当前位置:首页>南京>南京大学周豪慎JACS:室温电导率超 10 mS/cm!多阳离子硫化物电解质,助力全固态锂金属电池实用化!

南京大学周豪慎JACS:室温电导率超 10 mS/cm!多阳离子硫化物电解质,助力全固态锂金属电池实用化!

  • 2026-05-14 06:48:44
南京大学周豪慎JACS:室温电导率超 10 mS/cm!多阳离子硫化物电解质,助力全固态锂金属电池实用化!

(可代为解读,作者校稿后发布) 投稿通道 ↑ 

全固态锂金属电池因高比能量和本征安全性成为极具潜力的储能技术,硫化物基固态电解质兼具高离子电导率与优异形变能力,其中银锗矿型电解质还具备电化学性质稳定、成本适中的优势,是规模化应用的优选,但锂金属负极与固态电解质间的界面不稳定性、锂枝晶无控生长问题严重制约其实际应用,传统界面稳定策略多涉及复杂昂贵的界面工程,实用性受限,且硫化物电解质与锂金属结合易形成低导电的固态电解质界面相,加剧界面阻抗与枝晶生长,因此开发兼具超高离子电导率与优异锂金属界面稳定性的简易高效型固态电解质设计策略,成为推动全固态锂金属电池实用化的关键需求。

近日,南京大学周豪慎团队提出一种多阳离子调控的自适应性超离子电解质设计策略,以构建兼具高离子电导率与锂金属界面相容性的全固态电解质体系。通过在硫化物基质中引入多阳离子协同调控机制,实现晶格结构的柔性优化与离子传输通道的精准构建,显著提升电解质本体离子电导率与界面自适应能力。系统表征与电化学测试结果表明,该策略可有效抑制界面副反应与空间电荷层形成,降低锂金属负极侧界面阻抗,实现无枝晶稳定锂沉积 / 溶解。该工作为解决全固态锂金属电池界面瓶颈问题提供了一种简易高效的材料设计方案,具有重要工程应用价值。

该成果以 “Self-Adaptive Superionic Electrolytes via Multiple-Cation Modulation for All-Solid-State Lithium−Metal Batteries” 为题发表在 “Journal of the American Chemical Society” 期刊,第一作者是He Zhiying。

(电化学能源整理,未经申请,不得转载)

本文pdf请扫描底部二维码直接下载。

【工作要点】

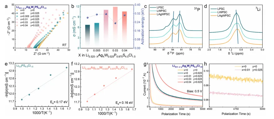
本工作开发出 Ag、W 双阳离子预设的银锗矿型硫化物固态电解质 Li₅.₅₋ₓ₊ᵧAgₓWᵧP₁₋ᵧS₄.₅Cl₁.₅,经优化的 Li₅.₅₁₅Ag₀.₀₁W₀.₀₂₅P₀.₉₇₅S₄.₅Cl₁.₅电解质室温离子电导率超 10 mS cm⁻¹,且杨氏模量更低、形变能力更优,异价 W⁴⁺取代弱化 Li⁺结合作用并提升 Li⁺浓度,少量 Ag⁺掺入进一步优化离子传输效率,同时有效抑制电解质电子电导率,实现离子传导与电子绝缘的优异平衡。

该双阳离子电解质在电池循环过程中展现出自适应性界面调控效应,Ag⁺从电解质中脱嵌还原为 Ag 金属并扩散至锂金属负极形成均匀 Li-Ag 合金,引导 Li⁺均匀沉积 / 剥离,W 则转化为具有中等离子与电子导电性的 LiWS₂并存在于固态电解质界面相中,减少低导电 Li₂S 的生成,同时低模量的 LiWS₂提升界面接触性,协同实现界面阻抗降低、反应动力学加快,Li 对称电池在 0.5 mA cm⁻² 下稳定循环超 4000 h,1 mA cm⁻² 下循环超 1000 h,临界电流密度达 3.2 mA cm⁻²。

