

【图文解读】

图1 结构与化学态表征图1通过多种表征手段揭示了SnSₓ及SnSₓ/GO的微观结构与化学特征。高分辨透射电镜(HRTEM)显示,纯SnSₓ由非晶区域和尺寸约2.3 nm的超细纳米晶组成,晶格条纹间距0.32 nm对应SnS₂的(001)面;选区电子衍射(SAED)呈现模糊环状图案,证实其低结晶性。引入GO后,SnSₓ/GO的形貌未发生明显变化,但SAED图案更为模糊,表明GO进一步抑制了SnSₓ的结晶。能量色散X射线光谱(EDS)元素分布显示Sn、S与C、O元素空间重叠,证明GO成功包裹SnSₓ。拉曼光谱中~314 cm⁻¹处的SnS₂特征峰和X射线衍射(XRD)中无尖锐衍射峰的结果共同证实了SnSₓ的非晶/超细特性。X射线光电子能谱(XPS)中Sn 3d和S 2p峰位在GO包裹前后无明显位移,表明GO与SnSₓ间为弱物理相互作用,未改变表面原子的化学态。这些结果确立了SnSₓ/GO的“非晶SnSₓ核+GO壳”结构基础。

图2 CO₂电还原性能图2系统比较了c-SnS₂、SnSₓ和SnSₓ/GO的CO₂ER性能。在Ar饱和电解液中,SnSₓ/GO的析氢反应(HER)过电位(1070 mV @ 10 mA cm⁻²)和Tafel斜率(38.67 mV dec⁻¹)最高,表明GO包裹有效抑制了竞争性HER。而在CO₂饱和电解液中,SnSₓ/GO在10 mA cm⁻²下的过电位低至722 mV,Tafel斜率仅12.98 mV dec⁻¹,远优于对照样品,显示出优异的CO₂ER动力学。法拉第效率(FE)测试表明,SnSₓ/GO在-1.1 V vs. RHE下甲酸FE高达99.9±1.1%,部分电流密度达126.25±0.78 mA cm⁻²;在膜电极电解池中,部分电流密度可进一步提升至554.41±2.32 mA cm⁻²。甲酸的转换频率(TOF)计算显示SnSₓ/GO达28.72 s⁻¹,较SnSₓ提升62%。50小时稳定性测试中,电流密度和FE均保持稳定。与文献报道的先进催化剂相比,SnSₓ/GO在流动池条件下的性能处于领先地位,证实了GO包裹策略的有效性。

图3 电化学活化机制图3探究了SnSₓ/GO在电化学活化过程中的结构演变机制。循环伏安(CV)曲线显示,纯SnSₓ在第一圈扫描中出现明显的SnSₓ还原峰(~-0.45 V vs. RHE),而SnSₓ/GO中该峰缺失,表明GO层抑制了SnSₓ的早期还原。活化后的XRD分析显示,SnSₓ中出现金属Sn的晶相衍射峰,而SnSₓ/GO仍保持非晶特征。电感耦合等离子体发射光谱(ICP-OES)定量分析表明,活化后SnSₓ的S/Sn摩尔比从1.675骤降至0.123,而SnSₓ/GO仅降至0.767,证实GO有效保留了S原子。活化后XPS显示SnSₓ/GO中仍存在S²⁻信号,且Sn 3d峰位较SnSₓ更正,表明S保留影响了Sn的电子态。水接触角测试显示活化后SnSₓ/GO表面疏水性增强,有利于CO₂富集。电化学活性面积(ECSA)计算表明,SnSₓ/GO活化后仍保持较高活性面积。透射电镜(TEM)观察到SnSₓ活化后生成大尺寸Sn颗粒(~50 nm),而SnSₓ/GO中纳米晶尺寸仅微增至~4 nm。电化学阻抗谱(EIS)证实SnSₓ/GO具有更低的电荷转移电阻。综合以上,GO包裹通过物理限域和化学保护双重作用,抑制了SnSₓ的过度还原和晶粒长大,保留了S活性位点。

