当前位置:首页>南京>南京工业大学,中国林科院林产化学工业研究所 | 周栋,尹浩然,刘定华,等:竹基活性炭强化二乙醇胺水溶液吸收CO₂

南京工业大学,中国林科院林产化学工业研究所 | 周栋,尹浩然,刘定华,等:竹基活性炭强化二乙醇胺水溶液吸收CO₂

  • 2026-04-22 21:12:46
南京工业大学,中国林科院林产化学工业研究所 | 周栋,尹浩然,刘定华,等:竹基活性炭强化二乙醇胺水溶液吸收CO₂
文章详情

竹基活性炭强化二乙醇胺水溶液吸收CO2的性能

周栋1,尹浩然2,徐庆强1,陈义峰2,孙康2,刘定华1

1南京工业大学化工学院,江苏 南京 211816;2中国林业科学研究院林产化学工业研究所,江苏 南京 210042

引用本文

周栋, 尹浩然, 徐庆强, 等. 竹基活性炭强化二乙醇胺水溶液吸收CO2的性能[J]. 化工进展, 2026, 45(2): 711-721.

>>DOI:10.16085/j.issn.1000-6613.2025-0236

摘 要

Abstract

CO2在二乙醇胺(DEA)溶液中的扩散阻力较大是导致其吸收速率慢的主要原因,通过引入少量竹基活性炭(BAC),显著降低CO2吸收过程的扩散阻力,进而有效强化DEA溶液对CO2的吸收速率。本研究通过调节竹炭(BC)与氢氧化钾(KOH)活化剂的比例,制备了5种孔径分布不同的BAC,开发了用于CO2吸收(吸附)的质量分数30% DEA-BAC-H2O体系,系统测定并计算该体系的CO2吸收(吸附)速率、吸收(吸附)容量及解吸焓,并与商业吸收剂进行对比。结果表明,当BC与KOH质量比为1∶2时,所制备的BAC1∶2拥有发达的比表面积与微孔体积(孔径≤1nm),此时CO2在30% DEA-1% BAC1∶2-H2O中的吸收(吸附)速率分别是30% DEA-H2O和25.5% DEA-4.5%哌嗪(PZ)-H2O(商业化吸收剂)的7倍和3.5倍,同时该体系的CO2吸收(吸附)容量适中且CO2解吸焓相对25.5% DEA-4.5% PZ-H2O下降25%,表现出较好的工业化应用前景。

大气中二氧化碳(CO2)浓度的增加及其引发的全球气候变化问题,在过去的几十年中受到了广泛关注,为了应对这一挑战,降低大气中CO2浓度已成为亟待解决的关键问题。目前,CO2捕集技术主要包括吸附、吸收、膜分离等方法,其中,化学吸收因其效率高、选择性强和工业化程度高,成为当前应用最广泛的技术之一。众多的化学吸收剂中,二乙醇胺(DEA)因其成本低、反应活性高及腐蚀性低等优势而被广泛关注,然而,DEA溶液相对其他有机胺体系的CO2吸收速率低,导致吸收装置的尺寸较大且CO2捕集能耗较高。因此,需要进一步构筑基于DEA溶液的高效CO2捕集体系,以提高CO2在DEA溶液中的吸收速率,从而提高CO2捕集效率和CO2降低捕集成本。

近年来,针对CO2在DEA溶液中的吸收动力学强化和反应机制进行了广泛研究。例如,在DEA溶液中引入传统活化剂——哌嗪(PZ),可以显著加快DEA与CO2的反应动力学,大幅提升CO2在DEA溶液中的吸收速率,同时,通过单乙醇胺(MEA)与DEA的协同效应也可以提高DEA溶液对CO2的吸收速率。然而,通过调控DEA与CO2间的化学反应以提高反应速率,会不可避免地引起解吸过程能耗增加。根据非平衡热力学原理可知,降低CO2在DEA溶液中的扩散阻力和增大气液接触面积同样可有效提升CO2吸收速率,如添加固体材料等。前期在连续搅拌鼓泡塔中添加0.01%~0.10%(质量分数)的二氧化钛(TiO2)可以使CO2在DEA溶液中的吸收速率提升25.2%~43.8%。然而,传统的固体材料,如TiO2、二氧化铝和二氧化硅等,生产成本较高(尤其是高纯度或纳米级),使其很难实现大规模应用。因此,亟需开发低成本且性能优异的固体材料,进一步提升DEA溶液吸收CO2的速率,从而为高效吸收技术的推广与应用提供支持。

相较于传统固体材料,活性炭(AC)本身对CO2具有物理吸附能力,其表面含氧官能团等进一步增强与胺基的协同作用,并且还能利用孔隙结构延长CO2停留时间。而传统固体材料主要通过传质强化作用促进反应,需依赖胺溶液的化学反应,缺乏独立吸附能力。此外,AC的毒性和环境风险较低,且可回收利用。而传统固体材料在长期使用中可能因释放到环境中引发生态问题,需额外考虑安全性。因此,AC作为一种工艺成熟且成本较低的固体材料,在CO2捕集领域已广泛应用。例如,发现AC凭借其发达的多孔结构和优异的比表面积,CO2吸附容量能达到8.44mmol/g。同时,将AC引入溶液中形成浆料体系,同样能够发挥良好的CO2吸附性能。发现混合体系中AC的存在可以显著提高CO2吸收(吸附)速率。此外,在高压水洗分离CO2工艺中引入AC,发现CO2在混合体系中的吸收(吸附)速率相较于纯水体系提高了57%。上述强化均可以归结于活性炭的微孔结构(尤其是小于1.0nm的孔隙)可以促进CO2分子在孔隙中的扩散。另一方面,将AC引入有机胺溶液中,也能显著提升CO2吸收速率。在MEA溶液中添加废核桃壳制备的AC,CO2吸收(吸附)速率可以提升1.5倍,其强化机制与上述研究类似。因此,在DEA溶液中引入AC也成为一种提升CO2吸收速率的潜在策略。

竹基活性炭(BAC)因其高比表面积和优异的孔隙结构而被广泛关注,表现出优异的CO2捕集性能;同时,我国竹子资源极为丰富,竹材作为一种生长速度快、储量充足的可再生资源,具有广泛的开发与利用价值。相较于椰壳活性炭价格区间为7000~12000CNY/t,而竹基活性炭因原料和工艺成本优势,价格约为其60%,更适合低成本场景应用。BAC在273.2K和0.1MPa下的CO2吸附容量高达7.0mmol/g,明显高于其他碳材料。然而,BAC不仅具有优异的CO2吸附容量,还展现出显著的速率提升效果。例如,质量分数7%的BAC水溶液相较于纯水体系,CO2吸收(吸附)速率提升了2.7倍。因此,在DEA溶液中引入BAC以提高CO2吸收速率具有巨大的应用潜力。此外,采用氢氧化钾(KOH)作为活化剂制得的BAC呈现发达的微孔结构,孔径集中分布于0.7~1.0nm,上述孔径分布对CO2表现出显著的吸附优势。

