当前位置:首页>南京>中国科学院南京土壤研究所ES&T:镉同位素揭示农业生态系统中大气沉降的主要暴露途径

中国科学院南京土壤研究所ES&T:镉同位素揭示农业生态系统中大气沉降的主要暴露途径

  • 2026-04-16 06:04:31
中国科学院南京土壤研究所ES&T:镉同位素揭示农业生态系统中大气沉降的主要暴露途径

转自公众号农业环境科学,如有侵权请联系后台删除

第一作者:夏睿智

通讯作者:周俊

通讯单位:中国科学院南京土壤研究所

论文DOI10.1021/acs.est.5c16224

图文摘要
成果简介
近日,中国科学院南京土壤研究所周静研究员团队周俊研究员在环境领域知名期刊Environmental Science & Technology发表了题为“Cadmium Isotopes Reveal Dominant Atmospheric Deposition Pathways in Agroecosystems” 的研究论文,采用连续两年的开顶式气室暴露实验和镉(Cd)稳定同位素技术,研究大气沉降Cd通过不同沉降类型和不同暴露途径对作物(水稻和小白菜)可食部分的贡献,为定量农业生态系统中大气沉降Cd的来源分配提供了更精细的方法
全文速览
大气中的镉(Cd)沉降对农业生态系统和食品安全构成重大风险。然而,定量追踪大气Cd在土壤-作物系统中的贡献和迁移机制仍具挑战性。通过将连续两年的开顶式气室(OTC)、温室实验与Cd稳定同位素示踪技术相结合,我们阐明了农业生态系统中大气干、湿Cd沉降的生物地球化学过程及其在作物中的积累情况。新沉积的Cd在土壤中迅速老化,其生物有效性取决于沉降类型。土壤中生物可利用Cd的同位素特征主要由大气干沉降控制,这种规律在作物的可食用部分中也得以体现,且对于任何一种沉降类型、暴露途径均是如此,这表明湿沉降和干沉降中生物可利用Cd的同位素特征及其在环境中的迁移特性是一致的。应用温室实验得出的分馏系数,对同位素混合模型进行优化,我们计算得出大气沉降对土壤生物可利用Cd的贡献率为29%-65%。水稻籽粒和小白菜地上部分中超过50%Cd是通过叶片吸收沉降Cd所贡献的,这一比例超过了根部吸收土壤原有Cd的贡献。这项研究确定了Cd同位素作为区分Cd迁移途径和来源的可靠工具,为定量农业生态系统中Cd的来源提供了一种更准确的方法
引言
大气中Cd的巨大生态环境风险源于其高活性和生物可利用性。大气沉降物中生物可利用部分的比例占总沉降Cd的三分之二以上,远高于土壤中的比例,因此可能放大大气沉降对粮食作物的影响。大气沉降中的Cd通过根部和叶部吸收对作物中Cd的积累产生双重影响。首先,新沉降的Cd优先与土壤团聚体表面结合,并容易释放到土壤溶液中,从而促进根部对Cd的吸收。其次,大气沉降中的Cd可以通过叶面被植物吸收,并随后转移到可食用部分。叶片可以通过气孔、裂缝、皮孔和气孔周围的小孔从大气沉降中吸收微量金属结合的颗粒,主要通过相邻细胞的胞间连丝中的次级运输途径,通过角质层或表皮细胞壁中的蜡质膜上的气孔或皮孔通过主动运输进行吸收。然而,作物叶片吸收不同大气沉降类型的Cd对可食用部分Cd积累的贡献仍难以准确鉴定。不同于大气干沉降的是,大气湿沉降与土壤不存在显著的Cd同位素指纹特征差异,且不同沉降类型(干沉降和湿沉降)以及暴露途径(根部和叶面暴露)对作物Cd积累过程中同位素分馏的影响也尚不明确,多种影响因素的共存使得在环境中定量计算大气沉降Cd源对作物可食用部分的贡献变得困难
图文导读