该电解质适配性与实用性优异,基于其组装的 Li//LiNi₀.₈Co₀.₁Mn₀.₁O₂全固态电池展现出卓越的倍率性能与长循环稳定性,2C 下循环 1100 圈容量保持率达 82.7%,在 17.8 mg cm⁻² 的高正极载量、3 mAh cm⁻² 的面容量下 0.2C 循环 100 圈仍有 86.1% 的容量保持率,且在 - 30 ℃低温条件下 0.1C 循环 100 圈容量衰减可忽略,拓展至 Li//S 全固态电池时,1C 下循环 140 圈比容量仍超 1000 mAh g⁻¹,为高能量密度全固态锂金属电池的实用化提供了通用、可规模化的电解质设计策略。

图 1 为调控后硫化物固态电解质的结构表征结果,多角度验证了 Ag、W 双阳离子成功掺入锂磷硫氯基体且无次生相形成,X 射线衍射及精修结果显示晶格参数略有膨胀,冷冻透射电镜与扫描电镜观察到电解质的多晶结构与微米级颗粒形貌,拉曼图谱证实阳离子调控改变了局部成键环境,X 射线光电子能谱则确定了电解质中 Ag⁺、W⁴⁺的价态及 P 的结构稳定性。

图 2 为调控后固态电解质的离子与电子导电性能表征,交流阻抗测试表明系列电解质室温离子电导率均超 10 mS cm⁻¹ 且活化能低,核磁共振图谱揭示阳离子调控通过改变 Li⁺、P 周围电子环境增强了 Li⁺迁移能力,从头算分子动力学模拟验证了改性电解质 Li⁺扩散能力提升,直流极化测试证明少量 Ag 掺入可有效抑制电子电导率,其中 Li₅.₅₁₅Ag₀.₀₁W₀.₀₂₅P₀.₉₇₅S₄.₅Cl₁.₅实现了离子电导率与电子绝缘性的最优结合。

图 3 为锂金属负极与多阳离子预设固态电解质的界面稳定性表征,阶梯式电流密度测试显示改性电解质临界电流密度达 3.2 mA cm⁻²,塔菲尔曲线证明其界面 Li⁺传输动力学显著加快,锂对称电池长循环测试验证了改性电解质在不同电流密度下均具备优异的循环稳定性,弛豫时间分布分析则表明改性电解质的固态电解质界面相阻抗与电荷转移阻抗更小且无明显增长,展现出稳定的界面离子传输与电荷转移过程。

图 4 为双阳离子调控固态电解质与锂金属负极界面相容性提升的机理分析,X 射线光电子能谱表明改性电解质界面低导电 Li₂S 生成量减少且形成了 LiWS₂,飞行时间二次离子质谱与截面扫描电镜证实 Ag 扩散至锂负极形成均匀 Li-Ag 合金且界面接触紧密无空隙,原子力显微镜与电化学测试显示 LiWS₂杨氏模量低、导电性优,可提升界面接触并加快离子传输,同时循环后电解质仍保持低电子电导率,保障了长期循环稳定性。

图 5 为基于改性电解质的锂 // 镍钴锰酸锂全固态电池电化学性能表征,交流阻抗测试表明改性电解质在低堆叠压力下仍保持高离子电导率,倍率性能测试显示电池在 0.1C 至 2C 宽倍率范围内均有高放电比容量,长循环测试证实电池在 1C、2C 充电 / 4C 放电条件下均具备优异的循环稳定性,高正极载量与低温测试则验证了电池在实际应用条件下的良好表现,展现出改性电解质在全固态锂金属电池中的实用价值。

【结论】

本研究通过设计多阳离子预设的银锗矿型电解质 Li₅.₅₁₅Ag₀.₀₁W₀.₀₂₅P₀.₉₇₅S₄.₅Cl₁.₅,实现了室温超 10 mS cm⁻¹ 的超离子电导率。电池循环过程中,电解质中预设的银、钨离子可原位脱嵌并修饰锂金属负极,银离子在负极侧被还原为银单质,与锂金属反应形成均匀的锂银合金,为后续锂的均匀沉积与剥离奠定基础;钨则在固态电解质界面相中转化为导电性更优的 LiWS₂,助力界面锂离子的快速传输与电荷转移。该电解质具备优异的抗锂枝晶能力,基于其组装的锂对称电池在 0.5 mA cm⁻² 下可稳定循环超 4000 h,在 1 mA cm⁻² 的较高电流密度下也能稳定循环超 1000 h。依托超高的离子电导率与稳定的负极界面,锂 // 镍钴锰酸锂全固态电池展现出卓越的倍率性能与长循环寿命,2C 倍率下循环 1100 圈后容量保持率仍达 82.7%,且在 - 30 ℃的低温条件下循环 100 圈容量衰减可忽略。该固态电解质还可拓展应用于锂 // 硫全固态电池,在低堆叠压力下 1C 倍率循环 140 圈,比容量仍保持在 1000 mAh g⁻¹ 以上。综上,本研究通过多阳离子预设策略,为超离子固态电解质实现固态电解质界面相的工程化构建与锂金属负极的修饰提供了一种通用、可规模化的方法,为高性能全固态锂金属电池的实际应用开辟了新路径。