本文通过在DEA溶液中引入BAC以提高CO2吸收速率,通过控制BC/KOH的质量比调节BAC的孔径结构,开发了用于CO2吸收(吸附)的DEA-BAC-H2O体系,系统测定和计算了该体系中的CO2吸收(吸附)速率、吸收(吸附)容量及解吸焓等,并与商业化的吸收剂进行对比,所开发的30% DEA-1% BAC1∶2-H2O(质量分数,下同)表现出较好的工业化应用前景。

01

材料与方法

1.1

  材料

N2和CO2(体积分数>99.9%),南京麦克斯南分特种气体有限公司;DEA(质量分数>99.7%),上海凌峰化学试剂有限公司;KOH,西陇科学股份有限公司;HCl,国药集团化学试剂有限公司。

BAC的制备:原竹样品购自中国南京市当地市场,经过切割成约2cm宽的样品后,利用流动自来水彻底清洗,以去除表面附着的杂质,随后使用383.2K的烘箱进行24h干燥。竹材样品首先通过热解法进行碳化,约200g的竹材样品被置于管式炉中,以氮气为保护气,以5K/min的升温速率升至873.2K,保温2h,自然冷却至室温后回收碳化材料。为了提高碳化材料的孔隙结构和比表面积,采用KOH作为活化剂,并通过调节BC/KOH的质量比(1∶0.5、1∶1、1∶2、1∶3和1∶4)进行活化处理。活化前,BC被粉碎至平均粒径71.0μm,并在423.2K的鼓风干燥炉中干燥5h。将竹炭(BC)与KOH按预设质量比置于研钵中机械研磨,直至KOH块体完全转化为粉末并与BC达成均相分散。活化过程在马弗炉中进行,温度由308K升至1073K,升温速率为5K/min,活化温度保持在1073K维持1h。活化完成后,样品自然冷却至室温。然后使用1.0mol/L的HCl水溶液冲洗活化材料,直至pH=1。随后,过滤并用去离子水彻底洗涤,直至洗涤液的pH降至中性,最后在室温下储存在气密负压干燥器中。

1.2

  实验方法

1.2.1  CO2吸收(吸附)容量和速率测定

CO2吸收(吸附)容量和速率测量的实验装置如图1所示,主要包括一个储气罐和带有磁力搅拌器的平衡釜。装置中的储气罐和平衡釜的温度由水浴系统控制,温度的误差为0.1K。压力监测采用两台压力传感器(Rosemount 2088G),其测量误差为±1kPa。实验中,将约10.0mL的混合体系放置于平衡釜内,并通过真空泵进行脱气处理(压力<0.012MPa)。随后,稳定平衡釜内的初始压力15min,记录压力值为p0。实验开始时,在3s内向平衡釜中注入一定量的CO2,同时启动磁力搅拌器,并将其转速维持在200r/min,以确保形成平滑的气液界面。在实验前10min内,数据采集系统每2s记录一次平衡釜内的压力变化。为保证实验结果的可靠性,需尽量保持实验过程中初始CO2分压的一致性。当平衡釜内的压力保持恒定在2h以上,可视为混合体系的CO2吸收(吸附)达到平衡状态。根据平衡釜内的CO2压力在吸收(吸附)前后的变化,计算混合体系中CO2吸收(吸附)的平衡量。此外,所有实验均重复进行3次,并以平均值作为最终结果。

图1 实验装置

1—自动数据采集系统;2—数据采集器;3、4—压力表;5—CO2气瓶;6、7、12、13—阀门;8—储气罐;9—水浴;10—平衡釜;11—磁力搅拌器

混合吸收(吸附)剂中的CO2摩尔浓度由式(1)、式(2)计算得到。

式中,n(CO2)为CO2的摩尔量,mol;p1p2分别为初始和平衡状态下的CO2分压,Pa;pV为平衡釜中的初始压力,Pa;VCVL分别为平衡釜和混合体系的体积,cm3Z1Z2为对应状态下的CO2压缩因子(采用第二维里系数进行计算);T为开尔文温度,K;R为气体常数,R=8.314J/(mol·K);mL为混合体系的质量,g;C(CO2)为CO2的摩尔浓度,mol/g。

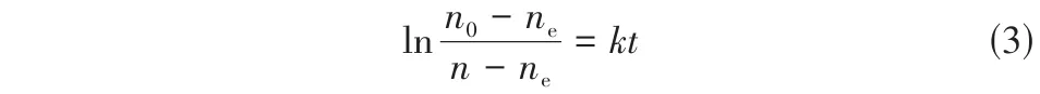
根据Damping-Film理论,表观吸收(吸附)速率常数(k)可以通过式(3)计算。

式中,nt时刻平衡釜内的CO2摩尔量,mol;n0ne分别为初始时刻和平衡时的CO2摩尔量,mol;k为表观吸收(吸附)速率常数,s-1

需特别指出,该混合体系呈现DEA溶液化学吸收与BAC物理吸附的多机制协同效应。在气-液-固多相耦合的传质过程中,使用表观吸收(吸附)速率常数来描述其动力学更为妥善。区别于本征速率常数k需通过特定实验条件下的计算获得。该参数通过系统整合传质阻力和反应动力学的耦合效应,实现了对多相反应体系动态过程的综合评价,其数值结果本质上反映了宏观层面的动态特性参数。

1.2.2  CO2传质阻力分析

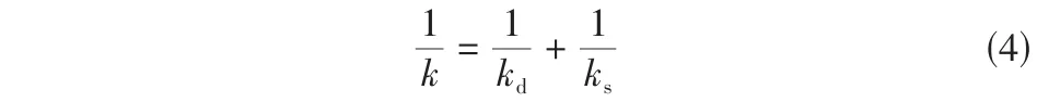
根据非平衡热力学理论,CO2在混合体系中的传递阻力(1/k)可以进一步分解为扩散阻力(1/kd)与反应阻力(1/ks),如式(4)所示。

1.2.3  CO2解吸焓计算

CO2解吸焓(ΔH)是衡量混合体系再生能耗的重要指标,其数值可由Gibbs-Helmholtz方程求出,如式(5)所示。

式中,p为特定吸收(吸附)容量时的CO2平衡分压,kPa;ΔH为解吸焓,kJ/mol。

1.2.4  混合体系循环实验

如图2所示,再生实验采用三口烧瓶于油浴锅中进行,系统压力设定为大气压,温度维持在373.2K,实验持续时间为60min。此外,为保证混合吸收(吸附)剂中H2O的恒定浓度,在再生过程中适量补加H2O,以确保体系在后续CO2吸收(吸附)实验中的稳定性。

图2 循环实验装置

1—支架;2—油浴锅;3—三口烧瓶;4—磁力搅拌器

1.3

  表征与测试

BAC的孔径分布采用全自动比表面积及孔径分析仪(ASAP 2460,美国Micromeritics)进行表征,通过Brunauer-Emmet-Teller(BET)方程计算BAC的比表面积,并使用非局域密度泛函数理论(NLDFT)计算BAC的孔隙结构;采用扫描电子显微镜(SEM,Zeiss Gemini Sigma 300 VP SEM)分析样品的表面形貌;采用热重分析仪(STA 8000)分析样品的热稳定性。