1. 温室实验和野外大气暴露实验的设计

为了阐明不同大气沉降类型、作物暴露途径和土壤类型对土壤-作物系统的影响,在中国最大的铜冶炼厂周围的定制开顶式气室中进行了为期两年的连续原位大气暴露实验。同时,结合温室实验,确定了大气干、湿沉降在土壤中的老化过程、以及通过叶面和根部暴露被作物富集过程中的Cd同位素分馏因子,为同位素混合模型的优化提供修正参数。结果表明,大气沉降中生物可利用Cd在土壤中老化过程以及在作物中吸收转运过程的分馏程度由大气沉降的生物可利用Cd的同位素组成决定,而与其形态变化无关

2.大气沉降通量(a)、不同处理下土壤生物可利用Cd浓度(b)及同位素组成(c)以及质量平衡模型和同位素混合模型计算的大气沉降对土壤生物可利用Cd的贡献(d)。

OTC实验中,无论是背景土壤还是受污染土壤,大气沉降暴露均显著增加了作物地上组织中Cd的浓度,由传统的质量平衡模型计算可得,相较于对照处理,大气沉降Cd对作物可食用部分的贡献显著高于土壤。与根部暴露相比,叶面暴露对水稻籽粒和小白菜地上部分的积累贡献更大

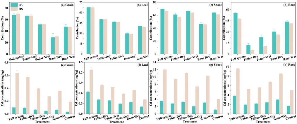
3. 不同处理下水稻籽粒、叶片和小白菜地上、地下部分的Cd浓度。

与对照组相比,水稻籽粒和小白菜地上、地下部分的Cd同位素组成均发生显著偏轻的转变。根据温室实验获取的大气沉降通过不同沉降类型和不同暴露途径进入作物可食部分过程中的Cd同位素分馏因子,可以优化同位素混合模型,并定量计算大气沉降对作物可食部分Cd的贡献。在四种单一暴露途径处理中,可直接应用同位素混合模型分别计算大气干、湿沉降和土壤对不同作物组织的Cd贡献。在水稻和小白菜中,计算结果与质量平衡模型所得结果一致。为了进一步区分大气沉降在开放环境中,分别通过根部和叶面暴露途径对不同作物可食部分的贡献,我们深入优化了同位素混合模型
4. 不同处理的土壤剖面、大气沉降和作物各器官中的Cd同位素组成(ac)以及质量平衡模型和同位素混合模型计算的大气沉降对作物可食部分的贡献(bd)。
根据优化的同位素混合模型,我们在开放体系中,进一步将大气沉降Cd通过叶面和根部暴露的途径对水稻籽粒和小白菜地上部分的贡献进行了区分。与根部暴露相比,叶面吸收大气沉降Cd对水稻籽粒、小白菜地上部分的贡献占主导地位,占比超过50%。在根部暴露途径中,大气沉降Cd对水稻籽粒和小白菜地上部分的贡献为16%-20%,甚至低于土壤原有Cd的贡献(30%-34%)。然而,考虑到土壤和大气沉降Cd总量的显著差异,大气Cd的贡献仍然显得过高。值得注意的是,叶片吸收大气沉降Cd并随后向其他组织转运这一途径对小白菜地下部分的贡献为14%-18%
小结
大气湿沉降Cd转化为土壤可生物利用Cd这一过程,是生态系统传输过程中干沉降Cd转化为土壤生物可利用Cd这一过程中的一个关键环节。土壤中生物可利用Cd的同位素组成完全由大气干沉降Cd的同位素组成所决定,而环境中生物可利用Cd的同位素组成则直接决定了作物组织中的Cd同位素组成。因此,在优化生物和非生物过程的同位素混合模型参数时,仅关注Cd源与土壤中生物可利用Cd或作物可食用部分Cd之间存在的Cd同位素分馏,就能够得出准确的修正参数。这些发现不仅实现了对复杂环境信息的降维处理,为优化同位素混合模型提供了新的方向,还拓宽了同位素技术用于追踪Cd来源的应用范围。人为来源的Cd通常通过各种途径输入生态系统,尤其是以溶解态的形式。有些溶解态的Cd并没有独特的同位素指纹特征,但与溶解态Cd的来源相结合,能够为追踪生态系统中的Cd来源提供新的见解。此外,我们建议,在受大气沉降影响的地区,有必要通过筛选低Cd积累作物品种以及增强叶面防护来减少作物可食部分Cd的积累
作者介绍
通讯作者:周俊,博士,中国科学院南京土壤研究所研究员,国家高层次青年人才,中国科学院高层次青年人才,江苏省杰出青年基金获得者。长期从事于地-气交换通量与土壤修复研究,重点研究地表重金属(汞)排放和大气重金属(镉、汞等)沉降以及其在复杂地表生态系统中的环境效应和土壤修复技术与机制。主持国家自然科学区域创新发展联合基金、面上项目、江苏省杰出青年基金、江西省杰出青年基金、江西省重点研发课题,作为骨干参加国家重点研发计划、美国国家自然科学基金等多项课题。以第一/通讯作者在Nature Reviews Earth & EnvironmentNature CommunicationsEnvironmental Science & TechnologyEnvironmental Science & Technology LettersAtmospheric Chemistry and Physics等知名期刊发表 SCI 论文70余篇,任Frontiers in Environmental Science副主编以及Nature CommunicationsOne Earth30多个 SCI 期刊的审稿人。联系邮箱:zhoujun@issas.ac.cn
第一作者:夏睿智,中国科学院南京土壤研究所,博士,长期聚焦于“稳定同位素示踪地气界面镉的生物地球化学循环”方面的研究。主持国家自然科学青年基金、中国科学院资助项目、江苏省自然科学青年基金、全国重点实验室开放基金项目和中国博士后面上资助等项目。以第一/共同作者在Environmental Science & TechnologyEnvironmental Science & Technology Letters等期刊上发表SCI论文10余篇。联系邮箱:xiaruizhi@issas.ac.cn.
(来源:Environmental Advances
文章链接

