不同时期的地图,作为一种特殊的“历史遗存”,隐藏着空间、历史和文化信息,既镌刻着人们对于地理空间的认知,更沉淀着一座城市的历史密码与文化基因。

玄武湖第一幅旅游导览图 图源:南京玄武湖景区
南京,这座“一城载千年,一湖映五洲”的历史文化名城,便在一张张古地图的经纬之间,展露着玄武湖与城共生的千年风华。

南京的建城史,是一部不断被考古与文献刷新的传奇。据《景定建康志》记载“周元王四年(公元前472年),范蠡佐越灭吴……立城于金陵,以强威势,” 史称“越城”。由此可见,南京建城史约2500多年。而秦淮区西街遗址“长干古城”的考古发现,将这一时间线向前推进600年,定格在3100多年前的商周之际。
玄武湖总面积5.13平方公里,其中水面3.78平方公里,周长约10公里,是国家级风景名胜区钟山风景名胜区的重要组成部分,被誉为“金陵明珠”。玄武湖与南京城一同孕育成长、发展壮大,用一个个更迭的名称、一段段厚重的往事,塑造着城市的气质与品位,牵动着南京人的记忆。

这张照片出自1910年出版的《金陵胜观》,近处的大塘即西家大塘,城墙外就是玄武湖。
南京旧称金陵、秣陵。公元211 年,孙权徙治秣陵,次年改“秣陵”为“建业”,意为建功立业。229年,孙权在武昌称帝,同年迁都建业。孙权将钟山改称蒋山,其目的,一是为了避祖父名讳,孙权的祖父名钟;二是为了纪念蒋子文,汉秣陵尉蒋子文曾战死钟山。因此,玄武湖由秣陵湖改称蒋陵湖,又因为该湖位于钟山之北、宫城之后,又称“北湖”“后湖”。
公元320年,东晋大兴三年,晋元帝疏浚玄武湖,加深湖床,扩大水域,把玄武湖作为训练水师的重要场所。宋孝武帝、齐武帝、陈武帝均在此操练过水军,玄武湖又称“习武湖”“练湖”。
南朝刘宋时,湖中出现黑龙,“玄”为黑色之意,湖始称“玄武湖”。这一名称既契合了龟蛇合体的北方之神意象,更让南京形成了“东有钟山、西有石头城、南有朱雀桥、北有玄武湖”的四神布局,成为城市礼制的鲜活注脚。
明代,玄武湖迎来了身份的华丽转身。1368年,朱元璋称帝,国号大明,定都南京。后来,朱元璋建立户籍与赋役的黄册制度,在玄武湖贮藏全国的户口、赋役、图籍,成为皇家档案馆。朱元璋去世后与马皇后合葬明孝陵。据明代《后湖志》记载:“自祖洲注望,皇陵正出洲上,而洲为山麓若趾焉。长发其祥,是足占矣”。陵趾洲又称麟趾洲,亦简称趾洲,即今之翠洲。

后湖图 明赵官等编纂的《后湖志》 图源:南京玄武湖景区

后湖图 明王圻、王思义父子于1607年共同编著的《三才图会》 图源:南京玄武湖景区
到了清代,康熙原名爱新觉罗·玄烨,为避帝王名讳,玄武湖改称“元武湖”。据清代《后湖志》记载:“后湖中有五洲,曰新洲、曰旧洲、曰龙引洲、曰莲萼洲(俗呼菱、志、长、新、老五洲,又呼菱、志二洲曰团、后二洲)”。

1910年,中国历史上首次以官方名义主办的国际性博览会——南洋劝业会的举办,成为玄武湖的重要转折点。为方便游览,两江总督张人骏开丰润门(张系河北丰润人),增辟绿地,建造陶公亭及览胜楼,玄武湖正式成为近代意义上的公园。

南洋劝业会会场图 图源:南京玄武湖景区

1910年代玄武门 图源:南京玄武湖景区
如果说历史文献是文字的记载,那么古地图便是视觉的史诗。数幅不同时期的南京地图,如多棱镜般折射出玄武湖的变迁轨迹。




图1:邓启贤落款的《江宁省城图》题注和玄武湖
原图为纸本,朱墨双色套印,左下方落款“秣陵邓启贤谨识”。地图以北为上,廓内画红线,右下方注记“每方十里”,以红色标注历史古迹或名胜。城墙、城门及山岗采用立体透视绘法,成俯视全城的视角。官署、街巷、河塘、桥梁、寺宇、营卫等以墨线勾画,配以文字注记,简述地名沿革、典故、事件等。城外注有“军工厂”,且聚宝门外无“大报恩寺”,也无金陵机器制造局(1865年开办)。
该图以描绘太平天国战争前的南京城市面貌为主,同时表现了一些战争结束以后新出现的地理变化。据专家推断,该图成于1865年前。玄武湖用黑色字体标注为元武湖,用红色字体标注为昆明池,湖中有四洲,分别为新洲、旧洲、莲萼洲、龙引洲。湖周有城墙,覆舟山东侧为太平门,西北侧以黑色字体标注神策门,同时用红色字体标注为得胜门。