02

结果和讨论

2.1

  表征分析

2.1.1  BAC表面形貌

图3为5种不同KOH活化比例BAC的SEM图像,其中BC为对照组。结果表明,随着KOH质量比的增加,KOH的腐蚀作用更为明显,这导致BAC的表面逐渐表现出更为粗糙的特征。同时,BAC1∶2的表面出现了更多明显的空洞,证明KOH在活化过程中起到了良好的作用。值得注意的是,当BC/KOH质量比超过1∶2时,孔隙的体积进一步增加,这有利于CO2扩散进入BAC的内部。因此,BC/KOH的质量比≥1∶2时,特别适合用于制备具有发达孔结构的BAC。但当BC/KOH质量比为1∶4时,BAC表面的微孔孔径进一步增大,这一现象与表1中的数据相吻合。

图3 不同BC/KOH质量比的竹炭(BC)和竹基活性炭(BAC)的SEM图

2.1.2  BAC的比表面积和孔径分布

实验获得BAC的N2吸附-脱附等温线,通过BET模型计算BAC的比表面积,并采用NLDFT理论计算BAC的孔径分布,结果如图4和表1所示。由图4(a)可知,所有样品的N2吸附-脱附曲线均为Ⅰ型吸附曲线。在低压力区域(相对压力<0.2),BAC对N2的吸附量迅速上升,表明BAC存在一定量的微孔(孔径<1nm),其中,BAC1∶2和BAC1∶3的低压N2吸附量最大,BAC1∶0.5的低压N2吸附量最少,说明BAC1∶2和BAC1∶3微孔的孔体积要显著大于BAC1∶0.5。在中高压时,所有样品并未发现明显的吸附量上升,说明5种BAC样品均无介孔和大孔结构。从图4(b)和表1可知,随着KOH与BC的质量比增加,BAC的比表面积和总孔体积均呈现先增后降的趋势,BAC1∶2的样品在孔径小于1.0nm范围内表现出最高的孔体积,并且在BAC1∶3时比表面积和总孔体积达到最大值。上述现象可以解释为:由于KOH活化过程对BC表面逐步增强的侵蚀作用,所以BC随着KOH比例的增加侵蚀效果愈加显著。当BC/KOH质量比达到1∶2和1∶3时,BAC1∶2和BAC1∶3表现出了优异的微孔结构特性,其中BAC1∶2在孔径小于1.0nm范围内的微孔占比更高,而BAC1∶3则具有更宽的孔径分布。

表1 BAC的比表面积、总孔容和微孔孔容

图4 BAC的N2吸附-脱附等温线和孔径分布

2.1.3  热失重分析

图5为BAC及其活化前体在1073.2K下的热稳定性特征。TGA数据不仅可表征前体的碳含量(作为活性炭制备工艺的关键参数),更揭示了材料热分解过程的阶段性特征:423.2K以下的失重(约7%)源于材料中游离水分的脱附,而423.2K以上则进入碳化主导阶段。由于研究对象为禾本科植物源生物质材料,其组分包含半纤维素(热降解起始温度>427.2K)、纤维素(>523.2K)及木质素(>553.2K),且微量无机组分在热解过程中亦对质量损失产生显著影响。具体而言,BC样品在553.2~798.2K温区呈现显著质量下降,该现象源于挥发性有机组分的逸散及生物质骨架结构的解构。相比之下,BAC在相同温区未表现出明显的热敏感性,其423.2K以上失重曲线仅对应吸附水的脱除过程。这一差异表明活化工艺有效提升了材料的热稳定性,可能通过孔隙结构调控及表面官能团改性抑制了高温分解反应的发生。

图5 BAC及其活化前体的热失重分析

2.2

  实验测定准确性验证

在测定CO2在混合体系中吸收(吸附)容量和速率前,首先测定CO2在30% DEA-H2O溶液中的吸收容量(温度为313.2K),以验证测量方法的准确性。如图6所示,本研究中测量的CO2在30% DEA-H2O溶液中的吸收容量和文献报道结果呈现出高度的一致性,该结果证明了本研究测量的可靠性。

图6 CO2在30% DEA-H2O中的吸收容量

(温度为313.2K)

2.3

  CO2在DEA-BAC-H2O中的吸收(吸附)速率

2.3.1  CO2吸收(吸附)速率测定

测定了CO2在30% DEA-1% BAC-H2O中的吸收(吸附)速率(温度为313.2K),同时与CO2在30% DEA-H2O和25.5% DEA-4.5% PZ-H2O(商业吸收剂)中的吸收(吸附)速率作对比。CO2在6种混合体系及30% DEA-H2O中的p-t曲线如图7所示,其中,CO2分压下降速率越快则代表吸收(吸附)速率越快。可以看出,5种不同活化比例的BAC均能明显提升CO2在DEA溶液中的吸收(吸附)速率,同时CO2吸收(吸附)速率均高于25.5% DEA-4.5% PZ-H2O。当BC/KOH质量比提升至1∶2时,CO2在30% DEA-1% BAC1∶2-H2O中的吸收(吸附)速率达到最高。此外,BAC1∶3和BAC1∶4存在的30% DEA-1% BAC-H2O体系对CO2吸收(吸附)速率相近,即上述BAC的孔径分布对CO2吸收(吸附)速率的影响类似。

7 CO2在混合体系中的吸收(吸附)速率

2.3.2  表观吸收(吸附)速率常数

基于式(3)和图7,计算得到CO2在30% DEA-1% BAC-H2O、25.5% DEA-4.5% PZ-H2O和30% DEA-H2O中的表观吸收(吸附)速率常数,为确保实验结果的一致性,选取CO2吸收(吸附)开始后120s的测量数据用于速率常数计算。如图8(a)所示,ln[(n0-ne)/(n-ne)]与t呈线性关系,k为该直线的斜率。CO2在30% DEA-1% BAC-H2O、25.5% DEA-4.5% PZ-H2O和30% DEA-H2O中k值如图8(b)所示,CO2在30% DEA-1% BAC1∶2-H2O中的k值最高,为1.85×10-2s-1;同时,其余混合体系中添加BAC1∶0.5、BAC1∶1、BAC1∶3和BAC1∶4k值分别为8.16×10-3s-1、1.52×10-2s-1、1.81×10-2s-1和1.8×10-2s-1;此外,CO2在25.5% DEA-4.5% PZ-H2O和30% DEA-H2O中的k值仅为5.25×10-3s-1和2.6×10-3s-1。因此,30% DEA-1% BAC-H2O相对30% DEA-H2O的CO2表观吸收(吸附)速率常数均明显提升,特别是CO2在30% DEA-1% BAC1∶2-H2O的表观吸收(吸附)速率常数相较于30% DEA-H2O和25.5% DEA-4.5% PZ-H2O分别提高7倍和3.5倍。

