

关注我们,点亮星标,精彩内容尽在掌握!



在自然界中,鱼类凭借其卓越的游动能力成为了仿生学的热点研究对象之一。然而,鱼类高效游动的内在机理至今依然有许多存疑之处。近日,南京工程学院林星箭副教授作为第一作者兼通讯作者,在国际权威期刊《Physics of Fluids》发表最新研究成果(标题:Hydrodynamics and scaling laws for the two-degree-of-freedom propulsion of an undulating swimmer),揭示了波动游动中频率与波长对推进性能的耦合影响,提出了新的推进效能标度律,为仿生机器鱼的优化设计提供了理论参考。论文研究得到了南京航空航天大学吴杰教授的宝贵建议和热心支持。
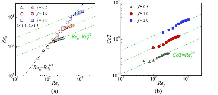
论文将鱼类游动简化为两自由度自推进的波动水翼模型,通过数值模拟方法,系统研究了不同频率和波长组合下仿生鱼的自主游动性能。研究发现,游动速度随频率增加而单调提升,但随波长的变化呈非单调趋势,最佳波长约为1.25倍体长,且该最优值与频率无关。同时,论文研究发现,仿生鱼推进效能的标度率依赖于波长。当波长不超过1.5倍体长时,推进速度满足Reu∼Ref4/3;当波长超过1.5倍体长时,推进速度满足Reu∼Ref1/2。并且,仿生鱼的推进效率满足CoT∼Ref2/5。此外,论文分析了仿生鱼游动的推力来源,发现推力主要来源于躯体尾部30%的部位(贡献了超过70%的净推力),同时其余的躯体部位也会“按需发力”,例如:鱼体头部在波长较大的情况下会利用前缘涡的吸附效应产生推力,鱼体中部则会在波长较短时辅助产生推力。本文研究成果有助于人们深入理解鱼类的高效游动机制,并为仿生机器鱼的效能优化设计提供理论参考。

图1 仿生鱼(a)推进速度和(b)效率的标度率。
团队介绍
第一作者/通讯作者:林星箭,南京工程学院机械工程学院副教授,硕士生导师。主要从事计算流体力学方法及应用、生物飞行/游动及其集群运动的流体力学机理、仿生机器鱼效能优化设计等方面的研究工作。近年来,主持国家自然科学基金、江苏省自然科学基金等各类科研项目多项,以第一/通讯作者在Journal of Fluid Mechanics (5篇), Physics of Fluids (4篇), Journal of Fluids and Structures, Physical Review Fluids, Acta Mechanica Sinica 等国际著名学术期刊发表SCI论文十余篇,出版学术专著1部,授权发明专利2项,获中国空气动力学会科学技术二等奖、中国力学学会优博、江苏省优博等奖励多项。
文章信息
Hydrodynamics and scaling laws for the two-degree-of-freedom propulsion of an undulating swimmer
Xingjian Lin (林星箭); Tao Zhou (周涛); Yusheng Liu (刘宇生); Jie Wu (吴杰)
Physics of Fluids 37, 101905 (2025)
https://doi.org/10.1063/5.0296783

扫描二维码 查看原文
期刊介绍
Physics of Fluids是一种致力于发表原创理论、计算和实验贡献,以了解气体、液体和复杂或多相流体动力学的卓越期刊。本刊对流体物理的主题进行了专业的快速审查,反映了流体动力学中最重要的主题。


关于AIP出版社
美国物理联合会出版社(AIP 出版社)是美国物理联合会(AIP)旗下的非营利独资出版社。AIP 出版社的使命是在物理和相关科学领域开展学术出版活动,以支持AIP的慈善、科学和教育目标。我们也代表出版合作伙伴进行出版活动,以帮助其积极推进自身的使命。
访问主页:https://publishing.aip.org/
相关文章推荐
PoF | 南昌大学张莹教授团队与国防科技大学赵万东联合团队:一种适用于不同润湿性条件的伪势格子玻尔兹曼方法改进曲线边界格式