当前位置:首页>南京>IF10.1!南京大学医学院用GBD斩获高分期刊!简单易复刻!

IF10.1!南京大学医学院用GBD斩获高分期刊!简单易复刻!

  • 2026-05-18 10:40:20
IF10.1!南京大学医学院用GBD斩获高分期刊!简单易复刻!
引言

📘吸烟是全球公认的致癌高危因素,其与消化系癌症的关联早已被证实,而吸烟究竟给全球消化系癌症带来了多大的疾病负担,不同地区、人群的差异又如何?这一问题始终是公共卫生防控的关键。苏北人民医院/南京大学医学院的孟丽姿团队联合王道荣教授课题组,在国际外科领域权威期刊《International Journal of Surgery》发表了一项基于GBD 2021的重磅研究,系统剖析了1990-2021年204个国家和地区吸烟归因性消化系癌症的疾病负担特征。该研究填补了长时序、广覆盖的吸烟归因消化系癌症负担研究空白,其结论为全球及各地区制定差异化控烟政策、精准防控消化系癌症提供了关键的循证依据,也为破解吸烟相关的公共卫生难题指明了方向。

☝欢迎关注生信速通后台咨询

如果你想用GBD发文,生信原点为您提供服务!

文献详解

研究意义:

基于最新 GBD2021 数据,更新了 1990-2021 年吸烟归因消化系癌症的全球流行病学基线,填补了该领域长时序、广覆盖的多维度分析空白,丰富了烟草致癌的流行病学研究证据。精准定位高负担国家 / 区域及核心影响因素,为全球及各地区制定差异化控烟政策和消化系癌症防控策略提供了循证依据,也为低 / 中收入国家将控烟纳入慢性病防控体系提供参考。明确吸烟对消化系癌症的归因贡献及高危人群 / 癌种,为开展靶向性的癌症筛查、健康宣教提供方向;同时指出疫情、共病等控烟与防控的关键挑战,为后续研究和干预工作划定重点。

研究方法

Ⅰ.数据来源

  • 核心数据提取自GBD 2021 全球疾病负担研究数据库,覆盖 204 个国家 / 地区、5 类吸烟相关消化系癌症。

  • 从 GBD 公开工具中提取死亡率、伤残调整寿命年等指标,按 ICD-10 国际疾病分类标准对癌症进行编码界定,同时获取各指标的 95% 不确定区间。

Ⅱ.数据处理与建模

  • 采用 GBD 已验证的贝叶斯模型处理数据,利用相似区域的先验分布补充数据稀疏地区的估计值,提升结果合理性。

  • 通过分层随机效应处理跨区域数据的异质性,兼顾区域间共性与地区特异性;同时通过后验分布量化参数估计的不确定性,数据波动大的区域会标注更高的结果不确定性。

Ⅲ.统计分析

  • 标准化处理:采用 GBD 世界标准人口进行年龄标准化,计算年龄标准化死亡率、年龄标准化 DALY 率,实现不同地区、不同时间的公平比较。

  • 趋势分析:对年龄标准化率取自然对数后拟合线性回归模型,计算EAPC 年度百分比变化,判断 1990-2021 年指标的时间变化趋势。

  • 分层分析:按性别、地区、年龄组进行亚组分层,分析吸烟相关消化系癌症负担的人群、地域差异;计算人群归因分值,评估吸烟对消化系癌症死亡的归因贡献。

  • 工具与检验:使用 R 软件 4.3.3 完成所有统计分析和数据可视化,采用双侧检验,P<0.05 为差异具有统计学意义。

研究结果

Ⅰ.全球层面:标化率下降,绝对死亡 / 伤残调整寿命年攀升

  • 绝对负担持续增加:1990-2021 年,全球 SADC 死亡数从 347533 例升至 486225 例,DALYs 从 944 万增至 1181 万;2021 年全球 SADC 的人群归因分值为 13.8%,即 13.8% 的消化系癌症死亡可归因于吸烟。

  • 标化率呈下降趋势:年龄标准化死亡率从 8.8/10 万降至 5.6/10 万,年度百分比变化;年龄标准化 DALY 率从 228.5/10 万降至 134.7/10 万。