图8 CO2在混合体系中的吸收(吸附)速率常数计算与数值

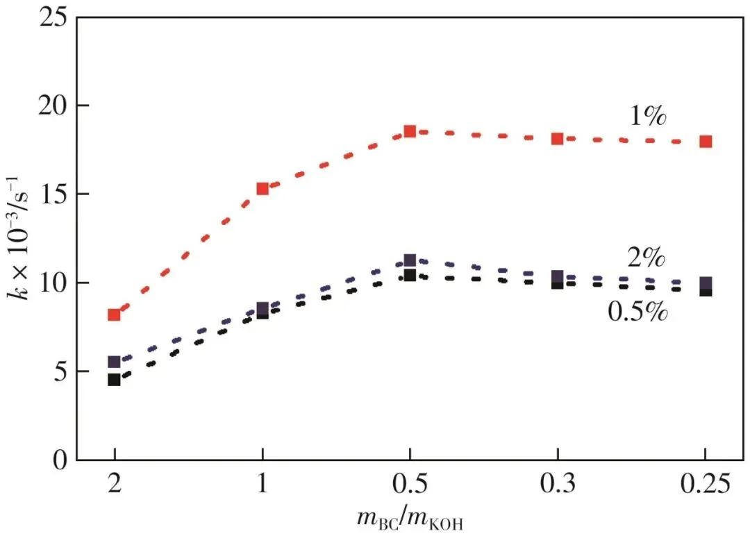
为进一步探讨BAC添加量对表观吸收(吸附)速率常数的影响,图9展示了不同BAC添加量(0.5%、1%和2%)下30% DEA-BAC-H2O体系的k值变化。在相同BAC添加量条件下,随着BC/KOH质量比的减小,CO2在30% DEA-BAC-H2O体系中的k值呈现先增大后减小的趋势,这一现象可以归因于BC/KOH质量比变化导致的不同BAC孔径结构。当BC/KOH的质量比为1∶2时,CO2在30% DEA-BAC-H2O体系中的k值达到最高,该现象可以归结于BAC1∶2具有合适的比表面积和最高的微孔体积(孔径小于1.0nm)。进一步对比不同BAC添加量的曲线发现,当BAC添加量从0.5%增加至1%时,CO2表观吸收(吸附)速率常数显著提升,然而,当BAC添加量从1%增加至2%时,CO2吸收(吸附)速率常数却明显下降。例如,30% DEA-1% BAC1∶2-H2O体系中,当BAC1∶2添加量分别为0.5%、1%和2%时,k值分别为9.5×10-3s-1、1.85×10-2s-1和1.0×10-2s-1。上述现象可以归因于不同固含量导致的作用机制差异,当BAC添加量较低时(质量分数≤1%),BAC的引入显著增强了CO2扩散速率,即BAC通过穿梭效应在CO2高浓度区域吸附气体并在低浓度区域解吸至液相主体中,随后回到高浓度区域,这一动态过程显著提高了CO2的扩散效率,即使在BAC较低浓度下,其高比表面积仍能有效增强CO2扩散过程。然而,当BAC添加量超过1%时,BAC的团聚效应显著,从而降低有效比表面积及CO2扩散速率,导致CO2吸收(吸附)速率下降。因此,适量的BAC引入可以有效提升DEA体系的CO2扩散速率,但BAC含量过高可能因颗粒团聚导致CO2吸收(吸附)速率下降。

图9 CO2在不同添加量的30% DEA-BAC-H2O体系中的表观吸收(吸附)速率常数

2.3.3  CO2在30% DEA-1% BAC-H2O中传质阻力分析及强化机制

根据式(4)对传质阻力的分析,将30% DEA-H2O的传质阻力减去各混合体系表观吸收(吸附)速率常数的倒数后除以30% DEA-H2O的传质阻力,可进一步计算出在30% DEA-H2O中分别引入PZ或BAC后传质阻力的降低比例。如图10所示,CO2在30% DEA-1% BAC-H2O中的传质阻力相对30% DEA-H2O降低68%~86%,明显高于25.5% DEA-4.5% PZ-H2O的降低比例(42%)。同时,引入BAC与PZ的强化机制不同,未引进化学作用,即不会导致过程再生能耗增加。因此,通过引入竹基活性炭以降低CO2扩散阻力的强化方式优于单纯添加化学促进剂的方法,从而进一步证实DEA溶液吸收CO2过程中,扩散阻力是限制CO2吸收速率的主导因素。

图10 混合体系中传质阻力降低比例

BAC强化DEA-H2O吸收(吸附)CO2的速率主要源于活性炭对气-液传质过程的影响。前人研究表明,固体颗粒可通过穿梭效应和边界层混合机制促进CO2的吸收(吸附)。穿梭效应认为,活性炭吸附CO2后,在浓度梯度作用下释放至液相,实现气-液间的循环传输。颗粒对气相的强吸附降低液相界面CO2浓度,维持高浓度梯度,从而提高CO2吸收速率。边界层混合机制则认为,气泡周围的固体颗粒会扰动扩散边界层,破坏其稳定结构,使边界层厚度减小。由于边界层越薄,扩散路径缩短,传质阻力降低,从而促进CO2进入液相并提高传质速率。综上,BAC的引入通过强化气-液界面的传质过程显著提高了DEA-H2O对CO2的吸收(吸附)效率,这为优化胺基吸收剂的传质强化策略提供了重要依据。

2.4

  CO2在30% DEA-BAC2∶1-H2O中的吸收(吸附)热力学

2.4.1  CO2在30% DEA-BAC2∶1-H2O中的吸收(吸附)容量

在313.2K及0~0.35MPa的压力范围内,测定了CO2在不同BAC1∶2添加量(0、0.5%、1%、2%)的30% DEA-BAC2∶1-H2O中的吸收(吸附)容量。如图11(a)所示,CO2吸收(吸附)容量随CO2分压增加呈现出先上升后平缓的趋势,反映出该体系的化学吸收特性。同时,随着BAC1∶2质量分数的增加,CO2吸收(吸附)容量呈现下降趋势。当BAC1∶2的添加量为0.5%时,其CO2吸收(吸附)容量由2.15mol/kg下降至2.02mol/kg,CO2吸收(吸附)容量降低约6.1%。同时,当BAC1∶2的质量分数增加至1%和2%时,CO2吸收(吸附)容量分别下降7%和12%。因此,相对DEA化学吸收CO2,BAC1∶2的引入均未能提高DEA溶液的CO2吸收容量。另一方面,BAC具有发达的微孔和中孔结构,易吸附有机胺分子,从而降低30% DEA-BAC1∶2-H2O中游离胺的有效浓度,削弱DEA化学吸收CO2的能力。

继续选用30% DEA-1%BAC1∶2-H2O混合体系作为研究对象,分别在313.2K、333.2K和353.2K三个温度下,系统测定了0~0.35MPa压力区间内的CO2吸收(吸附)容量,如图11(b)所示。实验数据显示,该体系的CO2吸收(吸附)容量随温度升高呈阶梯状衰减趋势:在313.2~333.2K温区内容量下降幅度为7.5%,而温度升至353.2K时降幅扩大至19.5%。值得注意的是,在353.2K的高温下,体系仍保持1.6mol/kg以上的有效容量,证实其具有较好的高温工况适应性。

