当前位置:首页>南京>瑞金医院邹多武/何子锐&南京大学金陵医院李毅团队:手术组织病理学纤维化严重程度可预测克罗恩病的术后复发

瑞金医院邹多武/何子锐&南京大学金陵医院李毅团队:手术组织病理学纤维化严重程度可预测克罗恩病的术后复发

  • 2026-03-19 08:27:17
瑞金医院邹多武/何子锐&南京大学金陵医院李毅团队:手术组织病理学纤维化严重程度可预测克罗恩病的术后复发

手术组织病理学纤维化严重程度可预测克罗恩病的术后复发:一项多中心回顾性队列研究

Severity of surgical histopathological fibrosis predicted postoperative recurrence in Crohn’s disease: a multi‑center retrospective cohort study

Journal of Gastroenterology

PMID: 41746330 [IF=5.5]

通讯作者

邹多武,主任医师、教授,博士生导师。现任上海交通大学医学院附属瑞金医院消化科主任、消化内镜中心主任、上海交通大学医学院消化科学院副院长。主要研究方向为肠道纤维化、胰腺疾病及消化内镜。担任中华医学会消化病学分会副主任委员,中华医学会消化病学分会食管疾病协作组组长,中华医学会消化内镜学分会大数据协作组副组长,中华医学会消化内镜学分会继续教育学组、胶囊内镜协作组委员,上海市医学会消化病学分会主任委员,中国研究型医院学会神经胃肠病学委员会副主任委员等。获军队医疗成果一、二等奖各1项;上海市科技进步一等奖1项;医疗成果二等奖2项。

李毅教授、主任医师、博士生导师。南京大学医学院附属金陵医院普通外科主任医师。担任中华医学会消化病学分会炎症性肠病学组委员、江苏省医师协会外科医师分会委员、江苏省中西医结合学会炎症性肠病多学科协作专业委员会常务委员。江苏省“333高层次人才”、江苏省青年医学重点人才。美国克利夫兰医院炎症性肠病中心及结直肠外科Research Fellow。主持国家自然科学基金3项,在JAMA Surgery等杂志发表高水平论文70余篇。

何子锐外科学博士,上海交通大学医学院附属瑞金医院副主任医师,硕士生导师。中国抗癌协会腔镜与机器人外科分会专业委员,中国抗癌协会肿瘤胃肠间质瘤专业委员会委员,中国医师协会外科医师分会胃肠间质瘤诊疗专家工作组专家委员,中国医师协会结直肠肿瘤外科质量改进协作组委员,中华医学会消化病分会炎症性肠病学组外科俱乐部委员,中华医学会消化病分会内外科对话协作组组员,海峡两岸医药卫生交流协会消化道外科专业委员会委员,《中华腔镜外科杂志》通讯编委。

背景

尽管治疗策略不断进步,仍有超过70%的克罗恩病 (CD) 患者在确诊后10年内因并发症需要接受手术治疗。然而,手术并非终点,术后复发依然是影响长期预后的核心挑战。既往研究已识别多项复发相关因素,包括吸烟、既往手术史、穿透型病变行为及肛周疾病等,但现有病理指标 (如肉芽肿、活动性炎症及丛周炎) 的预测价值尚存争议,整体预测效能亦较为有限。因此,临床实践中亟需更为可靠的病理学指标,以优化术后风险分层与个体化管理策略。肠道纤维化是CD慢性炎症进程中的关键病理特征之一,在疾病进展及结构性损伤中发挥重要作用。然而,纤维化严重程度与术后复发风险之间的关联尚未得到系统而深入的评估。

针对这一临床空白,由上海交通大学医学院附属瑞金医院消化内科邹多武、何子锐,南京大学医学院附属金陵医院普通外科李毅,中山大学附属第一医院消化内科毛仁等国内3家单位医生共同完成了一项多中心回顾性研究,旨在探索肠壁纤维化程度与CD术后复发风险之间的关系,以期为术后风险评估提供新的病理学依据。

结果

研究设计和研究对象

该研究为一项多中心、回顾性观察性研究,纳入2010年1月至2023年12月期间在三家医疗中心 (上海交通大学医学院附属瑞金医院、南京大学医学院附属金陵医院及中山大学附属第一医院) 接受肠切除手术的CD患者。

研究的结局和指标

对病变部位及切除边缘的石蜡包埋组织切片进行Masson三色染色,并通过定量分析胶原纤维面积占比以评估肠壁纤维化程度。内镜复发定义为吻合口复发 (改良 Rutgeerts score≥i2b) 或非吻合口复发 (SES-CD score≥3)。对于回肠-回肠吻合患者,参照改良Rutgeerts score的原则通过小肠镜评估。术后内镜复发及临床复发数据通过电子病历系统及电话随访收集。采用多变量Cox比例风险回归模型评估纤维化严重程度与术后复发风险之间的关联,并计算相应的风险比 (HRs) 及95%置信区间 (CIs)。