https://doi.org/10.1021/acs.est.5c16224

最新文章

随机文章

基本 文件 流程 错误 SQL 调试
  1. 请求信息 : 2026-04-18 03:36:00 HTTP/2.0 GET : https://b.460.net.cn/a/531741.html
  2. 运行时间 : 0.096278s [ 吞吐率:10.39req/s ] 内存消耗:4,398.75kb 文件加载:140
  3. 缓存信息 : 0 reads,0 writes
  4. 会话信息 : SESSION_ID=c2f717b2f83719018db993915e4a998e
  1. /yingpanguazai/ssd/ssd1/www/b.460.net.cn/public/index.php ( 0.79 KB )
  2. /yingpanguazai/ssd/ssd1/www/b.460.net.cn/vendor/autoload.php ( 0.17 KB )
  3. /yingpanguazai/ssd/ssd1/www/b.460.net.cn/vendor/composer/autoload_real.php ( 2.49 KB )
  4. /yingpanguazai/ssd/ssd1/www/b.460.net.cn/vendor/composer/platform_check.php ( 0.90 KB )
  5. /yingpanguazai/ssd/ssd1/www/b.460.net.cn/vendor/composer/ClassLoader.php ( 14.03 KB )
  6. /yingpanguazai/ssd/ssd1/www/b.460.net.cn/vendor/composer/autoload_static.php ( 4.90 KB )
  7. /yingpanguazai/ssd/ssd1/www/b.460.net.cn/vendor/topthink/think-helper/src/helper.php ( 8.34 KB )
  8. /yingpanguazai/ssd/ssd1/www/b.460.net.cn/vendor/topthink/think-validate/src/helper.php ( 2.19 KB )
  9. /yingpanguazai/ssd/ssd1/www/b.460.net.cn/vendor/topthink/think-orm/src/helper.php ( 1.47 KB )
  10. /yingpanguazai/ssd/ssd1/www/b.460.net.cn/vendor/topthink/think-orm/stubs/load_stubs.php ( 0.16 KB )
  11. /yingpanguazai/ssd/ssd1/www/b.460.net.cn/vendor/topthink/framework/src/think/Exception.php ( 1.69 KB )
  12. /yingpanguazai/ssd/ssd1/www/b.460.net.cn/vendor/topthink/think-container/src/Facade.php ( 2.71 KB )
  13. /yingpanguazai/ssd/ssd1/www/b.460.net.cn/vendor/symfony/deprecation-contracts/function.php ( 0.99 KB )
  14. /yingpanguazai/ssd/ssd1/www/b.460.net.cn/vendor/symfony/polyfill-mbstring/bootstrap.php ( 8.26 KB )
  15. /yingpanguazai/ssd/ssd1/www/b.460.net.cn/vendor/symfony/polyfill-mbstring/bootstrap80.php ( 9.78 KB )
  16. /yingpanguazai/ssd/ssd1/www/b.460.net.cn/vendor/symfony/var-dumper/Resources/functions/dump.php ( 1.49 KB )
  17. /yingpanguazai/ssd/ssd1/www/b.460.net.cn/vendor/topthink/think-dumper/src/helper.php ( 0.18 KB )
  18. /yingpanguazai/ssd/ssd1/www/b.460.net.cn/vendor/symfony/var-dumper/VarDumper.php ( 4.30 KB )
  19. /yingpanguazai/ssd/ssd1/www/b.460.net.cn/vendor/topthink/framework/src/think/App.php ( 15.30 KB )
  20. /yingpanguazai/ssd/ssd1/www/b.460.net.cn/vendor/topthink/think-container/src/Container.php ( 15.76 KB )
  21. /yingpanguazai/ssd/ssd1/www/b.460.net.cn/vendor/psr/container/src/ContainerInterface.php ( 1.02 KB )
  22. /yingpanguazai/ssd/ssd1/www/b.460.net.cn/app/provider.php ( 0.19 KB )