图11 CO2在30% DEA-BAC1∶2-H2O不同固含量和不同温度中的吸收(吸附)容量

2.4.2  CO2在30% DEA-BAC2∶1-H2O中的解吸焓

基于式(5)和图11(b),计算得到CO2在30% DEA-1% BAC1∶2-H2O、25.5% DEA-4.5% PZ-H2O和30% DEA-H2O中的解吸焓(313.2K)。如图12所示,CO2在30% DEA-H2O、30% DEA-1% BAC1∶2-H2O和25.5% DEA-4.5% PZ-H2O中的解吸焓分别为75kJ/mol、60kJ/mol和80kJ/mol。因此,与30% DEA-H2O和25.5% DEA-4.5% PZ-H2O相比,CO2在30% DEA-1% BAC1∶2-H2O中的解吸焓分别降低20%和25%,表明BAC1∶2的引入有助于CO2的解吸过程。

图12 CO2在不同BAC添加量30% DEA-1% BAC1∶2-H2O中的解吸焓

2.5

  30% DEA-1%BAC2∶1-H2O的循环再生性能

混合体系的循环再生性能同样是其工业化应用的关键因素,如图13所示。30% DEA-1% BAC1∶2-H2O在进行5次循环使用后[313.2K吸收(吸附)和373.2K再生],其CO2吸收(吸附)容量由初始的0.088g/g降至0072g/g,容量衰减率约为18.2%,展现出较高的循环稳定性。这一性能衰减可能源于胺液在高温再生过程中产生的微量挥发或热降解副产物,与常规有机胺(如MEA)循环容量下降25%~30%的典型数据相比,该体系的衰减率显著降低。该体系显示出相对稳定的CO2吸收(吸附)容量,结果表明30% DEA-1% BAC1∶2-H2O具有长期工业应用的可行性。

图13 30% DEA-1% BAC1∶2-H2O的循环再生性能

总体而言,所开发的30% DEA-BAC1∶2-H2O混合体系在CO2吸收(吸附)速率方面明显优于30% DEA-H2O和25.5% DEA-4.5% PZ-H2O,同时该体系具有更低的CO2解吸焓。此外,CO2吸收(吸附)容量下降不明显。然而,仍有以下关键问题需要在未来的研究中解决:①需进行详细的工艺模拟,并开展CO2在30% DEA-1% BAC1∶2-H2O中的吸收(吸附)中试实验以及研究该体系的长期稳定性和降解特性等;②应进一步优化BAC的孔径分布和比表面积,以提升混合体系对CO2的吸收(吸附)容量;③需进一步开发适合含有固体颗粒混合体系的吸收/解吸循环设备,以提高CO2在吸收(吸附)过程的传质效率,克服固体颗粒分布不均匀的缺陷,从而提高该技术的工业化应用前景。

03

结论

(1)通过调节不同竹炭与氢氧化钾的比例制备5种竹基活性炭,其均具有较高的微孔比例和比表面积,上述竹基活性炭显著提升了30% DEA-H2O的CO2吸收速率。

(2)CO2在30% DEA-1% BAC1∶2-H2O中的吸收(吸附)速率分别是30% DEA-H2O和25.5% DEA-4.5% PZ-H2O(商业吸收剂)的7倍和3.5倍。

(3)CO2在该体系中的解吸焓相较于30% DEA-H2O和25.5% DEA-4.5% PZ-H2O分别降低了20%和25%且CO2吸收(吸附)容量适中。此外,30% DEA-1% BAC1∶2-H2O显示出较好的循环再生性能。