纳入人群基线情况

最终纳入分析的研究队列包括268例接受肠切除手术的CD患者。患者平均年龄为36.9岁,中位病程为70.2个月。男性占64.2%。病变部位以回肠受累为主,其中57.5%为末端回肠型,42.5%为回结肠型。63.4%的患者无既往肠道手术史。在随访期间,共有84例患者发生内镜复发 (31.3%),91例发生临床复发 (34.0%)。

纤维化与复发风险的关联

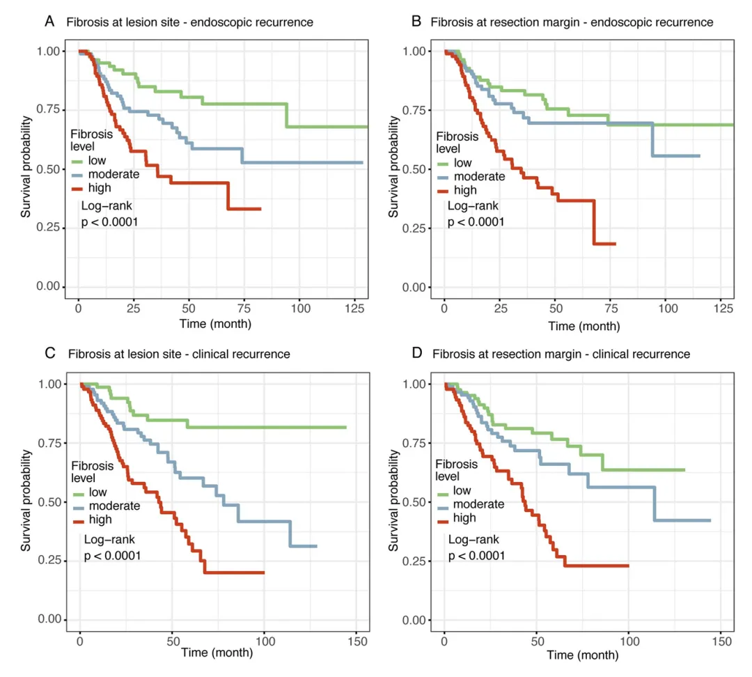
研究者将肠道纤维化程度以连续变量形式进行量化,并根据三分位数分为低、中、高三组。病变部位及切缘的透壁纤维化严重程度均与术后内镜复发和临床复发风险呈显著正相关 (p值均<0.0001)

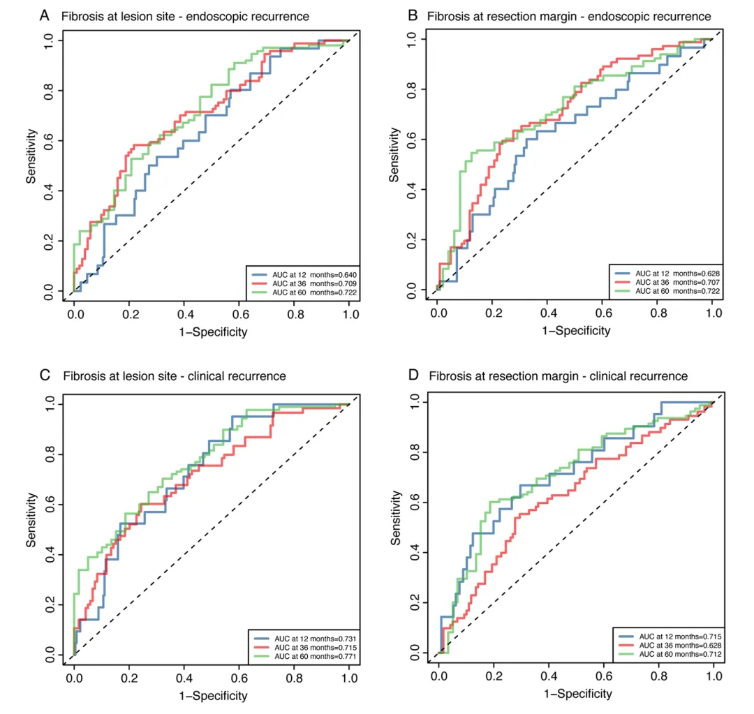
图1 CD术后复发风险与透壁纤维化程度的关系

图源:参考文献 [1]

