

由南京邮电大学唐为华教授、李山副教授、内蒙古大学刘增研究员等人的团队在学术期刊 Science China Technological Sciences 发布了一篇名为Strong phonon scattering and suppressed thermal transport induced by oxygen vacancy in β-Ga2O3 elucidated via machine learning(机器学习揭示 β-Ga2O3 中氧空位诱导的强声子散射与热输运抑制效应)的文章。
01
期刊介绍
《Science China Technological Sciences》(SCTS)是中国科技界的顶尖期刊,由中国科学院与国家自然科学基金委员会联合主办,代表着中国工程与材料科学研究的最高水平。它刊登的论文涵盖纳米材料、光电子、智能制造等前沿科技领域。 SCTS不仅在国内学术界广受认可,也在国际上产生重要影响,是科研人员了解科技前沿、展示创新成果的重要平台。
02
背景
晶体材料中高阶非简谐声子性质的精确计算需要极高的计算资源,这直接阻碍了对 β-Ga2O3 中声子散射和晶格热导率(LTC)的系统性研究。晶格热导率是半导体中热传递的关键方式,是决定器件性能的核心因素,在高温、高功率工况下尤为重要。作为新一代宽禁带半导体,β-Ga2O3 已受到广泛关注。凭借优异的热稳定性、强抗辐射性和超高击穿场强,β-Ga2O3 在光电子、功率电子和射频器件领域展现出巨大的应用潜力。然而,其室温晶格热导率较低,约为 11~27 W/m・K,这成为其在高温、高功率条件下应用的主要瓶颈。此外,有研究表明 β-Ga2O3 在晶体生长过程中易择优形成氧空位,这些氧空位会引入额外的能级、改变载流子浓度、充当复合中心并提供新的跃迁路径,进而调控材料的光电特性。更重要的是,已有大量研究证实晶格空位可通过增强声子散射来抑制热导率,因此推测 β-Ga2O3 中的氧空位会对其热输运特性产生显著影响。
近年来,机器学习(ML)的快速发展为科研界探索微观物理过程提供了全新方法。基于机器学习的模型能精准复现量子力学计算结果,在实现量子级计算精度的同时大幅降低算力成本,还能对未探索的晶体构型进行可靠的外推分析。
03
主要内容
复杂晶体体系中高阶非简谐相互作用的精准表征需耗费极高的计算资源,这制约了对 β-Ga2O3 中缺陷散射行为及其引发的热导率抑制效应的机理解析。本研究采用机器学习加速的第一性原理计算方法,对 β-Ga2O3 的简谐与非简谐声子性质开展了全面表征,并将声子 - 声子散射与缺陷散射纳入统一的物理框架进行分析。研究发现,氧空位会导致 β-Ga2O3 出现显著的声子红移,同时使声子群速度急剧降低、声子寿命大幅缩短,这些现象共同表明氧空位引发了强烈的缺陷型声子散射。随着氧空位浓度的升高,声子频率与寿命均呈近似线性的下降趋势;与此同时,低频声子散射的可利用相空间与非简谐矩阵元均得到增强。上述效应的共同作用,导致 β-Ga2O3 的晶格热导率与声子平均自由程快速降低,且该现象在低频热输运区域尤为显著。本研究不仅突破了高阶非简谐项计算的理论局限,还系统量化了热导率随氧空位浓度升高的衰减规律,进而阐明了缺陷诱导非简谐性的微观作用机制,深化了对 β-Ga2O3 中非简谐晶格动力学的理解。
04
创新点
• 开发了基于贝叶斯回归的在线机器学习分子动力学(OTF-MLMD) 方案,构建的 MLFF 同时覆盖了 β-Ga2O3 不同氧空位浓度(1.67%–25%)、不同空位位点(VaO1/VaO2/VaO3)及空位团簇的结构特征,且经训练和测试验证无过拟合,能量和力的预测精度接近第一性原理。
• 利用 MLFF 加速分子动力学模拟,绕开了传统有限位移(FD)方法计算高阶非简谐力常数的算力壁垒, MLFF 可高效模拟含 2500 个原子的大超胞,并从 MD 轨迹中提取声子线宽、频率等非简谐特性,实现了宽浓度范围氧空位体系的非简谐声子计算。
• 首次系统量化了氧空位浓度、位点及团簇形式对 β-Ga2O3 声子特性的差异化影响, 发现氧空位对声子散射的主导作用, 揭示了氧空位对非简谐散射的调控机制。
04
总结
综上,本研究利用自主构建的机器学习力场(MLFF)加速分子动力学(MD)模拟,在统一的物理框架内完成了对 β-Ga2O3 中声子 - 声子散射与声子 - 缺陷散射的协同分析,并在宽浓度范围内系统探究了氧空位对 β-Ga2O3 非简谐声子性质及热输运特性的影响规律。研究结果表明,氧空位的引入会引发 β-Ga2O3 的声子红移与局域化效应,同时使声子群速度急剧下降,进而产生强烈的声子 - 缺陷散射,最终导致声子寿命大幅缩短。值得注意的是,仅氧空位的存在本身,即可诱发显著的声子 - 缺陷散射效应。上述过程还伴随低频声子散射相空间与非简谐矩阵元(AME)的同步增大,多重效应共同作用下,β-Ga2O3 的晶格热导率(LTC)出现显著降低,而其本征的热输运各向异性基本保持不变。从量化结果来看,当氧空位浓度从 0% 升高至 25% 时,β-Ga2O3 在 300 K 下的平均晶格热导率由 18.8 W/mK 降至 0.79 W/mK。本研究通过构建可靠的机器学习力场,突破了复杂晶体体系中高阶非简谐项计算的理论局限,系统揭示了宽浓度范围内氧空位对 β-Ga2O3 热输运的宏观调控效应,并为声子散射的微观物理机制提供了更深入的解析视角。