图2:1856年袁青绶《江宁省城图》题注和玄武湖
原图收藏于大英图书馆,长112厘米、宽62厘米,为单色墨线刻印。图后落款咸丰六年(1856)丙辰兴化袁青绶谨识于楚南浏阳官舍。图序云:金陵自始皇凿通秦淮,魏晋以还遂称都会,钟扁迭更,古迹错出。自癸丑甲寅久罹浩劫,曩之资考核寓凭吊者,行且荡为瓦砾矣,爰就家藏金陵省会城垣街巷旧图重付剞劂,贻我乡人,庶几为好古之一助。板存金陵聚宝门内武定桥西大街姑苏张凤荣纸铺监制。
序言中“钟扁”指钟山(紫金山)与扁山(或泛指金陵周边山峦),“迭更”意为“交替更迭”。这里形容金陵历经朝代更替,山川形胜与人文景观不断变迁,如六朝建康宫城、明代城墙等遗迹,均随政权更迭而兴废。“古迹错出”指古迹交错涌现,分布密集。序文用白话表述,金陵自秦始皇开凿秦淮河后,历经魏晋逐渐成为繁华都会,朝代更迭中古迹星罗棋布。但自癸丑(1853年)、甲寅年(1854年)遭受巨大劫难,那些可供考证历史、寄托凭吊的古迹,眼看就要毁于瓦砾之中。因此将家藏的金陵省城垣街巷旧图重新刊印,赠予同乡,希望能为爱好古文化者提供些许帮助。

刻板存放于金陵聚宝门内武定桥西大街,由姑苏张凤荣纸铺监制。南京城内城墙、官署、军营、街坊巷弄、河流、山川、桥梁、寺观庙宇及部分景点以文字注记。秦淮河畔的乌衣巷、夫子庙,与明孝陵、中山陵等古迹并存,太平天国时已废弃的江宁府学、毁于战火的大报恩寺和八旗驻防城俱在原址,形成时空交织的文化层积。
该图反映了太平天国攻占南京以前的南京城市面貌,标注的多处建筑已毁废,刊刻目的在于怀念江南名都金陵。图中玄武湖仅标注元武湖、昆明池、桑泊,没有标注湖中各洲。




图3:1898年中法文《江宁府城图》题注和玄武湖
原图为彩色石印本,由法国传教士方殿华神父绘制,用中文、法文注记。运用经纬网控制测绘,测绘技术与精度控制已达到较高水平。地图要素完备,表达简明、清晰,详略得当。城池形状与现代南京城市测绘地图基本相同,反映了19世纪90年代后期的南京城市景观。
传统中国行政都市的空间特色在地图上一览无余,新涌现的近代城市空间要素也能在地图上一一展现,充满了时代气息,展示了一幅新旧更替、中西交融的近代中国城市图景。图中用大号字体标注后湖,同时标注为元武湖、昆明池,湖中标有新洲、旧洲、莲萼洲、龙引洲四洲。该地图上还标注了前湖(钟山前面又名燕雀湖)、中湖(太平门外)。




图4:1903年清末《陆师学堂新测金陵省城全图》题注和玄武湖
1903年清末《陆师学堂新测金陵省城全图》题注和玄武湖,著作权人为“陆师学堂”,左下方图内注明“毕业生钟丙熙专测并绘 毕业生李德霖同测”,右下侧标有“此图系学堂奉两江督宪命测绘镌印如有人翻板即行重究”字样。注文意为,该图系江南陆师学堂奉两江总督刘坤一吩咐,委派毕业生钟丙熙、李德霖测绘并予以镌印发行。
据有关专家考证,图中有格致书院,而无三江师范学堂。格致书院于1899年由江南高等学堂降等改建,1904年升级为江南高等实业学堂。三江师范学堂于1902筹建,1904年开学上课。这说明,《全图》的问世时间必在1903年之前(含1903年)。而1903年以前与“陆师学堂”只有江南陆师学堂。江南陆师学堂1896年由署理两江总督张之洞奏请创办,校址在城北三牌楼,招收13至20岁之间文理通顺能知大义者入学,“大约通以三年为期”。图中用楷体标注了玄武湖,湖中标注出趾洲、老洲、长洲、新洲、麟洲等五洲,概貌与今日大体一致。