以连续变量分析时,病变部位纤维化每增加1个标准差 (SD),内镜复发风险增加至1.46倍,临床复发风险增加至1.95倍。与低纤维化组相比,高纤维化组的内镜复发和临床复发风险分别增加至3.02倍和5.91倍。对于切缘部位,纤维化每增加1个SD,内镜复发和临床复发风险分别增加至1.35倍和1.29倍;与低纤维化组相比,切缘高纤维化组的复发风险分别增加至2.88倍和2.85倍。限制性立方样条分析证实纤维化严重程度与复发风险之间存在单调的剂量-反应关系。病变部位和切缘部位的透壁纤维化对术后内镜复发具有良好的预测价值 (AUC均为0.722)。对临床复发的预测价值,病变部位纤维化AUC为0.771,切缘部位纤维化AUC为0.712。

图2 纤维化程度预测术后复发风险的AUC值

图源:参考文献 [1]

为了确保研究结果的广泛适用性,研究人员根据患者的年龄、性别和疾病表现型 (如穿透性疾病B3) 进行了亚组分析。结果显示,在这些不同的亚组中,纤维化程度与复发风险之间的正相关关系保持一致。进一步分层分析发现,无论近端或远端切缘的透壁纤维化,均与术后内镜及临床复发风险显著增加相关。在调整年龄、病变部位、吸烟史、回结肠切除术、既往手术史、肉芽肿及神经丛炎等潜在混杂因素后,透壁纤维化仍被证实为术后内镜复发和临床复发的独立预测因素。

结论

该研究结果表明,无论病变部位还是切缘部位的肠道透壁纤维化严重程度,均可独立预测CD术后内镜复发及临床复发风险的增加。组织病理学层面的纤维化定量评估有助于识别术后复发高风险人群,从而为个体化术后管理策略的制定提供潜在依据。

展望 

当前,肠道纤维化研究在临床与基础领域均面临显著挑战。在临床层面,纤维化诊断与分级标准尚未统一,且缺乏经验证的抗纤维化治疗策略,成为改善患者长期预后的关键瓶颈。在基础研究层面,肠道纤维化的发病机制尚未完全阐明,尤其是慢性炎症向不可逆结构性重塑转化的分子通路及免疫–间质互作机制仍存在重要认知空白。

在此背景下,瑞金医院牵头建立的克罗恩病手术队列依托系统保存的手术病理标本,旨在系统刻画肠壁各层纤维化的整体特征,解析慢性炎症、组织重塑与纤维化形成在疾病进展中的动态关系,并从免疫–间质互作视角深入探讨其潜在机制。该队列向各中心开放合作。未来研究将通过扩大多中心样本规模、延长随访时间、标准化组织处理流程与内镜评分体系、纳入更全面的浆膜层评估,并结合机器学习及人工智能驱动的组织病理分析技术,以进一步阐明纤维化机制并优化术后复发预测模型。

致谢

上海交通大学邹多武教授/何子锐教授&南京大学李毅教授

团队供稿

题图来源于网络

参考文献

1. Wang X, Tu Y, Zhang S, Che T, You S, Gao W, Zhao L, Mao R, Sun J, Gu Y, Zhang Y, He Z, Li Y, Zou D. Severity of surgical histopathological fibrosis predicted postoperative recurrence in Crohn's disease: a multi-center retrospective cohort study. J Gastroenterol. 2026 Feb 26. doi: 10.1007/s00535-026-02374-9. Epub ahead of print. PMID: 41746330.

投稿征集

欢迎各位专家分享您的研究成果

投稿邮箱:med_chenjie@csu.edu.cn

我们是一群热心于IBD研究的青年医生

为您每天分享一个炎症性肠病的小知识

免责声明:本平台旨在分享最新科研资讯,所载内容和意见仅供专业人士参考,不构成任何诊疗建议。在任何情况下,作者及作者所在团队不对任何人因使用本平台中的任何内容所致的任何损失负任何责任。本资料难以设置访问权限,若给您造成不便,还请见谅。本文属于医学专业文章,仅供医疗专业人员学术交流。不适合作为非专业人士疾病教育或科普用途。

