
非常规超导体的一个决定性特征在于其复杂的相图:在掺杂依赖的超导穹顶附近,存在着多种相互竞争的序,包括赝能隙、反铁磁序、奇异金属和密度波序。尽管数十年来对作为模型体系的高超导临界温度(Tc)铜氧化物进行了广泛研究,但这些竞争序的涨落及其与超导相的相互作用仍然难以捉摸。
最近在高压下发现的Ruddlesden-Popper型镍酸盐(Rn+1NinO3n+1,R = 稀土元素)中的高Tc超导电性,以及通过薄膜中的外延压应变使其在常压下得以稳定,为阐明这些未解问题建立了一个全新的试验平台。通过压缩应变外延薄膜实现的常压超导,为La3Ni2O7提供了一个易于采用多种表征技术进行研究的平台,从而促进了对高温超导的探索。
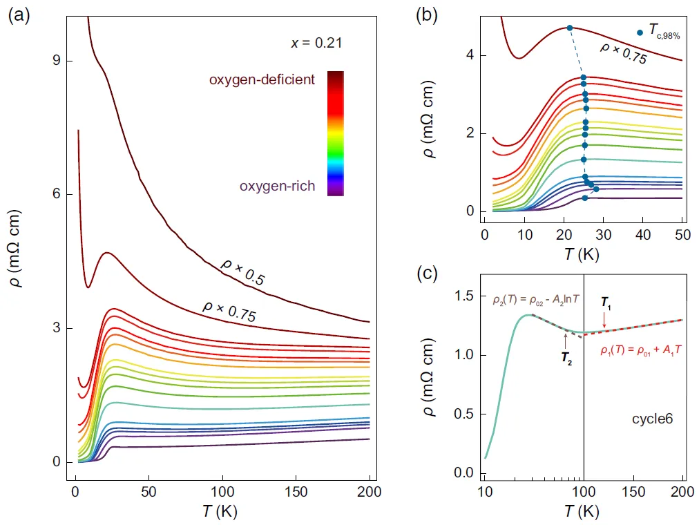
在此研究中,作者通过同步调控Sr掺杂量与氧含量,系统绘制了压缩应变La3−xSrxNi2O7−δ薄膜的相图,并揭示了其超导穹顶及电子-空穴交叉行为。Tc恰好对应于霍尔系数(RH)的异常符号变化,这一现象与电子掺杂铜氧化物中的情形相似,可能预示着费米面重构。在超导穹顶区域之外,还观测到了ln 1/T绝缘区域和T线性电阻率区域,这些特征与铜氧化物及无限层镍酸盐中观察到的行为类似。这项研究工作揭示了Tc与RH之间的穹顶状关联,为理解镍酸盐体系中的非常规超导电性建立了一个关键框架。





【相关文献】
【注】:小编水平有限,若有误,请联系修改;若侵权,请联系删除!