  • 癌症亚型特征:2021 年食管癌是 SADC 中 PAF 最高、死亡数最多的亚型,其次为胃癌、胰腺癌、肝癌、结直肠癌;且 1990-2021 年胰腺癌负担持续上升,其 DALYs 占比超过肝癌和结直肠癌;食管、胃癌始终是 SADC 绝对 DALYs 的主要贡献者,二者标化率均呈显著下降趋势。

图1:按癌症亚型分层的吸烟归因性消化系癌症全球疾病负担趋势

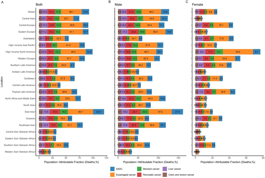
Ⅱ.区域层面:东亚负担居首,各区域亚型特征一致

  • 负担分布极度不均:2021 年东亚是全球 SADC 负担最高的区域,死亡率、DALYs、ASMR、ASDR均为全球峰值;高收入北美、西欧、高收入亚太也为高负担区域,2021 年 SADC 死亡数均超 2 万、DALYs 均超 50 万;大洋洲、中撒哈拉非洲为绝对死亡数 / DALYs 最低区域,西撒哈拉非洲 ASMR 和 ASDR 全球最低。

  • 亚型与趋势共性:所有区域均表现为食管癌 PAF 最高,胰腺癌次之,其中东亚、高收入北美、高收入亚太、东欧的食管癌 PAF 超 40%;几乎所有区域的 SADC 绝对死亡数和 DALYs 均呈上升趋势,而 ASDR 均有不同程度下降;各区域死亡数贡献均以食管癌、胃癌为主,与全球趋势一致。

图1:按癌症亚型和地区划分的人群归因分值

图3:1990-2021 年吸烟归因性消化系癌症的区域疾病负担趋势

Ⅲ.国家层面:中蒙为核心高负担国,多数国家标化率下降

  • 高负担国特征:2021 年中国、美国、日本的全年龄 SADC 死亡数位列全球前三,中国是全球 SADC 死亡数和 DALYs绝对数最高的国家;蒙古的 ASMR和 ASDR全球最高,且二者均呈上升趋势。

  • 整体变化趋势:168 个国家 SADC 死亡数上升,52 个国家翻倍;162 个国家 DALYs 上升,51 个国家翻倍;186 个国家 ASMR 下降,土库曼斯坦降幅最大,莱索托增幅最大;185 个国家 ASDR 下降,韩国降幅最大,莱索托仍为增幅最大。

  • 亚型一致:所有国家的 SADC 死亡和 DALYs 均以食管、胃癌为主要贡献亚型,亚型负担分布无显著国别差异。

图4:1990-2021 年吸烟归因性消化系癌症的国家疾病负担趋势

Ⅳ.性别与年龄层面:男性负担远高于女性,负担向老年群体转移

🔎性别差异:男性为绝对高危人群

  • 2021 年男性 SADC 负担在各指标上均显著高于女性,且所有癌症亚型均呈现此特征:

  • 死亡数、DALYs均相差近 10 倍;

  • ASMR、ASDR差距显著;

  • PAF,即吸烟对男性消化系癌症死亡的归因贡献远高于女性。

🔎年龄差异:负担随年龄升高,向老年群体转移

  • 2021 年年龄分布:SADC 负担随年龄增长整体升高,85-89 岁年龄组死亡率达峰值,70-74 岁年龄组 DALY 率达峰值;55-79 岁是绝对死亡数和 DALYs 最高的年龄组,其中 65-69 岁达峰值。

  • 1990-2021 年趋势:全球 SADC 死亡负担发生流行病学转移,从 <55 岁的年轻群体逐渐向> 75 岁的老年群体转移,且 55-79 岁始终是 SADC 死亡数的主要贡献群体。

图5:基于性别和年龄组的吸烟归因性消化系癌症全球死亡数及伤残调整寿命年趋势

文章小结

本研究基于GBD 2021数据,开展了1990-2021年204个国家和地区食管、胃等5类吸烟归因性消化系癌症的负担分析,通过测算死亡率、伤残调整寿命年等指标,结合年龄标准化率、年度百分比变化等方法,探究了SADC的时空分布及人群差异特征。研究发现,全球SADC绝对死亡数和DALYs呈明显上升趋势,年龄标准化死亡率和DALYs率则持续下降;食管癌是SADC中人群归因分值最高、死亡数最多的亚型,东亚为全球SADC负担最高区域,中国和蒙古分别为绝对负担、年龄标准化率最高的国家,且蒙古相关标化率呈上升趋势。同时,SADC负担存在显著的性别和年龄差异,男性负担远高于女性,疾病负担从低龄群体逐渐向75岁以上老年群体转移。研究证实,吸烟是消化系癌症的重要危险因素,尽管全球控烟取得一定成效,但SADC负担仍显著且区域差异突出。未来需强化控烟政策的实施与执行,提升公众对吸烟致消化系癌症风险的认知,并结合不同区域、人群的特征制定靶向干预措施,以此降低SADC的疾病负担。