若有转载、合作、投稿需求,请联系团队负责人(邮箱:med_chenjie@csu.edu.cn)。本团队未创建任何交流群,请读者朋友谨防诈骗。

最新文章

随机文章

基本 文件 流程 错误 SQL 调试
  1. 请求信息 : 2026-04-13 17:22:19 HTTP/2.0 GET : https://b.460.net.cn/a/500756.html
  2. 运行时间 : 0.212705s [ 吞吐率:4.70req/s ] 内存消耗:4,400.38kb 文件加载:140
  3. 缓存信息 : 0 reads,0 writes
  4. 会话信息 : SESSION_ID=b6f79dc55d3c99ae7c30315097db225b
  1. /yingpanguazai/ssd/ssd1/www/b.460.net.cn/public/index.php ( 0.79 KB )
  2. /yingpanguazai/ssd/ssd1/www/b.460.net.cn/vendor/autoload.php ( 0.17 KB )
  3. /yingpanguazai/ssd/ssd1/www/b.460.net.cn/vendor/composer/autoload_real.php ( 2.49 KB )
  4. /yingpanguazai/ssd/ssd1/www/b.460.net.cn/vendor/composer/platform_check.php ( 0.90 KB )
  5. /yingpanguazai/ssd/ssd1/www/b.460.net.cn/vendor/composer/ClassLoader.php ( 14.03 KB )
  6. /yingpanguazai/ssd/ssd1/www/b.460.net.cn/vendor/composer/autoload_static.php ( 4.90 KB )
  7. /yingpanguazai/ssd/ssd1/www/b.460.net.cn/vendor/topthink/think-helper/src/helper.php ( 8.34 KB )
  8. /yingpanguazai/ssd/ssd1/www/b.460.net.cn/vendor/topthink/think-validate/src/helper.php ( 2.19 KB )
  9. /yingpanguazai/ssd/ssd1/www/b.460.net.cn/vendor/topthink/think-orm/src/helper.php ( 1.47 KB )
  10. /yingpanguazai/ssd/ssd1/www/b.460.net.cn/vendor/topthink/think-orm/stubs/load_stubs.php ( 0.16 KB )
  11. /yingpanguazai/ssd/ssd1/www/b.460.net.cn/vendor/topthink/framework/src/think/Exception.php ( 1.69 KB )
  12. /yingpanguazai/ssd/ssd1/www/b.460.net.cn/vendor/topthink/think-container/src/Facade.php ( 2.71 KB )
  13. /yingpanguazai/ssd/ssd1/www/b.460.net.cn/vendor/symfony/deprecation-contracts/function.php ( 0.99 KB )
  14. /yingpanguazai/ssd/ssd1/www/b.460.net.cn/vendor/symfony/polyfill-mbstring/bootstrap.php ( 8.26 KB )
  15. /yingpanguazai/ssd/ssd1/www/b.460.net.cn/vendor/symfony/polyfill-mbstring/bootstrap80.php ( 9.78 KB )
  16. /yingpanguazai/ssd/ssd1/www/b.460.net.cn/vendor/symfony/var-dumper/Resources/functions/dump.php ( 1.49 KB )
  17. /yingpanguazai/ssd/ssd1/www/b.460.net.cn/vendor/topthink/think-dumper/src/helper.php ( 0.18 KB )
  18. /yingpanguazai/ssd/ssd1/www/b.460.net.cn/vendor/symfony/var-dumper/VarDumper.php ( 4.30 KB )
  19. /yingpanguazai/ssd/ssd1/www/b.460.net.cn/vendor/topthink/framework/src/think/App.php ( 15.30 KB )
  20. /yingpanguazai/ssd/ssd1/www/b.460.net.cn/vendor/topthink/think-container/src/Container.php ( 15.76 KB )
  21. /yingpanguazai/ssd/ssd1/www/b.460.net.cn/vendor/psr/container/src/ContainerInterface.php ( 1.02 KB )
  22. /yingpanguazai/ssd/ssd1/www/b.460.net.cn/app/provider.php ( 0.19 KB )
  23. /yingpanguazai/ssd/ssd1/www/b.460.net.cn/vendor/topthink/framework/src/think/Http.php ( 6.04 KB )
  24. /yingpanguazai/ssd/ssd1/www/b.460.net.cn/vendor/topthink/think-helper/src/helper/Str.php ( 7.29 KB )
  25. /yingpanguazai/ssd/ssd1/www/b.460.net.cn/vendor/topthink/framework/src/think/Env.php ( 4.68 KB )
  26. /yingpanguazai/ssd/ssd1/www/b.460.net.cn/app/common.php ( 0.03 KB )
  27. /yingpanguazai/ssd/ssd1/www/b.460.net.cn/vendor/topthink/framework/src/helper.php ( 18.78 KB )
  28. /yingpanguazai/ssd/ssd1/www/b.460.net.cn/vendor/topthink/framework/src/think/Config.php ( 5.54 KB )
  29. /yingpanguazai/ssd/ssd1/www/b.460.net.cn/config/app.php ( 0.95 KB )
  30. /yingpanguazai/ssd/ssd1/www/b.460.net.cn/config/cache.php ( 0.78 KB )