  23. /yingpanguazai/ssd/ssd1/www/b.460.net.cn/vendor/topthink/framework/src/think/Http.php ( 6.04 KB )
  24. /yingpanguazai/ssd/ssd1/www/b.460.net.cn/vendor/topthink/think-helper/src/helper/Str.php ( 7.29 KB )
  25. /yingpanguazai/ssd/ssd1/www/b.460.net.cn/vendor/topthink/framework/src/think/Env.php ( 4.68 KB )
  26. /yingpanguazai/ssd/ssd1/www/b.460.net.cn/app/common.php ( 0.03 KB )
  27. /yingpanguazai/ssd/ssd1/www/b.460.net.cn/vendor/topthink/framework/src/helper.php ( 18.78 KB )
  28. /yingpanguazai/ssd/ssd1/www/b.460.net.cn/vendor/topthink/framework/src/think/Config.php ( 5.54 KB )
  29. /yingpanguazai/ssd/ssd1/www/b.460.net.cn/config/app.php ( 0.95 KB )
  30. /yingpanguazai/ssd/ssd1/www/b.460.net.cn/config/cache.php ( 0.78 KB )
  31. /yingpanguazai/ssd/ssd1/www/b.460.net.cn/config/console.php ( 0.23 KB )
  32. /yingpanguazai/ssd/ssd1/www/b.460.net.cn/config/cookie.php ( 0.56 KB )
  33. /yingpanguazai/ssd/ssd1/www/b.460.net.cn/config/database.php ( 2.47 KB )
  34. /yingpanguazai/ssd/ssd1/www/b.460.net.cn/vendor/topthink/framework/src/think/facade/Env.php ( 1.67 KB )
  35. /yingpanguazai/ssd/ssd1/www/b.460.net.cn/config/filesystem.php ( 0.61 KB )
  36. /yingpanguazai/ssd/ssd1/www/b.460.net.cn/config/lang.php ( 0.91 KB )
  37. /yingpanguazai/ssd/ssd1/www/b.460.net.cn/config/log.php ( 1.35 KB )
  38. /yingpanguazai/ssd/ssd1/www/b.460.net.cn/config/middleware.php ( 0.19 KB )
  39. /yingpanguazai/ssd/ssd1/www/b.460.net.cn/config/route.php ( 1.89 KB )
  40. /yingpanguazai/ssd/ssd1/www/b.460.net.cn/config/session.php ( 0.57 KB )
  41. /yingpanguazai/ssd/ssd1/www/b.460.net.cn/config/trace.php ( 0.34 KB )
  42. /yingpanguazai/ssd/ssd1/www/b.460.net.cn/config/view.php ( 0.82 KB )
  43. /yingpanguazai/ssd/ssd1/www/b.460.net.cn/app/event.php ( 0.25 KB )
  44. /yingpanguazai/ssd/ssd1/www/b.460.net.cn/vendor/topthink/framework/src/think/Event.php ( 7.67 KB )
  45. /yingpanguazai/ssd/ssd1/www/b.460.net.cn/app/service.php ( 0.13 KB )
  46. /yingpanguazai/ssd/ssd1/www/b.460.net.cn/app/AppService.php ( 0.26 KB )
  47. /yingpanguazai/ssd/ssd1/www/b.460.net.cn/vendor/topthink/framework/src/think/Service.php ( 1.64 KB )
  48. /yingpanguazai/ssd/ssd1/www/b.460.net.cn/vendor/topthink/framework/src/think/Lang.php ( 7.35 KB )
  49. /yingpanguazai/ssd/ssd1/www/b.460.net.cn/vendor/topthink/framework/src/lang/zh-cn.php ( 13.70 KB )
  50. /yingpanguazai/ssd/ssd1/www/b.460.net.cn/vendor/topthink/framework/src/think/initializer/Error.php ( 3.31 KB )