专注于用GBD数据做分析,您也想复现这篇文章的思路的话,生信速通会是您最好的帮手!

往期推荐:

IF10.6!河北医科大学团队靠 “NHANES + 常规统计”斩获双一区TOP!轻松复现!

IF25.2!GBD 2021 用于机器学习斩获《柳叶刀》子刊!揭秘东盟 1.37 亿烟民真相!

IF10.6!温州医科大学联合中南湘雅医院用NHANES+机器学习斩获一区TOP!思路简单快来学!

想看哪方面文章可在评论区留言,每天分享高分文章、高分技巧,解析文章思路和研究方法,记得关注以防走失哦!

最新文章

随机文章

基本 文件 流程 错误 SQL 调试
  1. 请求信息 : 2026-05-27 13:46:33 HTTP/2.0 GET : https://b.460.net.cn/a/483368.html
  2. 运行时间 : 0.204754s [ 吞吐率:4.88req/s ] 内存消耗:4,469.52kb 文件加载:140
  3. 缓存信息 : 0 reads,0 writes
  4. 会话信息 : SESSION_ID=a25a19f8225e7f935125b32bc4f7544f
  1. /yingpanguazai/ssd/ssd1/www/b.460.net.cn/public/index.php ( 0.79 KB )
  2. /yingpanguazai/ssd/ssd1/www/b.460.net.cn/vendor/autoload.php ( 0.17 KB )
  3. /yingpanguazai/ssd/ssd1/www/b.460.net.cn/vendor/composer/autoload_real.php ( 2.49 KB )
  4. /yingpanguazai/ssd/ssd1/www/b.460.net.cn/vendor/composer/platform_check.php ( 0.90 KB )
  5. /yingpanguazai/ssd/ssd1/www/b.460.net.cn/vendor/composer/ClassLoader.php ( 14.03 KB )
  6. /yingpanguazai/ssd/ssd1/www/b.460.net.cn/vendor/composer/autoload_static.php ( 4.90 KB )
  7. /yingpanguazai/ssd/ssd1/www/b.460.net.cn/vendor/topthink/think-helper/src/helper.php ( 8.34 KB )
  8. /yingpanguazai/ssd/ssd1/www/b.460.net.cn/vendor/topthink/think-validate/src/helper.php ( 2.19 KB )
  9. /yingpanguazai/ssd/ssd1/www/b.460.net.cn/vendor/topthink/think-orm/src/helper.php ( 1.47 KB )
  10. /yingpanguazai/ssd/ssd1/www/b.460.net.cn/vendor/topthink/think-orm/stubs/load_stubs.php ( 0.16 KB )
  11. /yingpanguazai/ssd/ssd1/www/b.460.net.cn/vendor/topthink/framework/src/think/Exception.php ( 1.69 KB )
  12. /yingpanguazai/ssd/ssd1/www/b.460.net.cn/vendor/topthink/think-container/src/Facade.php ( 2.71 KB )
  13. /yingpanguazai/ssd/ssd1/www/b.460.net.cn/vendor/symfony/deprecation-contracts/function.php ( 0.99 KB )
  14. /yingpanguazai/ssd/ssd1/www/b.460.net.cn/vendor/symfony/polyfill-mbstring/bootstrap.php ( 8.26 KB )
  15. /yingpanguazai/ssd/ssd1/www/b.460.net.cn/vendor/symfony/polyfill-mbstring/bootstrap80.php ( 9.78 KB )
  16. /yingpanguazai/ssd/ssd1/www/b.460.net.cn/vendor/symfony/var-dumper/Resources/functions/dump.php ( 1.49 KB )
  17. /yingpanguazai/ssd/ssd1/www/b.460.net.cn/vendor/topthink/think-dumper/src/helper.php ( 0.18 KB )
  18. /yingpanguazai/ssd/ssd1/www/b.460.net.cn/vendor/symfony/var-dumper/VarDumper.php ( 4.30 KB )
  19. /yingpanguazai/ssd/ssd1/www/b.460.net.cn/vendor/topthink/framework/src/think/App.php ( 15.30 KB )
  20. /yingpanguazai/ssd/ssd1/www/b.460.net.cn/vendor/topthink/think-container/src/Container.php ( 15.76 KB )
  21. /yingpanguazai/ssd/ssd1/www/b.460.net.cn/vendor/psr/container/src/ContainerInterface.php ( 1.02 KB )
  22. /yingpanguazai/ssd/ssd1/www/b.460.net.cn/app/provider.php ( 0.19 KB )