链接:https://doi.org/10.1021/jacs.5c20920

点赞,在看,分享,来个一键三连吧!

最新文章

随机文章

基本 文件 流程 错误 SQL 调试
  1. 请求信息 : 2026-05-14 15:30:58 HTTP/2.0 GET : https://b.460.net.cn/a/508522.html
  2. 运行时间 : 0.120466s [ 吞吐率:8.30req/s ] 内存消耗:4,359.82kb 文件加载:140
  3. 缓存信息 : 0 reads,0 writes
  4. 会话信息 : SESSION_ID=39dc22f22ad15af2b16e828e9cd728d3
  1. /yingpanguazai/ssd/ssd1/www/b.460.net.cn/public/index.php ( 0.79 KB )
  2. /yingpanguazai/ssd/ssd1/www/b.460.net.cn/vendor/autoload.php ( 0.17 KB )
  3. /yingpanguazai/ssd/ssd1/www/b.460.net.cn/vendor/composer/autoload_real.php ( 2.49 KB )
  4. /yingpanguazai/ssd/ssd1/www/b.460.net.cn/vendor/composer/platform_check.php ( 0.90 KB )
  5. /yingpanguazai/ssd/ssd1/www/b.460.net.cn/vendor/composer/ClassLoader.php ( 14.03 KB )
  6. /yingpanguazai/ssd/ssd1/www/b.460.net.cn/vendor/composer/autoload_static.php ( 4.90 KB )
  7. /yingpanguazai/ssd/ssd1/www/b.460.net.cn/vendor/topthink/think-helper/src/helper.php ( 8.34 KB )
  8. /yingpanguazai/ssd/ssd1/www/b.460.net.cn/vendor/topthink/think-validate/src/helper.php ( 2.19 KB )
  9. /yingpanguazai/ssd/ssd1/www/b.460.net.cn/vendor/topthink/think-orm/src/helper.php ( 1.47 KB )
  10. /yingpanguazai/ssd/ssd1/www/b.460.net.cn/vendor/topthink/think-orm/stubs/load_stubs.php ( 0.16 KB )
  11. /yingpanguazai/ssd/ssd1/www/b.460.net.cn/vendor/topthink/framework/src/think/Exception.php ( 1.69 KB )
  12. /yingpanguazai/ssd/ssd1/www/b.460.net.cn/vendor/topthink/think-container/src/Facade.php ( 2.71 KB )
  13. /yingpanguazai/ssd/ssd1/www/b.460.net.cn/vendor/symfony/deprecation-contracts/function.php ( 0.99 KB )
  14. /yingpanguazai/ssd/ssd1/www/b.460.net.cn/vendor/symfony/polyfill-mbstring/bootstrap.php ( 8.26 KB )
  15. /yingpanguazai/ssd/ssd1/www/b.460.net.cn/vendor/symfony/polyfill-mbstring/bootstrap80.php ( 9.78 KB )
  16. /yingpanguazai/ssd/ssd1/www/b.460.net.cn/vendor/symfony/var-dumper/Resources/functions/dump.php ( 1.49 KB )
  17. /yingpanguazai/ssd/ssd1/www/b.460.net.cn/vendor/topthink/think-dumper/src/helper.php ( 0.18 KB )
  18. /yingpanguazai/ssd/ssd1/www/b.460.net.cn/vendor/symfony/var-dumper/VarDumper.php ( 4.30 KB )
  19. /yingpanguazai/ssd/ssd1/www/b.460.net.cn/vendor/topthink/framework/src/think/App.php ( 15.30 KB )
  20. /yingpanguazai/ssd/ssd1/www/b.460.net.cn/vendor/topthink/think-container/src/Container.php ( 15.76 KB )
  21. /yingpanguazai/ssd/ssd1/www/b.460.net.cn/vendor/psr/container/src/ContainerInterface.php ( 1.02 KB )
  22. /yingpanguazai/ssd/ssd1/www/b.460.net.cn/app/provider.php ( 0.19 KB )
  23. /yingpanguazai/ssd/ssd1/www/b.460.net.cn/vendor/topthink/framework/src/think/Http.php ( 6.04 KB )
  24. /yingpanguazai/ssd/ssd1/www/b.460.net.cn/vendor/topthink/think-helper/src/helper/Str.php ( 7.29 KB )