  51. /yingpanguazai/ssd/ssd1/www/b.460.net.cn/vendor/topthink/framework/src/think/initializer/RegisterService.php ( 1.33 KB )
  52. /yingpanguazai/ssd/ssd1/www/b.460.net.cn/vendor/services.php ( 0.14 KB )
  53. /yingpanguazai/ssd/ssd1/www/b.460.net.cn/vendor/topthink/framework/src/think/service/PaginatorService.php ( 1.52 KB )
  54. /yingpanguazai/ssd/ssd1/www/b.460.net.cn/vendor/topthink/framework/src/think/service/ValidateService.php ( 0.99 KB )
  55. /yingpanguazai/ssd/ssd1/www/b.460.net.cn/vendor/topthink/framework/src/think/service/ModelService.php ( 2.04 KB )
  56. /yingpanguazai/ssd/ssd1/www/b.460.net.cn/vendor/topthink/think-trace/src/Service.php ( 0.77 KB )
  57. /yingpanguazai/ssd/ssd1/www/b.460.net.cn/vendor/topthink/framework/src/think/Middleware.php ( 6.72 KB )
  58. /yingpanguazai/ssd/ssd1/www/b.460.net.cn/vendor/topthink/framework/src/think/initializer/BootService.php ( 0.77 KB )
  59. /yingpanguazai/ssd/ssd1/www/b.460.net.cn/vendor/topthink/think-orm/src/Paginator.php ( 11.86 KB )
  60. /yingpanguazai/ssd/ssd1/www/b.460.net.cn/vendor/topthink/think-validate/src/Validate.php ( 63.20 KB )
  61. /yingpanguazai/ssd/ssd1/www/b.460.net.cn/vendor/topthink/think-orm/src/Model.php ( 23.55 KB )
  62. /yingpanguazai/ssd/ssd1/www/b.460.net.cn/vendor/topthink/think-orm/src/model/concern/Attribute.php ( 21.05 KB )
  63. /yingpanguazai/ssd/ssd1/www/b.460.net.cn/vendor/topthink/think-orm/src/model/concern/AutoWriteData.php ( 4.21 KB )
  64. /yingpanguazai/ssd/ssd1/www/b.460.net.cn/vendor/topthink/think-orm/src/model/concern/Conversion.php ( 6.44 KB )
  65. /yingpanguazai/ssd/ssd1/www/b.460.net.cn/vendor/topthink/think-orm/src/model/concern/DbConnect.php ( 5.16 KB )
  66. /yingpanguazai/ssd/ssd1/www/b.460.net.cn/vendor/topthink/think-orm/src/model/concern/ModelEvent.php ( 2.33 KB )
  67. /yingpanguazai/ssd/ssd1/www/b.460.net.cn/vendor/topthink/think-orm/src/model/concern/RelationShip.php ( 28.29 KB )
  68. /yingpanguazai/ssd/ssd1/www/b.460.net.cn/vendor/topthink/think-helper/src/contract/Arrayable.php ( 0.09 KB )
  69. /yingpanguazai/ssd/ssd1/www/b.460.net.cn/vendor/topthink/think-helper/src/contract/Jsonable.php ( 0.13 KB )
  70. /yingpanguazai/ssd/ssd1/www/b.460.net.cn/vendor/topthink/think-orm/src/model/contract/Modelable.php ( 0.09 KB )
  71. /yingpanguazai/ssd/ssd1/www/b.460.net.cn/vendor/topthink/framework/src/think/Db.php ( 2.88 KB )
  72. /yingpanguazai/ssd/ssd1/www/b.460.net.cn/vendor/topthink/think-orm/src/DbManager.php ( 8.52 KB )
