南京工业大学:高强度可瓷化气凝胶热防护材料的制备及其高温下的热防护机制研究
热防护系统是飞行器在极端高温环境下工作的关键子系统,是航空航天工业的基础。为了改善传统热防护材料密度过大、导热系数高、烧蚀效率差的固有缺点,迫切需要开发高性能热防护材料,以提高热防护系统对极端热流环境的抵抗能力。基于此,南京工业大学崔升教授团队制备出一种具有高强度及优良抗烧蚀性能的PSZ-PR/CF 气凝胶复合材料,其在高温下的陶瓷化有效地提高了材料的热防护性能。相关研究成果以“Mechanical properties and oxidative ablation behaviors of
polysilazane-modified phenolic resin aerogel/carbon fiber fabric composites”为题发表在Polymer Composites期刊上。http://doi.org/10.1002/pc.27776
采用溶胶-凝胶法,以聚硅氮烷作为改性剂,六亚甲基四胺为交联剂,经过真空浸渍,凝胶老化和常压干燥获得PSZ-PR/CF复合材料。
图2. (a1-e2)不同配比的PSZ-PR/CF气凝胶的SEM图像,(a3-e3)氮气吸附-脱附曲线PSZ-PR气凝胶具有连续的三维多孔网络结构,纳米孔的存在能够有效的抑制气相传热。所有PSZ-PR气凝胶样品均显示IV型等温线和H3型滞回线,这表明所制备的气凝胶具有中孔和大孔。
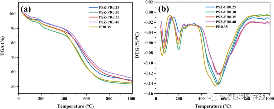
图3. PSZ-PR和PR气凝胶的(a)TG和(b)DTG曲线PSZ-PR气凝胶和PR气凝胶的热降解行为与酚醛树脂相似,表现为25-400 ℃、400-800 ℃、800-1000 ℃三个阶段。接枝到PR分子上的PSZ可以有效抑制PR的降解,使得PSZ-PR0.35的最大热降解速率温度提高了32.1 ℃,热稳定性得到了改善。
PSZ-PR/CF复合材料表现出了良好的力学性能。在气凝胶骨架和碳纤维的协同增强作用下,其抗压强度在xy平面方向最高可达43.75 MPa,拉伸强度最高可达124.75 MPa,抗弯强度最高可达97.94 MPa。
图5. 烧蚀过后PSZ-PR/CF复合材料的SEM图像(a1-a3)烧蚀层 (b1-b3)碳化层 (c1-c3)原始层
在烧蚀层观察到碳纤维表面残留着气凝胶网络结构,而纤维间隙气凝胶完全消失。烧蚀层的TEM图像表明,残余的网状结构是通过气凝胶基体的碳化和陶瓷化形成的。碳/陶瓷网络结构削弱了纤维与气流的接触,阻碍了内部物质的热解。暴露在氧乙炔火焰下的碳纤维通过表面辐射消散了大量的入射对流热。在碳化层中,纤维周围的气凝胶比原始层孔隙更大,网络结构更稀疏。碳化过程中产生的热解气体向外渗透并扩散到受热表层,最终在边界层中发生热传导和阻塞过程。原始层的初始气凝胶结构能够有效地抑制热传递。
图7. PSZ-PR/CF复合材料的烧蚀机理示意图
南京工业大学材料科学与工程学院崔升、仲亚教授为本工作的通讯作者,课题组博士生尤琦为论文第一作者。编辑:鞠丽
审核:杨静、刘亚丹
【投稿】
chsima@163.com
jl36797420(微信号)