作者简介

第一作者:周栋,硕士研究生,研究方向为CO2捕集分离过程强化。

通信作者:刘定华,研究员,研究方向为工业催化与同分异构体吸附分离。

(扫码关注我们

邮发代号:82-311

订阅热线:010-64519502

网址:http://www.hgjz.com.cn

欢迎您分享、点赞、收藏、在看

最新文章

随机文章

基本 文件 流程 错误 SQL 调试
  1. 请求信息 : 2026-05-08 08:37:58 HTTP/2.0 GET : https://b.460.net.cn/a/511235.html
  2. 运行时间 : 0.093287s [ 吞吐率:10.72req/s ] 内存消耗:4,538.02kb 文件加载:140
  3. 缓存信息 : 0 reads,0 writes
  4. 会话信息 : SESSION_ID=efba075a7f8df1f1ef261fc3ff3bf4a5
  1. /yingpanguazai/ssd/ssd1/www/b.460.net.cn/public/index.php ( 0.79 KB )
  2. /yingpanguazai/ssd/ssd1/www/b.460.net.cn/vendor/autoload.php ( 0.17 KB )
  3. /yingpanguazai/ssd/ssd1/www/b.460.net.cn/vendor/composer/autoload_real.php ( 2.49 KB )
  4. /yingpanguazai/ssd/ssd1/www/b.460.net.cn/vendor/composer/platform_check.php ( 0.90 KB )
  5. /yingpanguazai/ssd/ssd1/www/b.460.net.cn/vendor/composer/ClassLoader.php ( 14.03 KB )
  6. /yingpanguazai/ssd/ssd1/www/b.460.net.cn/vendor/composer/autoload_static.php ( 4.90 KB )
  7. /yingpanguazai/ssd/ssd1/www/b.460.net.cn/vendor/topthink/think-helper/src/helper.php ( 8.34 KB )
  8. /yingpanguazai/ssd/ssd1/www/b.460.net.cn/vendor/topthink/think-validate/src/helper.php ( 2.19 KB )
  9. /yingpanguazai/ssd/ssd1/www/b.460.net.cn/vendor/topthink/think-orm/src/helper.php ( 1.47 KB )
  10. /yingpanguazai/ssd/ssd1/www/b.460.net.cn/vendor/topthink/think-orm/stubs/load_stubs.php ( 0.16 KB )
  11. /yingpanguazai/ssd/ssd1/www/b.460.net.cn/vendor/topthink/framework/src/think/Exception.php ( 1.69 KB )
  12. /yingpanguazai/ssd/ssd1/www/b.460.net.cn/vendor/topthink/think-container/src/Facade.php ( 2.71 KB )
  13. /yingpanguazai/ssd/ssd1/www/b.460.net.cn/vendor/symfony/deprecation-contracts/function.php ( 0.99 KB )
  14. /yingpanguazai/ssd/ssd1/www/b.460.net.cn/vendor/symfony/polyfill-mbstring/bootstrap.php ( 8.26 KB )
  15. /yingpanguazai/ssd/ssd1/www/b.460.net.cn/vendor/symfony/polyfill-mbstring/bootstrap80.php ( 9.78 KB )
  16. /yingpanguazai/ssd/ssd1/www/b.460.net.cn/vendor/symfony/var-dumper/Resources/functions/dump.php ( 1.49 KB )
  17. /yingpanguazai/ssd/ssd1/www/b.460.net.cn/vendor/topthink/think-dumper/src/helper.php ( 0.18 KB )
  18. /yingpanguazai/ssd/ssd1/www/b.460.net.cn/vendor/symfony/var-dumper/VarDumper.php ( 4.30 KB )
  19. /yingpanguazai/ssd/ssd1/www/b.460.net.cn/vendor/topthink/framework/src/think/App.php ( 15.30 KB )
  20. /yingpanguazai/ssd/ssd1/www/b.460.net.cn/vendor/topthink/think-container/src/Container.php ( 15.76 KB )
  21. /yingpanguazai/ssd/ssd1/www/b.460.net.cn/vendor/psr/container/src/ContainerInterface.php ( 1.02 KB )
  22. /yingpanguazai/ssd/ssd1/www/b.460.net.cn/app/provider.php ( 0.19 KB )
  23. /yingpanguazai/ssd/ssd1/www/b.460.net.cn/vendor/topthink/framework/src/think/Http.php ( 6.04 KB )
  24. /yingpanguazai/ssd/ssd1/www/b.460.net.cn/vendor/topthink/think-helper/src/helper/Str.php ( 7.29 KB )
  25. /yingpanguazai/ssd/ssd1/www/b.460.net.cn/vendor/topthink/framework/src/think/Env.php ( 4.68 KB )
  26. /yingpanguazai/ssd/ssd1/www/b.460.net.cn/app/common.php ( 0.03 KB )
  27. /yingpanguazai/ssd/ssd1/www/b.460.net.cn/vendor/topthink/framework/src/helper.php ( 18.78 KB )
  28. /yingpanguazai/ssd/ssd1/www/b.460.net.cn/vendor/topthink/framework/src/think/Config.php ( 5.54 KB )
  29. /yingpanguazai/ssd/ssd1/www/b.460.net.cn/config/app.php ( 0.95 KB )
  30. /yingpanguazai/ssd/ssd1/www/b.460.net.cn/config/cache.php ( 0.78 KB )
  31. /yingpanguazai/ssd/ssd1/www/b.460.net.cn/config/console.php ( 0.23 KB )
  32. /yingpanguazai/ssd/ssd1/www/b.460.net.cn/config/cookie.php ( 0.56 KB )
  33. /yingpanguazai/ssd/ssd1/www/b.460.net.cn/config/database.php ( 2.47 KB )
  34. /yingpanguazai/ssd/ssd1/www/b.460.net.cn/vendor/topthink/framework/src/think/facade/Env.php ( 1.67 KB )
  35. /yingpanguazai/ssd/ssd1/www/b.460.net.cn/config/filesystem.php ( 0.61 KB )
  36. /yingpanguazai/ssd/ssd1/www/b.460.net.cn/config/lang.php ( 0.91 KB )
  37. /yingpanguazai/ssd/ssd1/www/b.460.net.cn/config/log.php ( 1.35 KB )
  38. /yingpanguazai/ssd/ssd1/www/b.460.net.cn/config/middleware.php ( 0.19 KB )
  39. /yingpanguazai/ssd/ssd1/www/b.460.net.cn/config/route.php ( 1.89 KB )
  40. /yingpanguazai/ssd/ssd1/www/b.460.net.cn/config/session.php ( 0.57 KB )
  41. /yingpanguazai/ssd/ssd1/www/b.460.net.cn/config/trace.php ( 0.34 KB )
  42. /yingpanguazai/ssd/ssd1/www/b.460.net.cn/config/view.php ( 0.82 KB )
  43. /yingpanguazai/ssd/ssd1/www/b.460.net.cn/app/event.php ( 0.25 KB )
  44. /yingpanguazai/ssd/ssd1/www/b.460.net.cn/vendor/topthink/framework/src/think/Event.php ( 7.67 KB )
  45. /yingpanguazai/ssd/ssd1/www/b.460.net.cn/app/service.php ( 0.13 KB )
  46. /yingpanguazai/ssd/ssd1/www/b.460.net.cn/app/AppService.php ( 0.26 KB )
  47. /yingpanguazai/ssd/ssd1/www/b.460.net.cn/vendor/topthink/framework/src/think/Service.php ( 1.64 KB )
  48. /yingpanguazai/ssd/ssd1/www/b.460.net.cn/vendor/topthink/framework/src/think/Lang.php ( 7.35 KB )
  49. /yingpanguazai/ssd/ssd1/www/b.460.net.cn/vendor/topthink/framework/src/lang/zh-cn.php ( 13.70 KB )
  50. /yingpanguazai/ssd/ssd1/www/b.460.net.cn/vendor/topthink/framework/src/think/initializer/Error.php ( 3.31 KB )
  51. /yingpanguazai/ssd/ssd1/www/b.460.net.cn/vendor/topthink/framework/src/think/initializer/RegisterService.php ( 1.33 KB )
  52. /yingpanguazai/ssd/ssd1/www/b.460.net.cn/vendor/services.php ( 0.14 KB )
  53. /yingpanguazai/ssd/ssd1/www/b.460.net.cn/vendor/topthink/framework/src/think/service/PaginatorService.php ( 1.52 KB )