  25. /yingpanguazai/ssd/ssd1/www/b.460.net.cn/vendor/topthink/framework/src/think/Env.php ( 4.68 KB )
  26. /yingpanguazai/ssd/ssd1/www/b.460.net.cn/app/common.php ( 0.03 KB )
  27. /yingpanguazai/ssd/ssd1/www/b.460.net.cn/vendor/topthink/framework/src/helper.php ( 18.78 KB )
  28. /yingpanguazai/ssd/ssd1/www/b.460.net.cn/vendor/topthink/framework/src/think/Config.php ( 5.54 KB )
  29. /yingpanguazai/ssd/ssd1/www/b.460.net.cn/config/app.php ( 0.95 KB )
  30. /yingpanguazai/ssd/ssd1/www/b.460.net.cn/config/cache.php ( 0.78 KB )
  31. /yingpanguazai/ssd/ssd1/www/b.460.net.cn/config/console.php ( 0.23 KB )
  32. /yingpanguazai/ssd/ssd1/www/b.460.net.cn/config/cookie.php ( 0.56 KB )
  33. /yingpanguazai/ssd/ssd1/www/b.460.net.cn/config/database.php ( 2.47 KB )
  34. /yingpanguazai/ssd/ssd1/www/b.460.net.cn/vendor/topthink/framework/src/think/facade/Env.php ( 1.67 KB )
  35. /yingpanguazai/ssd/ssd1/www/b.460.net.cn/config/filesystem.php ( 0.61 KB )
  36. /yingpanguazai/ssd/ssd1/www/b.460.net.cn/config/lang.php ( 0.91 KB )
  37. /yingpanguazai/ssd/ssd1/www/b.460.net.cn/config/log.php ( 1.35 KB )
  38. /yingpanguazai/ssd/ssd1/www/b.460.net.cn/config/middleware.php ( 0.19 KB )
  39. /yingpanguazai/ssd/ssd1/www/b.460.net.cn/config/route.php ( 1.89 KB )
  40. /yingpanguazai/ssd/ssd1/www/b.460.net.cn/config/session.php ( 0.57 KB )
  41. /yingpanguazai/ssd/ssd1/www/b.460.net.cn/config/trace.php ( 0.34 KB )
  42. /yingpanguazai/ssd/ssd1/www/b.460.net.cn/config/view.php ( 0.82 KB )
  43. /yingpanguazai/ssd/ssd1/www/b.460.net.cn/app/event.php ( 0.25 KB )
  44. /yingpanguazai/ssd/ssd1/www/b.460.net.cn/vendor/topthink/framework/src/think/Event.php ( 7.67 KB )
  45. /yingpanguazai/ssd/ssd1/www/b.460.net.cn/app/service.php ( 0.13 KB )
  46. /yingpanguazai/ssd/ssd1/www/b.460.net.cn/app/AppService.php ( 0.26 KB )
  47. /yingpanguazai/ssd/ssd1/www/b.460.net.cn/vendor/topthink/framework/src/think/Service.php ( 1.64 KB )
  48. /yingpanguazai/ssd/ssd1/www/b.460.net.cn/vendor/topthink/framework/src/think/Lang.php ( 7.35 KB )
  49. /yingpanguazai/ssd/ssd1/www/b.460.net.cn/vendor/topthink/framework/src/lang/zh-cn.php ( 13.70 KB )
  50. /yingpanguazai/ssd/ssd1/www/b.460.net.cn/vendor/topthink/framework/src/think/initializer/Error.php ( 3.31 KB )
  51. /yingpanguazai/ssd/ssd1/www/b.460.net.cn/vendor/topthink/framework/src/think/initializer/RegisterService.php ( 1.33 KB )
  52. /yingpanguazai/ssd/ssd1/www/b.460.net.cn/vendor/services.php ( 0.14 KB )
  53. /yingpanguazai/ssd/ssd1/www/b.460.net.cn/vendor/topthink/framework/src/think/service/PaginatorService.php ( 1.52 KB )
  54. /yingpanguazai/ssd/ssd1/www/b.460.net.cn/vendor/topthink/framework/src/think/service/ValidateService.php ( 0.99 KB )