图 1 (a) β-Ga2O3 原胞示意图;(b) β-Ga2O3 原胞的声子色散曲线与态密度图;(c) β-Ga2O3 单胞及不同等效氧空位示意图;(d) 模型构建的三个维度示意图:空位浓度、单胞内空位数量及等效空位位置;(e) 在线机器学习分子动力学过程中的温度变化示例图;(f) 在线机器学习分子动力学过程中的(体系)状态示例图。

图 2 (a)、(b) 训练过程中能量和力的贝叶斯误差与均方根误差;(c)、(d) 训练集中第一性原理与机器学习力场所得能量和力的线性回归图;(e)、(f) 测试集中第一性原理与机器学习力场所得能量和力的线性回归图。

图 3 单胞中含 (a)、(b) 1 个、(c)、(d) 2 个及 (e)、(f) 3 个等效氧空位的 β-Ga2O3 缺陷结构,在最低空位浓度下及首次出现虚频时的声子色散曲线。

图 4 (a) 不同氧空位浓度下的整体归一化声子态密度等高图;(b) 低频区归一化声子态密度(图);(c) 特定氧空位浓度下的声子参与比(图)。

图5 氧空位浓度为12.5%的 β-Ga2O3 在特定温度下的非简谐声子:(a)态密度、(b)群速度、(c)寿命。

图 6 300 开尔文下不同氧空位浓度 β-Ga2O3 的非简谐声子:(a) 态密度、(b) 群速度、(c) 寿命。

图 7 与温度和空位浓度相关的 (a) 声子频率中位数、(b) 声子寿命中位数;不同等效氧空位对应的 (c) 声子频率中位数、(d) 声子寿命中位数。

图 8 (a)、(b) 不同氧空位浓度下三声子、四声子散射过程的声子散射相空间频率分布;(c)、(d) 三声子、四声子散射过程的非简谐矩阵元;(e)、(f) 不同等效氧空位下三声子、四声子散射过程中乌克勒普散射的占比。

图 9 (a) 300 K 下不同空位浓度 β-Ga2O3 的声子平均自由程;(b) 与温度和空位浓度相关的声子平均自由程;(c) 含不同等效氧空位的 β-Ga2O3 不同结构中,与空位浓度相关的声子平均自由程。

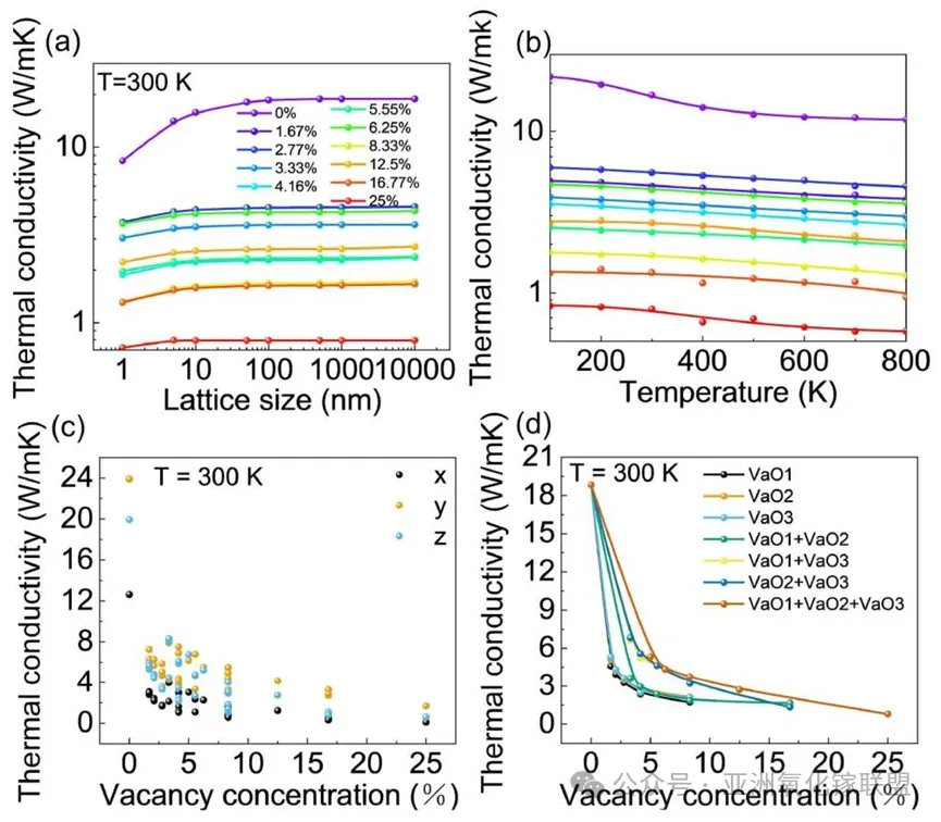
图 10 (a) 不同氧空位浓度 β-Ga2O3 的平均晶格热导率与晶格尺寸的关系;(b) 不同氧空位浓度 β- 氧化镓的平均晶格热导率与温度的关系;(c) 300 K 下不同氧空位浓度 β-Ga2O3 的各向异性晶格热导率;(d) 含不同等效氧空位的 β-Ga2O3 的平均晶格热导率。
DOI:
doi.org/10.1007/s11431-025-3201-x
文章源自Science China Technological Sciences,联盟编译整理。
滑动阅览全文














来源:亚洲氧化镓联盟
*声明:本文由作者原创。文章内容系作者个人观点,宽禁带半导体技术创新联盟转载仅为了传达一种不同的观点,不代表本联盟对该观点赞同或支持,如果有任何异议,欢迎联系我们。