图4 原位拉曼光谱图4采用原位拉曼光谱追踪CO₂ER过程中催化剂的动态演变及反应中间体。在SnSₓ样品中,随着电位从开路电位(OCP)负移至-1.2 V,~315 cm⁻¹处的SnS₂特征峰强度急剧下降,同时伴随SnS中间体峰的出现与消失,表明SnSₓ经历了SnS₂→SnS→Sn的逐级还原过程。而在SnSₓ/GO中,SnS₂峰的衰减明显减缓,证实GO层对SnSₓ还原的抑制效应。在反应中间体检测区域(1100-1600 cm⁻¹),SnSₓ/GO在-0.8 V即出现*OCHO物种的特征峰(1331、1437、1461 cm⁻¹),且峰强度随电位负移显著增强;相比之下,SnSₓ在-0.9 V才开始出现*OCHO信号,且强度较低。COOH特征峰在所有样品中均未检出,表明反应严格遵循甲酸盐路径。这些结果证明SnSₓ/GO表面更易形成并稳定OCHO中间体,从而提升甲酸产率。

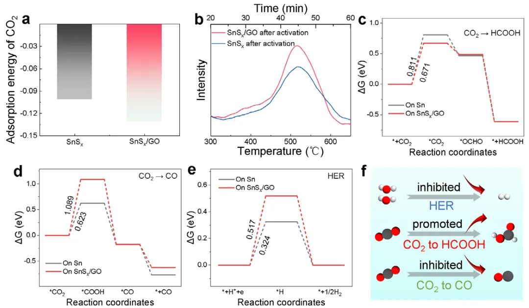
图5 理论计算与反应机理图5通过密度泛函理论(DFT)计算揭示了SnSₓ/GO的催化增强机理。CO₂吸附能计算表明,S-rich SnSₓ/GO表面(-0.1313 eV)较金属Sn(-0.1015 eV)具有更强的CO₂吸附能力,与CO₂程序升温脱附(CO₂-TPD)实验中SnSₓ/GO更大的脱附峰面积相一致。吉布斯自由能(ΔG)计算显示,甲酸盐路径的决速步(CO₂吸附)在SnSₓ/GO上的ΔG(0.671 eV)低于金属Sn(0.811 eV),表明甲酸生成更有利;而CO生成路径和HER路径的决速步ΔG在SnSₓ/GO上分别增至1.089 eV和0.517 eV,高于金属Sn的0.623 eV和0.324 eV,有效抑制了副产物生成。基于此,研究提出SnSₓ/GO的催化增强机理:GO包裹层在电化学活化中被还原为疏水性rGO,一方面通过物理限域保留SnSₓ的超细结构和S原子,维持高ECSA和良好电荷转移;另一方面,S-rich表面从电子结构层面优化了反应路径,促进OCHO中间体形成同时抑制COOH和*H中间体;此外,疏水微环境富集CO₂并排斥过量H₂O,进一步抑制HER。多因素协同作用实现了甲酸的高效高选择性生成。
【结论】
总之,本研究提出“GO包裹稳定S活性位点”的创新策略,通过一步溶液法构建SnSₓ/GO复合材料,利用GO纳米片的物理限域和化学保护双重作用,在电化学活化过程中有效抑制SnSₓ的过度还原和晶粒长大,保留了高比例的S原子和超细纳米结构;机理研究表明,S-rich SnSₓ表面从电子结构层面优化了反应路径,显著促进*OCHO中间体形成并稳定吸附,同时通过提高CO和HER路径的能垒抑制副产物生成,加之活化后rGO层构建的疏水微环境富集CO₂并排斥水分子,实现了CO₂ER制甲酸反应路径的选择性调控。该催化剂在流动池中实现了126.25 mA cm⁻²的甲酸部分电流密度和99.9%的法拉第效率,在膜电极电解池中电流密度可进一步提升至554.41 mA cm⁻²,并展现出超过50小时的安培级电流稳定性,综合性能创下同类催化剂新纪录。本研究为高性能CO₂电还原催化剂的设计提供了“活性位点保留”与“反应微环境调控”协同优化的新思路,该GO包裹策略未来可拓展至其他易发生结构演变的非晶或纳米催化剂体系,推动高效电催化材料的发展。
Wrapping Tin Sulfide Nanocatalysts with Graphene Oxide Nanosheets for Improved Electroreduction of Carbon Dioxide to Formic Acid. Haonan Chen;Xinya Chen;Qinghua Liu;Zhiwei Yang;Yaning Liu;Lu Jiang;Miao Ji;Xiao Huang;Gongqiang Li;Gang Lu. ISSN: 1433-7851 , 1521-3773; DOI: 10.1002/anie.3823676. Angewandte Chemie. , 2026