  55. /yingpanguazai/ssd/ssd1/www/b.460.net.cn/vendor/topthink/framework/src/think/service/ModelService.php ( 2.04 KB )
  56. /yingpanguazai/ssd/ssd1/www/b.460.net.cn/vendor/topthink/think-trace/src/Service.php ( 0.77 KB )
  57. /yingpanguazai/ssd/ssd1/www/b.460.net.cn/vendor/topthink/framework/src/think/Middleware.php ( 6.72 KB )
  58. /yingpanguazai/ssd/ssd1/www/b.460.net.cn/vendor/topthink/framework/src/think/initializer/BootService.php ( 0.77 KB )
  59. /yingpanguazai/ssd/ssd1/www/b.460.net.cn/vendor/topthink/think-orm/src/Paginator.php ( 11.86 KB )
  60. /yingpanguazai/ssd/ssd1/www/b.460.net.cn/vendor/topthink/think-validate/src/Validate.php ( 63.20 KB )
  61. /yingpanguazai/ssd/ssd1/www/b.460.net.cn/vendor/topthink/think-orm/src/Model.php ( 23.55 KB )
  62. /yingpanguazai/ssd/ssd1/www/b.460.net.cn/vendor/topthink/think-orm/src/model/concern/Attribute.php ( 21.05 KB )
  63. /yingpanguazai/ssd/ssd1/www/b.460.net.cn/vendor/topthink/think-orm/src/model/concern/AutoWriteData.php ( 4.21 KB )
  64. /yingpanguazai/ssd/ssd1/www/b.460.net.cn/vendor/topthink/think-orm/src/model/concern/Conversion.php ( 6.44 KB )
  65. /yingpanguazai/ssd/ssd1/www/b.460.net.cn/vendor/topthink/think-orm/src/model/concern/DbConnect.php ( 5.16 KB )
  66. /yingpanguazai/ssd/ssd1/www/b.460.net.cn/vendor/topthink/think-orm/src/model/concern/ModelEvent.php ( 2.33 KB )
  67. /yingpanguazai/ssd/ssd1/www/b.460.net.cn/vendor/topthink/think-orm/src/model/concern/RelationShip.php ( 28.29 KB )
  68. /yingpanguazai/ssd/ssd1/www/b.460.net.cn/vendor/topthink/think-helper/src/contract/Arrayable.php ( 0.09 KB )
  69. /yingpanguazai/ssd/ssd1/www/b.460.net.cn/vendor/topthink/think-helper/src/contract/Jsonable.php ( 0.13 KB )
  70. /yingpanguazai/ssd/ssd1/www/b.460.net.cn/vendor/topthink/think-orm/src/model/contract/Modelable.php ( 0.09 KB )
  71. /yingpanguazai/ssd/ssd1/www/b.460.net.cn/vendor/topthink/framework/src/think/Db.php ( 2.88 KB )
  72. /yingpanguazai/ssd/ssd1/www/b.460.net.cn/vendor/topthink/think-orm/src/DbManager.php ( 8.52 KB )
  73. /yingpanguazai/ssd/ssd1/www/b.460.net.cn/vendor/topthink/framework/src/think/Log.php ( 6.28 KB )
  74. /yingpanguazai/ssd/ssd1/www/b.460.net.cn/vendor/topthink/framework/src/think/Manager.php ( 3.92 KB )
  75. /yingpanguazai/ssd/ssd1/www/b.460.net.cn/vendor/psr/log/src/LoggerTrait.php ( 2.69 KB )
  76. /yingpanguazai/ssd/ssd1/www/b.460.net.cn/vendor/psr/log/src/LoggerInterface.php ( 2.71 KB )
  77. /yingpanguazai/ssd/ssd1/www/b.460.net.cn/vendor/topthink/framework/src/think/Cache.php ( 4.92 KB )
  78. /yingpanguazai/ssd/ssd1/www/b.460.net.cn/vendor/psr/simple-cache/src/CacheInterface.php ( 4.71 KB )