  23. /yingpanguazai/ssd/ssd1/www/b.460.net.cn/vendor/topthink/framework/src/think/Http.php ( 6.04 KB )
  24. /yingpanguazai/ssd/ssd1/www/b.460.net.cn/vendor/topthink/think-helper/src/helper/Str.php ( 7.29 KB )
  25. /yingpanguazai/ssd/ssd1/www/b.460.net.cn/vendor/topthink/framework/src/think/Env.php ( 4.68 KB )
  26. /yingpanguazai/ssd/ssd1/www/b.460.net.cn/app/common.php ( 0.03 KB )
  27. /yingpanguazai/ssd/ssd1/www/b.460.net.cn/vendor/topthink/framework/src/helper.php ( 18.78 KB )
  28. /yingpanguazai/ssd/ssd1/www/b.460.net.cn/vendor/topthink/framework/src/think/Config.php ( 5.54 KB )
  29. /yingpanguazai/ssd/ssd1/www/b.460.net.cn/config/app.php ( 0.95 KB )
  30. /yingpanguazai/ssd/ssd1/www/b.460.net.cn/config/cache.php ( 0.78 KB )
  31. /yingpanguazai/ssd/ssd1/www/b.460.net.cn/config/console.php ( 0.23 KB )
  32. /yingpanguazai/ssd/ssd1/www/b.460.net.cn/config/cookie.php ( 0.56 KB )
  33. /yingpanguazai/ssd/ssd1/www/b.460.net.cn/config/database.php ( 2.47 KB )
  34. /yingpanguazai/ssd/ssd1/www/b.460.net.cn/vendor/topthink/framework/src/think/facade/Env.php ( 1.67 KB )
  35. /yingpanguazai/ssd/ssd1/www/b.460.net.cn/config/filesystem.php ( 0.61 KB )
  36. /yingpanguazai/ssd/ssd1/www/b.460.net.cn/config/lang.php ( 0.91 KB )
  37. /yingpanguazai/ssd/ssd1/www/b.460.net.cn/config/log.php ( 1.35 KB )
  38. /yingpanguazai/ssd/ssd1/www/b.460.net.cn/config/middleware.php ( 0.19 KB )
  39. /yingpanguazai/ssd/ssd1/www/b.460.net.cn/config/route.php ( 1.89 KB )
  40. /yingpanguazai/ssd/ssd1/www/b.460.net.cn/config/session.php ( 0.57 KB )
  41. /yingpanguazai/ssd/ssd1/www/b.460.net.cn/config/trace.php ( 0.34 KB )
  42. /yingpanguazai/ssd/ssd1/www/b.460.net.cn/config/view.php ( 0.82 KB )
  43. /yingpanguazai/ssd/ssd1/www/b.460.net.cn/app/event.php ( 0.25 KB )
  44. /yingpanguazai/ssd/ssd1/www/b.460.net.cn/vendor/topthink/framework/src/think/Event.php ( 7.67 KB )
  45. /yingpanguazai/ssd/ssd1/www/b.460.net.cn/app/service.php ( 0.13 KB )
  46. /yingpanguazai/ssd/ssd1/www/b.460.net.cn/app/AppService.php ( 0.26 KB )
  47. /yingpanguazai/ssd/ssd1/www/b.460.net.cn/vendor/topthink/framework/src/think/Service.php ( 1.64 KB )
  48. /yingpanguazai/ssd/ssd1/www/b.460.net.cn/vendor/topthink/framework/src/think/Lang.php ( 7.35 KB )
  49. /yingpanguazai/ssd/ssd1/www/b.460.net.cn/vendor/topthink/framework/src/lang/zh-cn.php ( 13.70 KB )
  50. /yingpanguazai/ssd/ssd1/www/b.460.net.cn/vendor/topthink/framework/src/think/initializer/Error.php ( 3.31 KB )
  51. /yingpanguazai/ssd/ssd1/www/b.460.net.cn/vendor/topthink/framework/src/think/initializer/RegisterService.php ( 1.33 KB )
  52. /yingpanguazai/ssd/ssd1/www/b.460.net.cn/vendor/services.php ( 0.14 KB )
  53. /yingpanguazai/ssd/ssd1/www/b.460.net.cn/vendor/topthink/framework/src/think/service/PaginatorService.php ( 1.52 KB )