  31. /yingpanguazai/ssd/ssd1/www/b.460.net.cn/config/console.php ( 0.23 KB )
  32. /yingpanguazai/ssd/ssd1/www/b.460.net.cn/config/cookie.php ( 0.56 KB )
  33. /yingpanguazai/ssd/ssd1/www/b.460.net.cn/config/database.php ( 2.47 KB )
  34. /yingpanguazai/ssd/ssd1/www/b.460.net.cn/vendor/topthink/framework/src/think/facade/Env.php ( 1.67 KB )
  35. /yingpanguazai/ssd/ssd1/www/b.460.net.cn/config/filesystem.php ( 0.61 KB )
  36. /yingpanguazai/ssd/ssd1/www/b.460.net.cn/config/lang.php ( 0.91 KB )
  37. /yingpanguazai/ssd/ssd1/www/b.460.net.cn/config/log.php ( 1.35 KB )
  38. /yingpanguazai/ssd/ssd1/www/b.460.net.cn/config/middleware.php ( 0.19 KB )
  39. /yingpanguazai/ssd/ssd1/www/b.460.net.cn/config/route.php ( 1.89 KB )
  40. /yingpanguazai/ssd/ssd1/www/b.460.net.cn/config/session.php ( 0.57 KB )
  41. /yingpanguazai/ssd/ssd1/www/b.460.net.cn/config/trace.php ( 0.34 KB )
  42. /yingpanguazai/ssd/ssd1/www/b.460.net.cn/config/view.php ( 0.82 KB )
  43. /yingpanguazai/ssd/ssd1/www/b.460.net.cn/app/event.php ( 0.25 KB )
  44. /yingpanguazai/ssd/ssd1/www/b.460.net.cn/vendor/topthink/framework/src/think/Event.php ( 7.67 KB )
  45. /yingpanguazai/ssd/ssd1/www/b.460.net.cn/app/service.php ( 0.13 KB )
  46. /yingpanguazai/ssd/ssd1/www/b.460.net.cn/app/AppService.php ( 0.26 KB )
  47. /yingpanguazai/ssd/ssd1/www/b.460.net.cn/vendor/topthink/framework/src/think/Service.php ( 1.64 KB )
  48. /yingpanguazai/ssd/ssd1/www/b.460.net.cn/vendor/topthink/framework/src/think/Lang.php ( 7.35 KB )
  49. /yingpanguazai/ssd/ssd1/www/b.460.net.cn/vendor/topthink/framework/src/lang/zh-cn.php ( 13.70 KB )
  50. /yingpanguazai/ssd/ssd1/www/b.460.net.cn/vendor/topthink/framework/src/think/initializer/Error.php ( 3.31 KB )
  51. /yingpanguazai/ssd/ssd1/www/b.460.net.cn/vendor/topthink/framework/src/think/initializer/RegisterService.php ( 1.33 KB )
  52. /yingpanguazai/ssd/ssd1/www/b.460.net.cn/vendor/services.php ( 0.14 KB )
  53. /yingpanguazai/ssd/ssd1/www/b.460.net.cn/vendor/topthink/framework/src/think/service/PaginatorService.php ( 1.52 KB )
  54. /yingpanguazai/ssd/ssd1/www/b.460.net.cn/vendor/topthink/framework/src/think/service/ValidateService.php ( 0.99 KB )
  55. /yingpanguazai/ssd/ssd1/www/b.460.net.cn/vendor/topthink/framework/src/think/service/ModelService.php ( 2.04 KB )
  56. /yingpanguazai/ssd/ssd1/www/b.460.net.cn/vendor/topthink/think-trace/src/Service.php ( 0.77 KB )
  57. /yingpanguazai/ssd/ssd1/www/b.460.net.cn/vendor/topthink/framework/src/think/Middleware.php ( 6.72 KB )
  58. /yingpanguazai/ssd/ssd1/www/b.460.net.cn/vendor/topthink/framework/src/think/initializer/BootService.php ( 0.77 KB )
  59. /yingpanguazai/ssd/ssd1/www/b.460.net.cn/vendor/topthink/think-orm/src/Paginator.php ( 11.86 KB )
  60. /yingpanguazai/ssd/ssd1/www/b.460.net.cn/vendor/topthink/think-validate/src/Validate.php ( 63.20 KB )
  61. /yingpanguazai/ssd/ssd1/www/b.460.net.cn/vendor/topthink/think-orm/src/Model.php ( 23.55 KB )
  62. /yingpanguazai/ssd/ssd1/www/b.460.net.cn/vendor/topthink/think-orm/src/model/concern/Attribute.php ( 21.05 KB )
  63. /yingpanguazai/ssd/ssd1/www/b.460.net.cn/vendor/topthink/think-orm/src/model/concern/AutoWriteData.php ( 4.21 KB )
