

各位主任院长杰青,大家好呀!
今天小编分享的这篇文章是2026年3月在期刊《Plos Medicine》(医学一区,IF=9.9)上发表题为:
“Transformer-based deep learning model for real-time prediction of intraoperative hypotension using dynamic time-series vital signs: A retrospective study”
这篇文章探讨了术中低血压(IOH)这一常见的麻醉相关并发症,其与术后严重不良事件风险增加密切相关。旨在开发一种仅使用常规手术室生命体征数据、无需复杂波形输入的Transformer深度学习模型,以实现对IOH的实时、高灵敏度预测,为临床早期干预提供新工具。


中文标题:基于Transformer的深度学习模型用于利用动态时间序列生命体征实时预测术中低血压:一项回顾性研究
发表期刊:Plos Medicine
发表时间:2026年3月
影响因子:9.9/Q1

GBD数据挖掘没头绪?多组学课题卡壳?
CHARLS数据不会整合分析?
想复刻高分文章?
关注 + 后台咨询
手把手教你数据挖掘+操作指南!
解锁同款分析套路!

Transformer模型在时序数据处理中优势显著。当前临床亟需不依赖高分辨率动脉波形、仅凭常规生命体征即可运行的IOH预测方案,以提升在各类手术环境中的可及性和实用性。本研究探索以此简化输入实现可靠预测,为围术期实时决策支持提供新工具。



图1.数据采集、观察到的生命体征及Transformer模型架构概述
1️⃣数据来源:开发集:中国南京鼓楼医院31.9万例非心脏/大血管手术数据。验证集:韩国VitalDB数据库的独立数据。
2️⃣研究设计:回顾性研究。包含嵌套队列分析,评估IOH负荷与术后肾损伤的关联。
3️⃣模型开发:构建仅输入生命体征时间序列的Transformer模型,预测未来5、10、15分钟的IOH事件。
4️⃣对比模型:使用相同数据训练XGBoost模型进行性能对比。
5️⃣性能评估:通过内部与外部验证,综合使用AUC、灵敏度、特异性、校准误差等指标全面评估。


研究思路
1️⃣输入简化:聚焦于所有手术室常规监测的生命体征数据,舍弃实时获取困难的复杂变量,以提升模型的广泛适用性。
2️⃣架构优势:利用Transformer的自注意力机制,有效捕捉生命体征中预示血压下降的长程时序模式。
3️⃣价值验证:通过分析IOH累积负荷与术后肾损伤的关联,为预测模型的临床干预价值提供实证支持。
4️⃣全面对比:与XGBoost进行详细性能比较,明确两种模型在灵敏度、特异性、校准度等方面的不同特点,指导临床场景选择。


IOH负担与AKI和AKD的关联
在23075名患者中,累积性术中低血压与术后急性肾损伤(AKI)和急性肾脏病(AKD)风险增加显著相关,且低血压暴露越严重,肾损伤风险越高。研究发现,AKI患者有相当比例进展为AKD,凸显了肾脏损伤在术后期的连续性(图2)。

图2.术中低血压负担与术后肾脏损伤风险之间的关联
模型预测性能
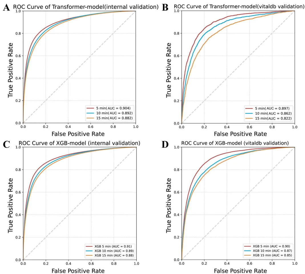
基于Transformer的模型在预测术中心动过缓时展现出极高的灵敏度,能有效避免事件漏报,而XGBoost模型则凭借更高的准确率与特异性,有助于减少误报警。两者性能形成互补,前者优势在于召回率与概率校准,后者强在总体判别与保守预警(图3、图4)。

图3.实时预测术中低血压的比较模型性能

图4.用于术中低血压预测的基于Transformer和XGB模型的PR曲线比较
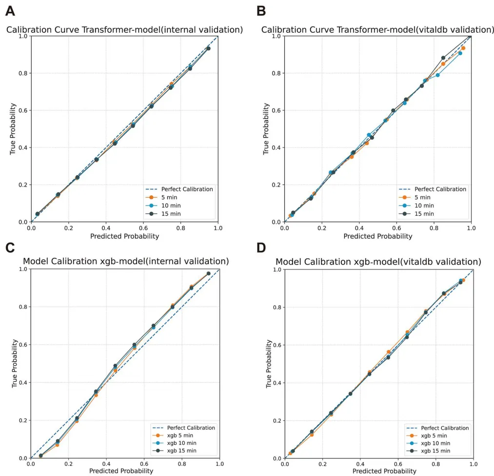
校准分析
校准曲线分析显示,Transformer模型的预测概率具有更优的校准度,与实际发生概率高度一致。在内部验证中,其校准误差(ECE)显著低于XGBoost模型。外部验证中二者表现均佳,但Transformer在短期预测上的稳健性更突出(图5)。

图5.校准曲线用于比较基于Transformer和基于XGB的术中低血压预测模型

本研究成功开发了一个仅依赖常规生命体征的Transformer模型,能够高灵敏度地提前预测术中心动过缓,并经外部数据验证有效。模型设计注重临床普适性,避免了复杂数据依赖。研究不仅证实了模型的优异性能,还明确了IOH的临床危害,为通过实时预警进行主动干预、改善患者预后提供了有力的方法学基础和实证依据。




IF14.5!中山大学肿瘤防治中心曾木圣/曹素梅/钟茜/刘万里团队构建机器学习模型发双一区TOP!实现食管鳞癌超早期无创检测!