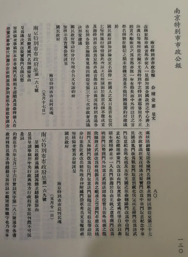
图5:1928年6、7月《南京特别市市政公报》——城门更名
1927年4月,蒋介石的国民党政府定都南京。玄武湖,因所处位置不易受外界影响,实有世外桃源之境。1928年在民国首府改名浪潮中,有人提议将为南洋劝业会开辟的城门丰润门,更名为桃源门。1928年6月15日《南京特别市市政公报》第14、15合期,公文公牍汇要呈文第80页《呈为变更城门名称请备案由》,“本市各城门名称类多鄙陋,及为崇拜个人着想,实非革命时代所应存在。前经派员分别查明,令发社会调查处核议,……丰润门改为桃源门,因丰润门外即为玄武湖,该湖地位实具世外桃源之观,故拟将玄武湖改为新桃源,其与之毗连之丰润门,亦应改为桃源门。”
1928年7月31日《南京特别市市政公报》第16期(见图5),市政消息《首都城门名称改定,业经国府会议决定,即将改换城门横额》,“本市各城门名称,间多含封建帝王思想或神秘观念,殊非革命时代所应存在,……桃源门改为玄武门。……玄武湖泽被民生,玄武门名副其实。”由此可见,丰润门先改为桃源门,后经再斟酌和征求意见,最后定名为玄武门。

1928年9月,玄武湖公园更名为五洲公园,其中以长洲为亚洲,而将包于该洲内之新洲改名欧洲,老洲改名美洲,趾洲改名非洲,麟洲改名澳洲。据1929年《首都公园游览指南》记载:“湖址:位于京城东北丰润门外,东邻钟山,南枕台城,北近沪宁铁道,全湖之形,略似三角形。湖中有菱、芷、长、新、老五洲。今菱洲改称澳洲,芷洲改称非洲,长洲改称亚洲,新洲改称欧洲,老洲改称美洲。亚、美、非三洲,均藉长堤连贯,澳洲远在湖心,非舟莫渡”,可知趾洲彼时亦称芷洲。图6为1935年5月南京城市图题注和玄武湖,玄武湖公园为五洲公园,湖中五洲清晰可见。




图6:1935年5月《南京城市图》题注和玄武湖
1935年7月,国民政府南京市政会议议定五洲地名,赋予名称深刻文化内涵。环洲,洲屿形态屈曲如半环,给人曲径通幽之感;樱洲,洲上樱桃树极多,春风三月,绿醉红酣;梁洲,为昭明太子梁园故址;翠洲,取“浓翠可掬”之意,洲上翠竹亭亭,纵横数亩;菱洲,洲原多产菱,湖民自称菱洲。玄武湖五洲新名称朗朗上口,又蕴含深厚文化意涵,深得民众传诵,沿用至今。图7为1947年《南京市街道详图》题注和玄武湖,图中湖名及其洲名与今日称呼完全一致,成为独特的历史文化见证。




图7:1947年《南京市街道详图》题注和玄武湖
一张张古地图,如一扇扇时光之门,让我们得以窥见玄武湖的千年变迁。从商周时期的古城畔到魏晋的水师操练场,从明代的皇家档案馆到近代的城市公园,玄武湖的每一个名称、每一处标注,都承载着南京的历史记忆与文化基因。而这些地图本身,也作为特殊的文物,将空间、历史与文化融为一体,成为这座城市永恒的精神印记。

作者:肖兆权,中共南京市委党史工作办公室副主任
编辑:朱振鑫
审核:陈晓婧
发布:李海宏
更多精彩 |跟着总书记看江苏|胡阿祥|程章灿|葛剑雄|江苏名志|中国共产党在江苏|冷历史|江苏风物|江苏民俗|清廉江苏|名人掌故|运河文化|苏商传奇|江苏名镇名村|海上丝绸之路之江苏寻迹|一城一诗长江行|古都南京|温婉苏州|徐州人文|镇江人文|美丽淮安|南通故事|泰州人文|美丽常州|黄海之滨盐城|东海胜境连云港|无锡史话|宿迁史志|美好扬州
本文仅代表作者观点,不代表本号立场
部分图片视频来自互联网
版权归原作者或媒体所有

征稿启事