  64. /yingpanguazai/ssd/ssd1/www/b.460.net.cn/vendor/topthink/think-orm/src/model/concern/Conversion.php ( 6.44 KB )
  65. /yingpanguazai/ssd/ssd1/www/b.460.net.cn/vendor/topthink/think-orm/src/model/concern/DbConnect.php ( 5.16 KB )
  66. /yingpanguazai/ssd/ssd1/www/b.460.net.cn/vendor/topthink/think-orm/src/model/concern/ModelEvent.php ( 2.33 KB )
  67. /yingpanguazai/ssd/ssd1/www/b.460.net.cn/vendor/topthink/think-orm/src/model/concern/RelationShip.php ( 28.29 KB )
  68. /yingpanguazai/ssd/ssd1/www/b.460.net.cn/vendor/topthink/think-helper/src/contract/Arrayable.php ( 0.09 KB )
  69. /yingpanguazai/ssd/ssd1/www/b.460.net.cn/vendor/topthink/think-helper/src/contract/Jsonable.php ( 0.13 KB )
  70. /yingpanguazai/ssd/ssd1/www/b.460.net.cn/vendor/topthink/think-orm/src/model/contract/Modelable.php ( 0.09 KB )
  71. /yingpanguazai/ssd/ssd1/www/b.460.net.cn/vendor/topthink/framework/src/think/Db.php ( 2.88 KB )
  72. /yingpanguazai/ssd/ssd1/www/b.460.net.cn/vendor/topthink/think-orm/src/DbManager.php ( 8.52 KB )
  73. /yingpanguazai/ssd/ssd1/www/b.460.net.cn/vendor/topthink/framework/src/think/Log.php ( 6.28 KB )
  74. /yingpanguazai/ssd/ssd1/www/b.460.net.cn/vendor/topthink/framework/src/think/Manager.php ( 3.92 KB )
  75. /yingpanguazai/ssd/ssd1/www/b.460.net.cn/vendor/psr/log/src/LoggerTrait.php ( 2.69 KB )
  76. /yingpanguazai/ssd/ssd1/www/b.460.net.cn/vendor/psr/log/src/LoggerInterface.php ( 2.71 KB )
  77. /yingpanguazai/ssd/ssd1/www/b.460.net.cn/vendor/topthink/framework/src/think/Cache.php ( 4.92 KB )
  78. /yingpanguazai/ssd/ssd1/www/b.460.net.cn/vendor/psr/simple-cache/src/CacheInterface.php ( 4.71 KB )
  79. /yingpanguazai/ssd/ssd1/www/b.460.net.cn/vendor/topthink/think-helper/src/helper/Arr.php ( 16.63 KB )
  80. /yingpanguazai/ssd/ssd1/www/b.460.net.cn/vendor/topthink/framework/src/think/cache/driver/File.php ( 7.84 KB )
  81. /yingpanguazai/ssd/ssd1/www/b.460.net.cn/vendor/topthink/framework/src/think/cache/Driver.php ( 9.03 KB )
  82. /yingpanguazai/ssd/ssd1/www/b.460.net.cn/vendor/topthink/framework/src/think/contract/CacheHandlerInterface.php ( 1.99 KB )
  83. /yingpanguazai/ssd/ssd1/www/b.460.net.cn/app/Request.php ( 0.09 KB )
  84. /yingpanguazai/ssd/ssd1/www/b.460.net.cn/vendor/topthink/framework/src/think/Request.php ( 55.78 KB )
  85. /yingpanguazai/ssd/ssd1/www/b.460.net.cn/app/middleware.php ( 0.25 KB )
  86. /yingpanguazai/ssd/ssd1/www/b.460.net.cn/vendor/topthink/framework/src/think/Pipeline.php ( 2.61 KB )
  87. /yingpanguazai/ssd/ssd1/www/b.460.net.cn/vendor/topthink/think-trace/src/TraceDebug.php ( 3.40 KB )
  88. /yingpanguazai/ssd/ssd1/www/b.460.net.cn/vendor/topthink/framework/src/think/middleware/SessionInit.php ( 1.94 KB )
  89. /yingpanguazai/ssd/ssd1/www/b.460.net.cn/vendor/topthink/framework/src/think/Session.php ( 1.80 KB )
  90. /yingpanguazai/ssd/ssd1/www/b.460.net.cn/vendor/topthink/framework/src/think/session/driver/File.php ( 6.27 KB )
  91. /yingpanguazai/ssd/ssd1/www/b.460.net.cn/vendor/topthink/framework/src/think/contract/SessionHandlerInterface.php ( 0.87 KB )
  92. /yingpanguazai/ssd/ssd1/www/b.460.net.cn/vendor/topthink/framework/src/think/session/Store.php ( 7.12 KB )
  93. /yingpanguazai/ssd/ssd1/www/b.460.net.cn/vendor/topthink/framework/src/think/Route.php ( 23.73 KB )
