为了方便各位同学交流学习,解决讨论问题,我们建立了一些微信群,作为互助交流的平台。2.告知:姓名-课题组-研究方向,由编辑审核后邀请至对应交流群(生长,物性,器件);欢迎投稿欢迎课题组投递中文宣传稿,免费宣传成果,发布招聘广告,具体联系人:13162018291(微信同号)
研究背景
高性能分离膜技术是实现高效气体分离和能源转化的重要基础,其核心指标包括渗透率、选择性以及长期稳定性。由于二维材料具有原子级厚度和高度有序的晶格结构,可以显著缩短气体传输路径,因此被认为是下一代高性能分离膜的重要候选材料。长期以来,学界普遍认为无缺陷石墨烯由于其致密的六角晶格结构和离域π 电子云的屏蔽作用,对所有气体分子都是完全不可渗透的。传统实现气体分离的策略通常依赖于缺陷工程,通过人工引入纳米孔实现分子筛分。然而这种方法往往会导致孔径不均匀,同时降低材料稳定性。
近年来,研究发现完美单层石墨烯在室温下可能允许氢相关物种透过,但其透过的具体物种身份以及是否具有普适性仍不明确。同时,氢在二维晶体中的催化解离、穿透路径、层数影响以及调控机制等关键科学问题仍有待系统研究。在此背景下,研究团队系统研究了氢在多种二维晶体中的催化与渗透行为,旨在揭示其基本物理机制,并为氢能相关应用提供理论基础。
成果简介
南京大学物理学院高力波、袁国文团队研究人员首先构建了基于二维材料氢气气泡的实验模型,用于研究氢在二维晶体中的渗透行为。实验发现,在高温退火过程中,封装在石墨烯中的氢气气泡体积会随温度升高逐渐减小,并在超过约700 °C后明显收缩直至消失,而气泡的形状比例保持基本稳定。同时 Raman 测试表明,在整个过程中石墨烯晶格未发生氢化或结构破坏,说明氢的渗透过程不会损伤二维晶体结构。类似现象也在多层石墨烯、hBN、MoS₂ 和 MoSe₂ 中观察到,表明这一行为具有普适性。
为确认氢的催化解离过程,研究人员在hBN 气泡体系中引入氘离子,并通过 Raman 光谱检测到 HD 振动峰的出现。这一结果表明,注入的氘离子与原有氢气解离产生的氢物种发生重组,从而直接证明二维晶体表面可以催化氢分子解离。这一结果为理解二维材料表面催化能力提供了重要实验证据。

图1 氢物种通过石墨烯的示意图。a 石墨烯中氢传输机制示意,包括质子直接穿透、氢分子催化穿透以及金属纳米颗粒辅助穿透三种情况;b 双层石墨烯中氢气气泡的结构示意图及其光学和 AFM 形貌;c 氢气气泡在不同退火温度下的高度变化;d 氢气气泡在连续升温过程中的体积变化;e hBN 气泡中氢与氘重组形成 HD 的 Raman 证据。
进一步研究氢的具体传输物种时,研究人员通过外加电场调控实验发现,平行电场对氢渗透行为没有明显影响,而垂直电场可以显著降低氢渗透温度并提高渗透速率。这表明渗透物种为带电粒子,且其传输路径是穿过二维晶体晶格,而非沿层间范德华间隙扩散。
此外,研究团队利用PMMA 和 Nafion 质子交换膜进行对比实验进一步确认传输物种性质。实验发现,在 Nafion 覆盖情况下气泡可正常收缩,而 PMMA 覆盖时会由于质子无法透过而导致局部破裂。这一对比实验清晰证明,氢分子在二维晶体表面催化解离后形成的主要渗透物种为质子。

图2 氢以质子形式穿透 MoS₂。a 激光局域加热诱导氢气气泡收缩示意图;b 不同激光照射时间下气泡高度变化;c 覆盖 Nafion 质子交换膜时气泡变化情况;d 覆盖 PMMA 膜时气泡破裂现象 。
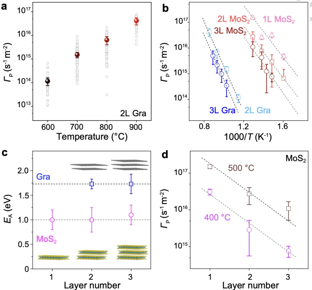
在定量分析方面,研究人员通过统计多个气泡体积变化,得到氢渗透速率的温度依赖关系,并发现其符合Arrhenius 关系。实验结果表明,氢在双层石墨烯中的活化能约为 1.7 eV,在 MoS₂ 中约为 1.0 eV,并且活化能与层数基本无关。这一现象可以用逐层热激活跳跃模型解释,即质子在穿透每一层时所需能量相同,而所需热能可持续由环境补充。
研究还发现,二维晶体层数会影响氢的渗透速率,但不会改变活化能。实验表明,渗透速率随层数呈指数衰减关系,这表明层数主要影响质子有效传输概率,而非基本势垒。这一结果为二维材料作为质子分离膜的厚度设计提供了重要依据。

图3 不同二维晶体中的氢渗透能垒。a 双层石墨烯中氢渗透速率随温度变化关系;b 不同层数石墨烯和 MoS₂ 的氢渗透速率比较;c 不同材料及层数对应的活化能;d MoS₂ 中渗透速率随层数变化关系。
在调控方面,研究人员通过在二维晶体表面引入铂、钯等金属纳米颗粒发现,其可以显著降低氢渗透能垒并提高渗透速率,其中铂表现出最显著效果。同时,外界氧气环境也可通过促进氧还原反应提高质子消耗速率,从而进一步提高氢的整体渗透效率。实验显示,在铂纳米颗粒与氧气环境共同作用下,双层石墨烯的氢渗透速率可达到约10¹⁷ s⁻¹ m⁻²。
图4 金属纳米颗粒对氢渗透的调控。a 金属纳米颗粒修饰石墨烯气泡示意图b 不同金属颗粒对石墨烯氢渗透活化能的影响c 金属颗粒对 MoS₂ 氢渗透行为的调控d 不同材料体系中活化能降低情况总结。

图5 外界环境对氢渗透的影响。a 不同气氛条件下实验示意图;b 石墨烯在不同气氛中的渗透速率变化;c hBN 中不同反应路径对应活化能;d 氧气与铂纳米颗粒协同作用下渗透增强效果。
总结展望
该研究系统揭示了氢在无缺陷二维晶体中的催化解离与质子渗透机制,证明氢渗透过程包括氢分子表面催化解离、质子穿透晶格以及外侧还原反应三个关键步骤。研究还表明,氢渗透活化能主要取决于材料本征性质,而渗透速率则可以通过层数、金属催化剂以及外界化学环境进行有效调控。
这一发现不仅深化了对二维材料气体传输机理的基础认识,也为其在氢分离膜、燃料电池以及催化膜反应器等领域的应用提供了新的理论基础。未来,通过界面工程、异质结构设计以及外场调控,有望进一步提升二维材料在氢能技术中的应用潜力。随着二维材料在能源器件和传感领域应用的不断拓展,这类基于催化-传输耦合机制的研究有望推动二维材料从基础物性研究向实际功能器件应用迈进。
论文信息:Two-dimensional crystals catalyse hydrogen into protons, Nature Commun., 2026
文献链接:https://www.nature.com/articles/s41467-026-71149-w
上海昂维科技有限公司现提供二维材料单晶和薄膜等耗材,器件和光刻掩膜版定制等微纳加工服务,以及各种测试分析,欢迎各位老师和同学咨询,竭诚做好每一份服务。