng/mL)的吸光度测定结果。(b)使用各种干扰物质时的吸光度值。(c)来自14名前列腺癌患者和14名健康捐赠者的血清样本中PSA检测的吸光度值。(d)对临床患者样本和健康样本的吸光度强度的散点图(***,p < 0.001)。
作者简介
李根喜:南京大学生命科学学院教授,上海大学生命科学学院兼职教授,博士生导师,国家杰出青年科学基金获得者。先后担任中国生物物理学会第九、十、十一届理事会理事、中国生物化学与分子生物学会第十、十一、十二届理事会理事、蛋白质专业委员会首届副秘书长、第二届副主任兼秘书长;《Biosensors and Bioelectronics》副主编以及国内外多家学术刊物的编委。主要研究方向为基于生物传感的生化分析新方法研究及临床医学检验应用。
课题组网站链接:https://genxililab.nju.edu.cn
文章信息
Zhou T, Deng Y, Sun Y, et al. Engineering covalent organic frameworks with defect for high-performance immunosensor. Nano Research, 2026, 19(1): 94908061. https://doi.org/10.26599/NR.2025.94908061

识别二维码或点击左下角“阅读原文”可访问全文
关注B站、视频号、官网,获取更多精彩!

B站

视频号

官网