  94. /yingpanguazai/ssd/ssd1/www/b.460.net.cn/vendor/topthink/framework/src/think/route/RuleName.php ( 5.75 KB )
  95. /yingpanguazai/ssd/ssd1/www/b.460.net.cn/vendor/topthink/framework/src/think/route/Domain.php ( 2.53 KB )
  96. /yingpanguazai/ssd/ssd1/www/b.460.net.cn/vendor/topthink/framework/src/think/route/RuleGroup.php ( 22.43 KB )
  97. /yingpanguazai/ssd/ssd1/www/b.460.net.cn/vendor/topthink/framework/src/think/route/Rule.php ( 26.95 KB )
  98. /yingpanguazai/ssd/ssd1/www/b.460.net.cn/vendor/topthink/framework/src/think/route/RuleItem.php ( 9.78 KB )
  99. /yingpanguazai/ssd/ssd1/www/b.460.net.cn/route/app.php ( 1.72 KB )
  100. /yingpanguazai/ssd/ssd1/www/b.460.net.cn/vendor/topthink/framework/src/think/facade/Route.php ( 4.70 KB )
  101. /yingpanguazai/ssd/ssd1/www/b.460.net.cn/vendor/topthink/framework/src/think/route/dispatch/Controller.php ( 4.74 KB )
  102. /yingpanguazai/ssd/ssd1/www/b.460.net.cn/vendor/topthink/framework/src/think/route/Dispatch.php ( 10.44 KB )
  103. /yingpanguazai/ssd/ssd1/www/b.460.net.cn/app/controller/Index.php ( 4.81 KB )
  104. /yingpanguazai/ssd/ssd1/www/b.460.net.cn/app/BaseController.php ( 2.05 KB )
  105. /yingpanguazai/ssd/ssd1/www/b.460.net.cn/vendor/topthink/think-orm/src/facade/Db.php ( 0.93 KB )
  106. /yingpanguazai/ssd/ssd1/www/b.460.net.cn/vendor/topthink/think-orm/src/db/connector/Mysql.php ( 5.44 KB )
  107. /yingpanguazai/ssd/ssd1/www/b.460.net.cn/vendor/topthink/think-orm/src/db/PDOConnection.php ( 52.47 KB )
  108. /yingpanguazai/ssd/ssd1/www/b.460.net.cn/vendor/topthink/think-orm/src/db/Connection.php ( 8.39 KB )
  109. /yingpanguazai/ssd/ssd1/www/b.460.net.cn/vendor/topthink/think-orm/src/db/ConnectionInterface.php ( 4.57 KB )
  110. /yingpanguazai/ssd/ssd1/www/b.460.net.cn/vendor/topthink/think-orm/src/db/builder/Mysql.php ( 16.58 KB )
  111. /yingpanguazai/ssd/ssd1/www/b.460.net.cn/vendor/topthink/think-orm/src/db/Builder.php ( 24.06 KB )
  112. /yingpanguazai/ssd/ssd1/www/b.460.net.cn/vendor/topthink/think-orm/src/db/BaseBuilder.php ( 27.50 KB )
  113. /yingpanguazai/ssd/ssd1/www/b.460.net.cn/vendor/topthink/think-orm/src/db/Query.php ( 15.71 KB )
  114. /yingpanguazai/ssd/ssd1/www/b.460.net.cn/vendor/topthink/think-orm/src/db/BaseQuery.php ( 45.13 KB )
  115. /yingpanguazai/ssd/ssd1/www/b.460.net.cn/vendor/topthink/think-orm/src/db/concern/TimeFieldQuery.php ( 7.43 KB )
  116. /yingpanguazai/ssd/ssd1/www/b.460.net.cn/vendor/topthink/think-orm/src/db/concern/AggregateQuery.php ( 3.26 KB )
  117. /yingpanguazai/ssd/ssd1/www/b.460.net.cn/vendor/topthink/think-orm/src/db/concern/ModelRelationQuery.php ( 20.07 KB )
  118. /yingpanguazai/ssd/ssd1/www/b.460.net.cn/vendor/topthink/think-orm/src/db/concern/ParamsBind.php ( 3.66 KB )
  119. /yingpanguazai/ssd/ssd1/www/b.460.net.cn/vendor/topthink/think-orm/src/db/concern/ResultOperation.php ( 7.01 KB )
  120. /yingpanguazai/ssd/ssd1/www/b.460.net.cn/vendor/topthink/think-orm/src/db/concern/WhereQuery.php ( 19.37 KB )
  121. /yingpanguazai/ssd/ssd1/www/b.460.net.cn/vendor/topthink/think-orm/src/db/concern/JoinAndViewQuery.php ( 7.11 KB )
  122. /yingpanguazai/ssd/ssd1/www/b.460.net.cn/vendor/topthink/think-orm/src/db/concern/TableFieldInfo.php ( 2.63 KB )