  54. /yingpanguazai/ssd/ssd1/www/b.460.net.cn/vendor/topthink/framework/src/think/service/ValidateService.php ( 0.99 KB )
  55. /yingpanguazai/ssd/ssd1/www/b.460.net.cn/vendor/topthink/framework/src/think/service/ModelService.php ( 2.04 KB )
  56. /yingpanguazai/ssd/ssd1/www/b.460.net.cn/vendor/topthink/think-trace/src/Service.php ( 0.77 KB )
  57. /yingpanguazai/ssd/ssd1/www/b.460.net.cn/vendor/topthink/framework/src/think/Middleware.php ( 6.72 KB )
  58. /yingpanguazai/ssd/ssd1/www/b.460.net.cn/vendor/topthink/framework/src/think/initializer/BootService.php ( 0.77 KB )
  59. /yingpanguazai/ssd/ssd1/www/b.460.net.cn/vendor/topthink/think-orm/src/Paginator.php ( 11.86 KB )
  60. /yingpanguazai/ssd/ssd1/www/b.460.net.cn/vendor/topthink/think-validate/src/Validate.php ( 63.20 KB )
  61. /yingpanguazai/ssd/ssd1/www/b.460.net.cn/vendor/topthink/think-orm/src/Model.php ( 23.55 KB )
  62. /yingpanguazai/ssd/ssd1/www/b.460.net.cn/vendor/topthink/think-orm/src/model/concern/Attribute.php ( 21.05 KB )
  63. /yingpanguazai/ssd/ssd1/www/b.460.net.cn/vendor/topthink/think-orm/src/model/concern/AutoWriteData.php ( 4.21 KB )
  64. /yingpanguazai/ssd/ssd1/www/b.460.net.cn/vendor/topthink/think-orm/src/model/concern/Conversion.php ( 6.44 KB )
  65. /yingpanguazai/ssd/ssd1/www/b.460.net.cn/vendor/topthink/think-orm/src/model/concern/DbConnect.php ( 5.16 KB )
  66. /yingpanguazai/ssd/ssd1/www/b.460.net.cn/vendor/topthink/think-orm/src/model/concern/ModelEvent.php ( 2.33 KB )
  67. /yingpanguazai/ssd/ssd1/www/b.460.net.cn/vendor/topthink/think-orm/src/model/concern/RelationShip.php ( 28.29 KB )
  68. /yingpanguazai/ssd/ssd1/www/b.460.net.cn/vendor/topthink/think-helper/src/contract/Arrayable.php ( 0.09 KB )
  69. /yingpanguazai/ssd/ssd1/www/b.460.net.cn/vendor/topthink/think-helper/src/contract/Jsonable.php ( 0.13 KB )
  70. /yingpanguazai/ssd/ssd1/www/b.460.net.cn/vendor/topthink/think-orm/src/model/contract/Modelable.php ( 0.09 KB )
  71. /yingpanguazai/ssd/ssd1/www/b.460.net.cn/vendor/topthink/framework/src/think/Db.php ( 2.88 KB )
  72. /yingpanguazai/ssd/ssd1/www/b.460.net.cn/vendor/topthink/think-orm/src/DbManager.php ( 8.52 KB )
  73. /yingpanguazai/ssd/ssd1/www/b.460.net.cn/vendor/topthink/framework/src/think/Log.php ( 6.28 KB )
  74. /yingpanguazai/ssd/ssd1/www/b.460.net.cn/vendor/topthink/framework/src/think/Manager.php ( 3.92 KB )
  75. /yingpanguazai/ssd/ssd1/www/b.460.net.cn/vendor/psr/log/src/LoggerTrait.php ( 2.69 KB )
  76. /yingpanguazai/ssd/ssd1/www/b.460.net.cn/vendor/psr/log/src/LoggerInterface.php ( 2.71 KB )
  77. /yingpanguazai/ssd/ssd1/www/b.460.net.cn/vendor/topthink/framework/src/think/Cache.php ( 4.92 KB )