  54. /yingpanguazai/ssd/ssd1/www/b.460.net.cn/vendor/topthink/framework/src/think/service/ValidateService.php ( 0.99 KB )
  55. /yingpanguazai/ssd/ssd1/www/b.460.net.cn/vendor/topthink/framework/src/think/service/ModelService.php ( 2.04 KB )
  56. /yingpanguazai/ssd/ssd1/www/b.460.net.cn/vendor/topthink/think-trace/src/Service.php ( 0.77 KB )
  57. /yingpanguazai/ssd/ssd1/www/b.460.net.cn/vendor/topthink/framework/src/think/Middleware.php ( 6.72 KB )
  58. /yingpanguazai/ssd/ssd1/www/b.460.net.cn/vendor/topthink/framework/src/think/initializer/BootService.php ( 0.77 KB )
  59. /yingpanguazai/ssd/ssd1/www/b.460.net.cn/vendor/topthink/think-orm/src/Paginator.php ( 11.86 KB )
  60. /yingpanguazai/ssd/ssd1/www/b.460.net.cn/vendor/topthink/think-validate/src/Validate.php ( 63.20 KB )
  61. /yingpanguazai/ssd/ssd1/www/b.460.net.cn/vendor/topthink/think-orm/src/Model.php ( 23.55 KB )
  62. /yingpanguazai/ssd/ssd1/www/b.460.net.cn/vendor/topthink/think-orm/src/model/concern/Attribute.php ( 21.05 KB )
  63. /yingpanguazai/ssd/ssd1/www/b.460.net.cn/vendor/topthink/think-orm/src/model/concern/AutoWriteData.php ( 4.21 KB )
  64. /yingpanguazai/ssd/ssd1/www/b.460.net.cn/vendor/topthink/think-orm/src/model/concern/Conversion.php ( 6.44 KB )
  65. /yingpanguazai/ssd/ssd1/www/b.460.net.cn/vendor/topthink/think-orm/src/model/concern/DbConnect.php ( 5.16 KB )
  66. /yingpanguazai/ssd/ssd1/www/b.460.net.cn/vendor/topthink/think-orm/src/model/concern/ModelEvent.php ( 2.33 KB )
  67. /yingpanguazai/ssd/ssd1/www/b.460.net.cn/vendor/topthink/think-orm/src/model/concern/RelationShip.php ( 28.29 KB )
  68. /yingpanguazai/ssd/ssd1/www/b.460.net.cn/vendor/topthink/think-helper/src/contract/Arrayable.php ( 0.09 KB )
  69. /yingpanguazai/ssd/ssd1/www/b.460.net.cn/vendor/topthink/think-helper/src/contract/Jsonable.php ( 0.13 KB )
  70. /yingpanguazai/ssd/ssd1/www/b.460.net.cn/vendor/topthink/think-orm/src/model/contract/Modelable.php ( 0.09 KB )
  71. /yingpanguazai/ssd/ssd1/www/b.460.net.cn/vendor/topthink/framework/src/think/Db.php ( 2.88 KB )
  72. /yingpanguazai/ssd/ssd1/www/b.460.net.cn/vendor/topthink/think-orm/src/DbManager.php ( 8.52 KB )
  73. /yingpanguazai/ssd/ssd1/www/b.460.net.cn/vendor/topthink/framework/src/think/Log.php ( 6.28 KB )
  74. /yingpanguazai/ssd/ssd1/www/b.460.net.cn/vendor/topthink/framework/src/think/Manager.php ( 3.92 KB )
  75. /yingpanguazai/ssd/ssd1/www/b.460.net.cn/vendor/psr/log/src/LoggerTrait.php ( 2.69 KB )
  76. /yingpanguazai/ssd/ssd1/www/b.460.net.cn/vendor/psr/log/src/LoggerInterface.php ( 2.71 KB )
  77. /yingpanguazai/ssd/ssd1/www/b.460.net.cn/vendor/topthink/framework/src/think/Cache.php ( 4.92 KB )
  78. /yingpanguazai/ssd/ssd1/www/b.460.net.cn/vendor/psr/simple-cache/src/CacheInterface.php ( 4.71 KB )
  79. /yingpanguazai/ssd/ssd1/www/b.460.net.cn/vendor/topthink/think-helper/src/helper/Arr.php ( 16.63 KB )
  80. /yingpanguazai/ssd/ssd1/www/b.460.net.cn/vendor/topthink/framework/src/think/cache/driver/File.php ( 7.84 KB )
  81. /yingpanguazai/ssd/ssd1/www/b.460.net.cn/vendor/topthink/framework/src/think/cache/Driver.php ( 9.03 KB )
  82. /yingpanguazai/ssd/ssd1/www/b.460.net.cn/vendor/topthink/framework/src/think/contract/CacheHandlerInterface.php ( 1.99 KB )
  83. /yingpanguazai/ssd/ssd1/www/b.460.net.cn/app/Request.php ( 0.09 KB )
  84. /yingpanguazai/ssd/ssd1/www/b.460.net.cn/vendor/topthink/framework/src/think/Request.php ( 55.78 KB )
  85. /yingpanguazai/ssd/ssd1/www/b.460.net.cn/app/middleware.php ( 0.25 KB )
  86. /yingpanguazai/ssd/ssd1/www/b.460.net.cn/vendor/topthink/framework/src/think/Pipeline.php ( 2.61 KB )
  87. /yingpanguazai/ssd/ssd1/www/b.460.net.cn/vendor/topthink/think-trace/src/TraceDebug.php ( 3.40 KB )
  88. /yingpanguazai/ssd/ssd1/www/b.460.net.cn/vendor/topthink/framework/src/think/middleware/SessionInit.php ( 1.94 KB )
  89. /yingpanguazai/ssd/ssd1/www/b.460.net.cn/vendor/topthink/framework/src/think/Session.php ( 1.80 KB )
  90. /yingpanguazai/ssd/ssd1/www/b.460.net.cn/vendor/topthink/framework/src/think/session/driver/File.php ( 6.27 KB )
  91. /yingpanguazai/ssd/ssd1/www/b.460.net.cn/vendor/topthink/framework/src/think/contract/SessionHandlerInterface.php ( 0.87 KB )
  92. /yingpanguazai/ssd/ssd1/www/b.460.net.cn/vendor/topthink/framework/src/think/session/Store.php ( 7.12 KB )
  93. /yingpanguazai/ssd/ssd1/www/b.460.net.cn/vendor/topthink/framework/src/think/Route.php ( 23.73 KB )
  94. /yingpanguazai/ssd/ssd1/www/b.460.net.cn/vendor/topthink/framework/src/think/route/RuleName.php ( 5.75 KB )
  95. /yingpanguazai/ssd/ssd1/www/b.460.net.cn/vendor/topthink/framework/src/think/route/Domain.php ( 2.53 KB )
  96. /yingpanguazai/ssd/ssd1/www/b.460.net.cn/vendor/topthink/framework/src/think/route/RuleGroup.php ( 22.43 KB )
  97. /yingpanguazai/ssd/ssd1/www/b.460.net.cn/vendor/topthink/framework/src/think/route/Rule.php ( 26.95 KB )
  98. /yingpanguazai/ssd/ssd1/www/b.460.net.cn/vendor/topthink/framework/src/think/route/RuleItem.php ( 9.78 KB )
  99. /yingpanguazai/ssd/ssd1/www/b.460.net.cn/route/app.php ( 1.72 KB )
  100. /yingpanguazai/ssd/ssd1/www/b.460.net.cn/vendor/topthink/framework/src/think/facade/Route.php ( 4.70 KB )
  101. /yingpanguazai/ssd/ssd1/www/b.460.net.cn/vendor/topthink/framework/src/think/route/dispatch/Controller.php ( 4.74 KB )
  102. /yingpanguazai/ssd/ssd1/www/b.460.net.cn/vendor/topthink/framework/src/think/route/Dispatch.php ( 10.44 KB )
  103. /yingpanguazai/ssd/ssd1/www/b.460.net.cn/app/controller/Index.php ( 4.81 KB )