  79. /yingpanguazai/ssd/ssd1/www/b.460.net.cn/vendor/topthink/think-helper/src/helper/Arr.php ( 16.63 KB )
  80. /yingpanguazai/ssd/ssd1/www/b.460.net.cn/vendor/topthink/framework/src/think/cache/driver/File.php ( 7.84 KB )
  81. /yingpanguazai/ssd/ssd1/www/b.460.net.cn/vendor/topthink/framework/src/think/cache/Driver.php ( 9.03 KB )
  82. /yingpanguazai/ssd/ssd1/www/b.460.net.cn/vendor/topthink/framework/src/think/contract/CacheHandlerInterface.php ( 1.99 KB )
  83. /yingpanguazai/ssd/ssd1/www/b.460.net.cn/app/Request.php ( 0.09 KB )
  84. /yingpanguazai/ssd/ssd1/www/b.460.net.cn/vendor/topthink/framework/src/think/Request.php ( 55.78 KB )
  85. /yingpanguazai/ssd/ssd1/www/b.460.net.cn/app/middleware.php ( 0.25 KB )
  86. /yingpanguazai/ssd/ssd1/www/b.460.net.cn/vendor/topthink/framework/src/think/Pipeline.php ( 2.61 KB )
  87. /yingpanguazai/ssd/ssd1/www/b.460.net.cn/vendor/topthink/think-trace/src/TraceDebug.php ( 3.40 KB )
  88. /yingpanguazai/ssd/ssd1/www/b.460.net.cn/vendor/topthink/framework/src/think/middleware/SessionInit.php ( 1.94 KB )
  89. /yingpanguazai/ssd/ssd1/www/b.460.net.cn/vendor/topthink/framework/src/think/Session.php ( 1.80 KB )
  90. /yingpanguazai/ssd/ssd1/www/b.460.net.cn/vendor/topthink/framework/src/think/session/driver/File.php ( 6.27 KB )
  91. /yingpanguazai/ssd/ssd1/www/b.460.net.cn/vendor/topthink/framework/src/think/contract/SessionHandlerInterface.php ( 0.87 KB )
  92. /yingpanguazai/ssd/ssd1/www/b.460.net.cn/vendor/topthink/framework/src/think/session/Store.php ( 7.12 KB )
  93. /yingpanguazai/ssd/ssd1/www/b.460.net.cn/vendor/topthink/framework/src/think/Route.php ( 23.73 KB )
  94. /yingpanguazai/ssd/ssd1/www/b.460.net.cn/vendor/topthink/framework/src/think/route/RuleName.php ( 5.75 KB )
  95. /yingpanguazai/ssd/ssd1/www/b.460.net.cn/vendor/topthink/framework/src/think/route/Domain.php ( 2.53 KB )
  96. /yingpanguazai/ssd/ssd1/www/b.460.net.cn/vendor/topthink/framework/src/think/route/RuleGroup.php ( 22.43 KB )
  97. /yingpanguazai/ssd/ssd1/www/b.460.net.cn/vendor/topthink/framework/src/think/route/Rule.php ( 26.95 KB )
  98. /yingpanguazai/ssd/ssd1/www/b.460.net.cn/vendor/topthink/framework/src/think/route/RuleItem.php ( 9.78 KB )
  99. /yingpanguazai/ssd/ssd1/www/b.460.net.cn/route/app.php ( 1.72 KB )
  100. /yingpanguazai/ssd/ssd1/www/b.460.net.cn/vendor/topthink/framework/src/think/facade/Route.php ( 4.70 KB )
  101. /yingpanguazai/ssd/ssd1/www/b.460.net.cn/vendor/topthink/framework/src/think/route/dispatch/Controller.php ( 4.74 KB )
  102. /yingpanguazai/ssd/ssd1/www/b.460.net.cn/vendor/topthink/framework/src/think/route/Dispatch.php ( 10.44 KB )
  103. /yingpanguazai/ssd/ssd1/www/b.460.net.cn/app/controller/Index.php ( 4.81 KB )