  78. /yingpanguazai/ssd/ssd1/www/b.460.net.cn/vendor/psr/simple-cache/src/CacheInterface.php ( 4.71 KB )
  79. /yingpanguazai/ssd/ssd1/www/b.460.net.cn/vendor/topthink/think-helper/src/helper/Arr.php ( 16.63 KB )
  80. /yingpanguazai/ssd/ssd1/www/b.460.net.cn/vendor/topthink/framework/src/think/cache/driver/File.php ( 7.84 KB )
  81. /yingpanguazai/ssd/ssd1/www/b.460.net.cn/vendor/topthink/framework/src/think/cache/Driver.php ( 9.03 KB )
  82. /yingpanguazai/ssd/ssd1/www/b.460.net.cn/vendor/topthink/framework/src/think/contract/CacheHandlerInterface.php ( 1.99 KB )
  83. /yingpanguazai/ssd/ssd1/www/b.460.net.cn/app/Request.php ( 0.09 KB )
  84. /yingpanguazai/ssd/ssd1/www/b.460.net.cn/vendor/topthink/framework/src/think/Request.php ( 55.78 KB )
  85. /yingpanguazai/ssd/ssd1/www/b.460.net.cn/app/middleware.php ( 0.25 KB )
  86. /yingpanguazai/ssd/ssd1/www/b.460.net.cn/vendor/topthink/framework/src/think/Pipeline.php ( 2.61 KB )
  87. /yingpanguazai/ssd/ssd1/www/b.460.net.cn/vendor/topthink/think-trace/src/TraceDebug.php ( 3.40 KB )
  88. /yingpanguazai/ssd/ssd1/www/b.460.net.cn/vendor/topthink/framework/src/think/middleware/SessionInit.php ( 1.94 KB )
  89. /yingpanguazai/ssd/ssd1/www/b.460.net.cn/vendor/topthink/framework/src/think/Session.php ( 1.80 KB )
  90. /yingpanguazai/ssd/ssd1/www/b.460.net.cn/vendor/topthink/framework/src/think/session/driver/File.php ( 6.27 KB )
  91. /yingpanguazai/ssd/ssd1/www/b.460.net.cn/vendor/topthink/framework/src/think/contract/SessionHandlerInterface.php ( 0.87 KB )
  92. /yingpanguazai/ssd/ssd1/www/b.460.net.cn/vendor/topthink/framework/src/think/session/Store.php ( 7.12 KB )
  93. /yingpanguazai/ssd/ssd1/www/b.460.net.cn/vendor/topthink/framework/src/think/Route.php ( 23.73 KB )
  94. /yingpanguazai/ssd/ssd1/www/b.460.net.cn/vendor/topthink/framework/src/think/route/RuleName.php ( 5.75 KB )
  95. /yingpanguazai/ssd/ssd1/www/b.460.net.cn/vendor/topthink/framework/src/think/route/Domain.php ( 2.53 KB )
  96. /yingpanguazai/ssd/ssd1/www/b.460.net.cn/vendor/topthink/framework/src/think/route/RuleGroup.php ( 22.43 KB )
  97. /yingpanguazai/ssd/ssd1/www/b.460.net.cn/vendor/topthink/framework/src/think/route/Rule.php ( 26.95 KB )
  98. /yingpanguazai/ssd/ssd1/www/b.460.net.cn/vendor/topthink/framework/src/think/route/RuleItem.php ( 9.78 KB )
  99. /yingpanguazai/ssd/ssd1/www/b.460.net.cn/route/app.php ( 1.72 KB )
  100. /yingpanguazai/ssd/ssd1/www/b.460.net.cn/vendor/topthink/framework/src/think/facade/Route.php ( 4.70 KB )
  101. /yingpanguazai/ssd/ssd1/www/b.460.net.cn/vendor/topthink/framework/src/think/route/dispatch/Controller.php ( 4.74 KB )
  102. /yingpanguazai/ssd/ssd1/www/b.460.net.cn/vendor/topthink/framework/src/think/route/Dispatch.php ( 10.44 KB )