  123. /yingpanguazai/ssd/ssd1/www/b.460.net.cn/vendor/topthink/think-orm/src/db/concern/Transaction.php ( 2.77 KB )
  124. /yingpanguazai/ssd/ssd1/www/b.460.net.cn/vendor/topthink/framework/src/think/log/driver/File.php ( 5.96 KB )
  125. /yingpanguazai/ssd/ssd1/www/b.460.net.cn/vendor/topthink/framework/src/think/contract/LogHandlerInterface.php ( 0.86 KB )
  126. /yingpanguazai/ssd/ssd1/www/b.460.net.cn/vendor/topthink/framework/src/think/log/Channel.php ( 3.89 KB )
  127. /yingpanguazai/ssd/ssd1/www/b.460.net.cn/vendor/topthink/framework/src/think/event/LogRecord.php ( 1.02 KB )
  128. /yingpanguazai/ssd/ssd1/www/b.460.net.cn/vendor/topthink/think-helper/src/Collection.php ( 16.47 KB )
  129. /yingpanguazai/ssd/ssd1/www/b.460.net.cn/vendor/topthink/framework/src/think/facade/View.php ( 1.70 KB )
  130. /yingpanguazai/ssd/ssd1/www/b.460.net.cn/vendor/topthink/framework/src/think/View.php ( 4.39 KB )
  131. /yingpanguazai/ssd/ssd1/www/b.460.net.cn/vendor/topthink/framework/src/think/Response.php ( 8.81 KB )
  132. /yingpanguazai/ssd/ssd1/www/b.460.net.cn/vendor/topthink/framework/src/think/response/View.php ( 3.29 KB )
  133. /yingpanguazai/ssd/ssd1/www/b.460.net.cn/vendor/topthink/framework/src/think/Cookie.php ( 6.06 KB )
  134. /yingpanguazai/ssd/ssd1/www/b.460.net.cn/vendor/topthink/think-view/src/Think.php ( 8.38 KB )
  135. /yingpanguazai/ssd/ssd1/www/b.460.net.cn/vendor/topthink/framework/src/think/contract/TemplateHandlerInterface.php ( 1.60 KB )
  136. /yingpanguazai/ssd/ssd1/www/b.460.net.cn/vendor/topthink/think-template/src/Template.php ( 46.61 KB )
  137. /yingpanguazai/ssd/ssd1/www/b.460.net.cn/vendor/topthink/think-template/src/template/driver/File.php ( 2.41 KB )
  138. /yingpanguazai/ssd/ssd1/www/b.460.net.cn/vendor/topthink/think-template/src/template/contract/DriverInterface.php ( 0.86 KB )
  139. /yingpanguazai/ssd/ssd1/www/b.460.net.cn/runtime/temp/b35eef690f41e64ad9e1c098cfc7d3bc.php ( 11.98 KB )
  140. /yingpanguazai/ssd/ssd1/www/b.460.net.cn/vendor/topthink/think-trace/src/Html.php ( 4.42 KB )
  1. CONNECT:[ UseTime:0.001087s ] mysql:host=127.0.0.1;port=3306;dbname=b460;charset=utf8mb4
  2. SHOW FULL COLUMNS FROM `fenlei` [ RunTime:0.001662s ]
  3. SELECT * FROM `fenlei` WHERE `fid` = 0 [ RunTime:0.000720s ]
  4. SELECT * FROM `fenlei` WHERE `fid` = 63 [ RunTime:0.000706s ]
  5. SHOW FULL COLUMNS FROM `set` [ RunTime:0.001285s ]
  6. SELECT * FROM `set` [ RunTime:0.000609s ]
  7. SHOW FULL COLUMNS FROM `article` [ RunTime:0.001455s ]
  8. SELECT * FROM `article` WHERE `id` = 500756 LIMIT 1 [ RunTime:0.001002s ]
  9. UPDATE `article` SET `lasttime` = 1776072139 WHERE `id` = 500756 [ RunTime:0.019430s ]
  10. SELECT * FROM `fenlei` WHERE `id` = 65 LIMIT 1 [ RunTime:0.000692s ]
  11. SELECT * FROM `article` WHERE `id` < 500756 ORDER BY `id` DESC LIMIT 1 [ RunTime:0.002535s ]
  12. SELECT * FROM `article` WHERE `id` > 500756 ORDER BY `id` ASC LIMIT 1 [ RunTime:0.001209s ]
  13. SELECT * FROM `article` WHERE `id` < 500756 ORDER BY `id` DESC LIMIT 10 [ RunTime:0.001778s ]
  14. SELECT * FROM `article` WHERE `id` < 500756 ORDER BY `id` DESC LIMIT 10,10 [ RunTime:0.001997s ]
  15. SELECT * FROM `article` WHERE `id` < 500756 ORDER BY `id` DESC LIMIT 20,10 [ RunTime:0.013990s ]
0.216579s