  104. /yingpanguazai/ssd/ssd1/www/b.460.net.cn/app/BaseController.php ( 2.05 KB )
  105. /yingpanguazai/ssd/ssd1/www/b.460.net.cn/vendor/topthink/think-orm/src/facade/Db.php ( 0.93 KB )
  106. /yingpanguazai/ssd/ssd1/www/b.460.net.cn/vendor/topthink/think-orm/src/db/connector/Mysql.php ( 5.44 KB )
  107. /yingpanguazai/ssd/ssd1/www/b.460.net.cn/vendor/topthink/think-orm/src/db/PDOConnection.php ( 52.47 KB )
  108. /yingpanguazai/ssd/ssd1/www/b.460.net.cn/vendor/topthink/think-orm/src/db/Connection.php ( 8.39 KB )
  109. /yingpanguazai/ssd/ssd1/www/b.460.net.cn/vendor/topthink/think-orm/src/db/ConnectionInterface.php ( 4.57 KB )
  110. /yingpanguazai/ssd/ssd1/www/b.460.net.cn/vendor/topthink/think-orm/src/db/builder/Mysql.php ( 16.58 KB )
  111. /yingpanguazai/ssd/ssd1/www/b.460.net.cn/vendor/topthink/think-orm/src/db/Builder.php ( 24.06 KB )
  112. /yingpanguazai/ssd/ssd1/www/b.460.net.cn/vendor/topthink/think-orm/src/db/BaseBuilder.php ( 27.50 KB )
  113. /yingpanguazai/ssd/ssd1/www/b.460.net.cn/vendor/topthink/think-orm/src/db/Query.php ( 15.71 KB )
  114. /yingpanguazai/ssd/ssd1/www/b.460.net.cn/vendor/topthink/think-orm/src/db/BaseQuery.php ( 45.13 KB )
  115. /yingpanguazai/ssd/ssd1/www/b.460.net.cn/vendor/topthink/think-orm/src/db/concern/TimeFieldQuery.php ( 7.43 KB )
  116. /yingpanguazai/ssd/ssd1/www/b.460.net.cn/vendor/topthink/think-orm/src/db/concern/AggregateQuery.php ( 3.26 KB )
  117. /yingpanguazai/ssd/ssd1/www/b.460.net.cn/vendor/topthink/think-orm/src/db/concern/ModelRelationQuery.php ( 20.07 KB )
  118. /yingpanguazai/ssd/ssd1/www/b.460.net.cn/vendor/topthink/think-orm/src/db/concern/ParamsBind.php ( 3.66 KB )
  119. /yingpanguazai/ssd/ssd1/www/b.460.net.cn/vendor/topthink/think-orm/src/db/concern/ResultOperation.php ( 7.01 KB )
  120. /yingpanguazai/ssd/ssd1/www/b.460.net.cn/vendor/topthink/think-orm/src/db/concern/WhereQuery.php ( 19.37 KB )
  121. /yingpanguazai/ssd/ssd1/www/b.460.net.cn/vendor/topthink/think-orm/src/db/concern/JoinAndViewQuery.php ( 7.11 KB )
  122. /yingpanguazai/ssd/ssd1/www/b.460.net.cn/vendor/topthink/think-orm/src/db/concern/TableFieldInfo.php ( 2.63 KB )
  123. /yingpanguazai/ssd/ssd1/www/b.460.net.cn/vendor/topthink/think-orm/src/db/concern/Transaction.php ( 2.77 KB )
  124. /yingpanguazai/ssd/ssd1/www/b.460.net.cn/vendor/topthink/framework/src/think/log/driver/File.php ( 5.96 KB )
  125. /yingpanguazai/ssd/ssd1/www/b.460.net.cn/vendor/topthink/framework/src/think/contract/LogHandlerInterface.php ( 0.86 KB )
  126. /yingpanguazai/ssd/ssd1/www/b.460.net.cn/vendor/topthink/framework/src/think/log/Channel.php ( 3.89 KB )
  127. /yingpanguazai/ssd/ssd1/www/b.460.net.cn/vendor/topthink/framework/src/think/event/LogRecord.php ( 1.02 KB )