  104. /yingpanguazai/ssd/ssd1/www/b.460.net.cn/app/BaseController.php ( 2.05 KB )
  105. /yingpanguazai/ssd/ssd1/www/b.460.net.cn/vendor/topthink/think-orm/src/facade/Db.php ( 0.93 KB )
  106. /yingpanguazai/ssd/ssd1/www/b.460.net.cn/vendor/topthink/think-orm/src/db/connector/Mysql.php ( 5.44 KB )
  107. /yingpanguazai/ssd/ssd1/www/b.460.net.cn/vendor/topthink/think-orm/src/db/PDOConnection.php ( 52.47 KB )
  108. /yingpanguazai/ssd/ssd1/www/b.460.net.cn/vendor/topthink/think-orm/src/db/Connection.php ( 8.39 KB )
  109. /yingpanguazai/ssd/ssd1/www/b.460.net.cn/vendor/topthink/think-orm/src/db/ConnectionInterface.php ( 4.57 KB )
  110. /yingpanguazai/ssd/ssd1/www/b.460.net.cn/vendor/topthink/think-orm/src/db/builder/Mysql.php ( 16.58 KB )
  111. /yingpanguazai/ssd/ssd1/www/b.460.net.cn/vendor/topthink/think-orm/src/db/Builder.php ( 24.06 KB )
  112. /yingpanguazai/ssd/ssd1/www/b.460.net.cn/vendor/topthink/think-orm/src/db/BaseBuilder.php ( 27.50 KB )
  113. /yingpanguazai/ssd/ssd1/www/b.460.net.cn/vendor/topthink/think-orm/src/db/Query.php ( 15.71 KB )
  114. /yingpanguazai/ssd/ssd1/www/b.460.net.cn/vendor/topthink/think-orm/src/db/BaseQuery.php ( 45.13 KB )
  115. /yingpanguazai/ssd/ssd1/www/b.460.net.cn/vendor/topthink/think-orm/src/db/concern/TimeFieldQuery.php ( 7.43 KB )
  116. /yingpanguazai/ssd/ssd1/www/b.460.net.cn/vendor/topthink/think-orm/src/db/concern/AggregateQuery.php ( 3.26 KB )
  117. /yingpanguazai/ssd/ssd1/www/b.460.net.cn/vendor/topthink/think-orm/src/db/concern/ModelRelationQuery.php ( 20.07 KB )
  118. /yingpanguazai/ssd/ssd1/www/b.460.net.cn/vendor/topthink/think-orm/src/db/concern/ParamsBind.php ( 3.66 KB )
  119. /yingpanguazai/ssd/ssd1/www/b.460.net.cn/vendor/topthink/think-orm/src/db/concern/ResultOperation.php ( 7.01 KB )
  120. /yingpanguazai/ssd/ssd1/www/b.460.net.cn/vendor/topthink/think-orm/src/db/concern/WhereQuery.php ( 19.37 KB )
  121. /yingpanguazai/ssd/ssd1/www/b.460.net.cn/vendor/topthink/think-orm/src/db/concern/JoinAndViewQuery.php ( 7.11 KB )
  122. /yingpanguazai/ssd/ssd1/www/b.460.net.cn/vendor/topthink/think-orm/src/db/concern/TableFieldInfo.php ( 2.63 KB )
  123. /yingpanguazai/ssd/ssd1/www/b.460.net.cn/vendor/topthink/think-orm/src/db/concern/Transaction.php ( 2.77 KB )
  124. /yingpanguazai/ssd/ssd1/www/b.460.net.cn/vendor/topthink/framework/src/think/log/driver/File.php ( 5.96 KB )
  125. /yingpanguazai/ssd/ssd1/www/b.460.net.cn/vendor/topthink/framework/src/think/contract/LogHandlerInterface.php ( 0.86 KB )
  126. /yingpanguazai/ssd/ssd1/www/b.460.net.cn/vendor/topthink/framework/src/think/log/Channel.php ( 3.89 KB )
  127. /yingpanguazai/ssd/ssd1/www/b.460.net.cn/vendor/topthink/framework/src/think/event/LogRecord.php ( 1.02 KB )
  128. /yingpanguazai/ssd/ssd1/www/b.460.net.cn/vendor/topthink/think-helper/src/Collection.php ( 16.47 KB )
  129. /yingpanguazai/ssd/ssd1/www/b.460.net.cn/vendor/topthink/framework/src/think/facade/View.php ( 1.70 KB )
  130. /yingpanguazai/ssd/ssd1/www/b.460.net.cn/vendor/topthink/framework/src/think/View.php ( 4.39 KB )
  131. /yingpanguazai/ssd/ssd1/www/b.460.net.cn/vendor/topthink/framework/src/think/Response.php ( 8.81 KB )
  132. /yingpanguazai/ssd/ssd1/www/b.460.net.cn/vendor/topthink/framework/src/think/response/View.php ( 3.29 KB )
  133. /yingpanguazai/ssd/ssd1/www/b.460.net.cn/vendor/topthink/framework/src/think/Cookie.php ( 6.06 KB )
  134. /yingpanguazai/ssd/ssd1/www/b.460.net.cn/vendor/topthink/think-view/src/Think.php ( 8.38 KB )
  135. /yingpanguazai/ssd/ssd1/www/b.460.net.cn/vendor/topthink/framework/src/think/contract/TemplateHandlerInterface.php ( 1.60 KB )
  136. /yingpanguazai/ssd/ssd1/www/b.460.net.cn/vendor/topthink/think-template/src/Template.php ( 46.61 KB )
  137. /yingpanguazai/ssd/ssd1/www/b.460.net.cn/vendor/topthink/think-template/src/template/driver/File.php ( 2.41 KB )
  138. /yingpanguazai/ssd/ssd1/www/b.460.net.cn/vendor/topthink/think-template/src/template/contract/DriverInterface.php ( 0.86 KB )
  139. /yingpanguazai/ssd/ssd1/www/b.460.net.cn/runtime/temp/b35eef690f41e64ad9e1c098cfc7d3bc.php ( 11.98 KB )
  140. /yingpanguazai/ssd/ssd1/www/b.460.net.cn/vendor/topthink/think-trace/src/Html.php ( 4.42 KB )
  1. CONNECT:[ UseTime:0.000587s ] mysql:host=127.0.0.1;port=3306;dbname=b460;charset=utf8mb4
  2. SHOW FULL COLUMNS FROM `fenlei` [ RunTime:0.000759s ]
  3. SELECT * FROM `fenlei` WHERE `fid` = 0 [ RunTime:0.001883s ]
  4. SELECT * FROM `fenlei` WHERE `fid` = 63 [ RunTime:0.000507s ]
  5. SHOW FULL COLUMNS FROM `set` [ RunTime:0.000576s ]
  6. SELECT * FROM `set` [ RunTime:0.000195s ]
  7. SHOW FULL COLUMNS FROM `article` [ RunTime:0.000520s ]
  8. SELECT * FROM `article` WHERE `id` = 511235 LIMIT 1 [ RunTime:0.000453s ]
  9. UPDATE `article` SET `lasttime` = 1778200678 WHERE `id` = 511235 [ RunTime:0.013094s ]
  10. SELECT * FROM `fenlei` WHERE `id` = 65 LIMIT 1 [ RunTime:0.000369s ]
  11. SELECT * FROM `article` WHERE `id` < 511235 ORDER BY `id` DESC LIMIT 1 [ RunTime:0.000601s ]
  12. SELECT * FROM `article` WHERE `id` > 511235 ORDER BY `id` ASC LIMIT 1 [ RunTime:0.000380s ]
  13. SELECT * FROM `article` WHERE `id` < 511235 ORDER BY `id` DESC LIMIT 10 [ RunTime:0.001151s ]
  14. SELECT * FROM `article` WHERE `id` < 511235 ORDER BY `id` DESC LIMIT 10,10 [ RunTime:0.000970s ]
  15. SELECT * FROM `article` WHERE `id` < 511235 ORDER BY `id` DESC LIMIT 20,10 [ RunTime:0.000724s ]
0.094832s