  103. /yingpanguazai/ssd/ssd1/www/b.460.net.cn/app/controller/Index.php ( 4.81 KB )
  104. /yingpanguazai/ssd/ssd1/www/b.460.net.cn/app/BaseController.php ( 2.05 KB )
  105. /yingpanguazai/ssd/ssd1/www/b.460.net.cn/vendor/topthink/think-orm/src/facade/Db.php ( 0.93 KB )
  106. /yingpanguazai/ssd/ssd1/www/b.460.net.cn/vendor/topthink/think-orm/src/db/connector/Mysql.php ( 5.44 KB )
  107. /yingpanguazai/ssd/ssd1/www/b.460.net.cn/vendor/topthink/think-orm/src/db/PDOConnection.php ( 52.47 KB )
  108. /yingpanguazai/ssd/ssd1/www/b.460.net.cn/vendor/topthink/think-orm/src/db/Connection.php ( 8.39 KB )
  109. /yingpanguazai/ssd/ssd1/www/b.460.net.cn/vendor/topthink/think-orm/src/db/ConnectionInterface.php ( 4.57 KB )
  110. /yingpanguazai/ssd/ssd1/www/b.460.net.cn/vendor/topthink/think-orm/src/db/builder/Mysql.php ( 16.58 KB )
  111. /yingpanguazai/ssd/ssd1/www/b.460.net.cn/vendor/topthink/think-orm/src/db/Builder.php ( 24.06 KB )
  112. /yingpanguazai/ssd/ssd1/www/b.460.net.cn/vendor/topthink/think-orm/src/db/BaseBuilder.php ( 27.50 KB )
  113. /yingpanguazai/ssd/ssd1/www/b.460.net.cn/vendor/topthink/think-orm/src/db/Query.php ( 15.71 KB )
  114. /yingpanguazai/ssd/ssd1/www/b.460.net.cn/vendor/topthink/think-orm/src/db/BaseQuery.php ( 45.13 KB )
  115. /yingpanguazai/ssd/ssd1/www/b.460.net.cn/vendor/topthink/think-orm/src/db/concern/TimeFieldQuery.php ( 7.43 KB )
  116. /yingpanguazai/ssd/ssd1/www/b.460.net.cn/vendor/topthink/think-orm/src/db/concern/AggregateQuery.php ( 3.26 KB )
  117. /yingpanguazai/ssd/ssd1/www/b.460.net.cn/vendor/topthink/think-orm/src/db/concern/ModelRelationQuery.php ( 20.07 KB )
  118. /yingpanguazai/ssd/ssd1/www/b.460.net.cn/vendor/topthink/think-orm/src/db/concern/ParamsBind.php ( 3.66 KB )
  119. /yingpanguazai/ssd/ssd1/www/b.460.net.cn/vendor/topthink/think-orm/src/db/concern/ResultOperation.php ( 7.01 KB )
  120. /yingpanguazai/ssd/ssd1/www/b.460.net.cn/vendor/topthink/think-orm/src/db/concern/WhereQuery.php ( 19.37 KB )
  121. /yingpanguazai/ssd/ssd1/www/b.460.net.cn/vendor/topthink/think-orm/src/db/concern/JoinAndViewQuery.php ( 7.11 KB )
  122. /yingpanguazai/ssd/ssd1/www/b.460.net.cn/vendor/topthink/think-orm/src/db/concern/TableFieldInfo.php ( 2.63 KB )
  123. /yingpanguazai/ssd/ssd1/www/b.460.net.cn/vendor/topthink/think-orm/src/db/concern/Transaction.php ( 2.77 KB )
  124. /yingpanguazai/ssd/ssd1/www/b.460.net.cn/vendor/topthink/framework/src/think/log/driver/File.php ( 5.96 KB )
  125. /yingpanguazai/ssd/ssd1/www/b.460.net.cn/vendor/topthink/framework/src/think/contract/LogHandlerInterface.php ( 0.86 KB )
  126. /yingpanguazai/ssd/ssd1/www/b.460.net.cn/vendor/topthink/framework/src/think/log/Channel.php ( 3.89 KB )