  128. /yingpanguazai/ssd/ssd1/www/b.460.net.cn/vendor/topthink/think-helper/src/Collection.php ( 16.47 KB )
  129. /yingpanguazai/ssd/ssd1/www/b.460.net.cn/vendor/topthink/framework/src/think/facade/View.php ( 1.70 KB )
  130. /yingpanguazai/ssd/ssd1/www/b.460.net.cn/vendor/topthink/framework/src/think/View.php ( 4.39 KB )
  131. /yingpanguazai/ssd/ssd1/www/b.460.net.cn/vendor/topthink/framework/src/think/Response.php ( 8.81 KB )
  132. /yingpanguazai/ssd/ssd1/www/b.460.net.cn/vendor/topthink/framework/src/think/response/View.php ( 3.29 KB )
  133. /yingpanguazai/ssd/ssd1/www/b.460.net.cn/vendor/topthink/framework/src/think/Cookie.php ( 6.06 KB )
  134. /yingpanguazai/ssd/ssd1/www/b.460.net.cn/vendor/topthink/think-view/src/Think.php ( 8.38 KB )
  135. /yingpanguazai/ssd/ssd1/www/b.460.net.cn/vendor/topthink/framework/src/think/contract/TemplateHandlerInterface.php ( 1.60 KB )
  136. /yingpanguazai/ssd/ssd1/www/b.460.net.cn/vendor/topthink/think-template/src/Template.php ( 46.61 KB )
  137. /yingpanguazai/ssd/ssd1/www/b.460.net.cn/vendor/topthink/think-template/src/template/driver/File.php ( 2.41 KB )
  138. /yingpanguazai/ssd/ssd1/www/b.460.net.cn/vendor/topthink/think-template/src/template/contract/DriverInterface.php ( 0.86 KB )
  139. /yingpanguazai/ssd/ssd1/www/b.460.net.cn/runtime/temp/b35eef690f41e64ad9e1c098cfc7d3bc.php ( 11.98 KB )
  140. /yingpanguazai/ssd/ssd1/www/b.460.net.cn/vendor/topthink/think-trace/src/Html.php ( 4.42 KB )
  1. CONNECT:[ UseTime:0.000419s ] mysql:host=127.0.0.1;port=3306;dbname=b460;charset=utf8mb4
  2. SHOW FULL COLUMNS FROM `fenlei` [ RunTime:0.000573s ]
  3. SELECT * FROM `fenlei` WHERE `fid` = 0 [ RunTime:0.015903s ]
  4. SELECT * FROM `fenlei` WHERE `fid` = 63 [ RunTime:0.005297s ]
  5. SHOW FULL COLUMNS FROM `set` [ RunTime:0.000787s ]
  6. SELECT * FROM `set` [ RunTime:0.003409s ]
  7. SHOW FULL COLUMNS FROM `article` [ RunTime:0.000687s ]
  8. SELECT * FROM `article` WHERE `id` = 508522 LIMIT 1 [ RunTime:0.001098s ]
  9. UPDATE `article` SET `lasttime` = 1778743858 WHERE `id` = 508522 [ RunTime:0.000499s ]
  10. SELECT * FROM `fenlei` WHERE `id` = 65 LIMIT 1 [ RunTime:0.000306s ]
  11. SELECT * FROM `article` WHERE `id` < 508522 ORDER BY `id` DESC LIMIT 1 [ RunTime:0.000600s ]
  12. SELECT * FROM `article` WHERE `id` > 508522 ORDER BY `id` ASC LIMIT 1 [ RunTime:0.002329s ]
  13. SELECT * FROM `article` WHERE `id` < 508522 ORDER BY `id` DESC LIMIT 10 [ RunTime:0.009903s ]
  14. SELECT * FROM `article` WHERE `id` < 508522 ORDER BY `id` DESC LIMIT 10,10 [ RunTime:0.001121s ]
  15. SELECT * FROM `article` WHERE `id` < 508522 ORDER BY `id` DESC LIMIT 20,10 [ RunTime:0.002899s ]
0.122031s