  127. /yingpanguazai/ssd/ssd1/www/b.460.net.cn/vendor/topthink/framework/src/think/event/LogRecord.php ( 1.02 KB )
  128. /yingpanguazai/ssd/ssd1/www/b.460.net.cn/vendor/topthink/think-helper/src/Collection.php ( 16.47 KB )
  129. /yingpanguazai/ssd/ssd1/www/b.460.net.cn/vendor/topthink/framework/src/think/facade/View.php ( 1.70 KB )
  130. /yingpanguazai/ssd/ssd1/www/b.460.net.cn/vendor/topthink/framework/src/think/View.php ( 4.39 KB )
  131. /yingpanguazai/ssd/ssd1/www/b.460.net.cn/vendor/topthink/framework/src/think/Response.php ( 8.81 KB )
  132. /yingpanguazai/ssd/ssd1/www/b.460.net.cn/vendor/topthink/framework/src/think/response/View.php ( 3.29 KB )
  133. /yingpanguazai/ssd/ssd1/www/b.460.net.cn/vendor/topthink/framework/src/think/Cookie.php ( 6.06 KB )
  134. /yingpanguazai/ssd/ssd1/www/b.460.net.cn/vendor/topthink/think-view/src/Think.php ( 8.38 KB )
  135. /yingpanguazai/ssd/ssd1/www/b.460.net.cn/vendor/topthink/framework/src/think/contract/TemplateHandlerInterface.php ( 1.60 KB )
  136. /yingpanguazai/ssd/ssd1/www/b.460.net.cn/vendor/topthink/think-template/src/Template.php ( 46.61 KB )
  137. /yingpanguazai/ssd/ssd1/www/b.460.net.cn/vendor/topthink/think-template/src/template/driver/File.php ( 2.41 KB )
  138. /yingpanguazai/ssd/ssd1/www/b.460.net.cn/vendor/topthink/think-template/src/template/contract/DriverInterface.php ( 0.86 KB )
  139. /yingpanguazai/ssd/ssd1/www/b.460.net.cn/runtime/temp/b35eef690f41e64ad9e1c098cfc7d3bc.php ( 11.98 KB )
  140. /yingpanguazai/ssd/ssd1/www/b.460.net.cn/vendor/topthink/think-trace/src/Html.php ( 4.42 KB )
  1. CONNECT:[ UseTime:0.002983s ] mysql:host=127.0.0.1;port=3306;dbname=b460;charset=utf8mb4
  2. SHOW FULL COLUMNS FROM `fenlei` [ RunTime:0.001201s ]
  3. SELECT * FROM `fenlei` WHERE `fid` = 0 [ RunTime:0.003409s ]
  4. SELECT * FROM `fenlei` WHERE `fid` = 63 [ RunTime:0.016783s ]
  5. SHOW FULL COLUMNS FROM `set` [ RunTime:0.001115s ]
  6. SELECT * FROM `set` [ RunTime:0.005075s ]
  7. SHOW FULL COLUMNS FROM `article` [ RunTime:0.001080s ]
  8. SELECT * FROM `article` WHERE `id` = 483368 LIMIT 1 [ RunTime:0.008300s ]
  9. UPDATE `article` SET `lasttime` = 1779860794 WHERE `id` = 483368 [ RunTime:0.004187s ]
  10. SELECT * FROM `fenlei` WHERE `id` = 65 LIMIT 1 [ RunTime:0.001879s ]
  11. SELECT * FROM `article` WHERE `id` < 483368 ORDER BY `id` DESC LIMIT 1 [ RunTime:0.001969s ]
  12. SELECT * FROM `article` WHERE `id` > 483368 ORDER BY `id` ASC LIMIT 1 [ RunTime:0.004865s ]
  13. SELECT * FROM `article` WHERE `id` < 483368 ORDER BY `id` DESC LIMIT 10 [ RunTime:0.030465s ]
  14. SELECT * FROM `article` WHERE `id` < 483368 ORDER BY `id` DESC LIMIT 10,10 [ RunTime:0.020474s ]
  15. SELECT * FROM `article` WHERE `id` < 483368 ORDER BY `id` DESC LIMIT 20,10 [ RunTime:0.016388s ]
0.207206s