  73. /yingpanguazai/ssd/ssd1/www/b.460.net.cn/vendor/topthink/framework/src/think/Log.php ( 6.28 KB )
  74. /yingpanguazai/ssd/ssd1/www/b.460.net.cn/vendor/topthink/framework/src/think/Manager.php ( 3.92 KB )
  75. /yingpanguazai/ssd/ssd1/www/b.460.net.cn/vendor/psr/log/src/LoggerTrait.php ( 2.69 KB )
  76. /yingpanguazai/ssd/ssd1/www/b.460.net.cn/vendor/psr/log/src/LoggerInterface.php ( 2.71 KB )
  77. /yingpanguazai/ssd/ssd1/www/b.460.net.cn/vendor/topthink/framework/src/think/Cache.php ( 4.92 KB )
  78. /yingpanguazai/ssd/ssd1/www/b.460.net.cn/vendor/psr/simple-cache/src/CacheInterface.php ( 4.71 KB )
  79. /yingpanguazai/ssd/ssd1/www/b.460.net.cn/vendor/topthink/think-helper/src/helper/Arr.php ( 16.63 KB )
  80. /yingpanguazai/ssd/ssd1/www/b.460.net.cn/vendor/topthink/framework/src/think/cache/driver/File.php ( 7.84 KB )
  81. /yingpanguazai/ssd/ssd1/www/b.460.net.cn/vendor/topthink/framework/src/think/cache/Driver.php ( 9.03 KB )
  82. /yingpanguazai/ssd/ssd1/www/b.460.net.cn/vendor/topthink/framework/src/think/contract/CacheHandlerInterface.php ( 1.99 KB )
  83. /yingpanguazai/ssd/ssd1/www/b.460.net.cn/app/Request.php ( 0.09 KB )
  84. /yingpanguazai/ssd/ssd1/www/b.460.net.cn/vendor/topthink/framework/src/think/Request.php ( 55.78 KB )
  85. /yingpanguazai/ssd/ssd1/www/b.460.net.cn/app/middleware.php ( 0.25 KB )
  86. /yingpanguazai/ssd/ssd1/www/b.460.net.cn/vendor/topthink/framework/src/think/Pipeline.php ( 2.61 KB )
  87. /yingpanguazai/ssd/ssd1/www/b.460.net.cn/vendor/topthink/think-trace/src/TraceDebug.php ( 3.40 KB )
  88. /yingpanguazai/ssd/ssd1/www/b.460.net.cn/vendor/topthink/framework/src/think/middleware/SessionInit.php ( 1.94 KB )
  89. /yingpanguazai/ssd/ssd1/www/b.460.net.cn/vendor/topthink/framework/src/think/Session.php ( 1.80 KB )
  90. /yingpanguazai/ssd/ssd1/www/b.460.net.cn/vendor/topthink/framework/src/think/session/driver/File.php ( 6.27 KB )
  91. /yingpanguazai/ssd/ssd1/www/b.460.net.cn/vendor/topthink/framework/src/think/contract/SessionHandlerInterface.php ( 0.87 KB )
  92. /yingpanguazai/ssd/ssd1/www/b.460.net.cn/vendor/topthink/framework/src/think/session/Store.php ( 7.12 KB )
  93. /yingpanguazai/ssd/ssd1/www/b.460.net.cn/vendor/topthink/framework/src/think/Route.php ( 23.73 KB )
  94. /yingpanguazai/ssd/ssd1/www/b.460.net.cn/vendor/topthink/framework/src/think/route/RuleName.php ( 5.75 KB )
  95. /yingpanguazai/ssd/ssd1/www/b.460.net.cn/vendor/topthink/framework/src/think/route/Domain.php ( 2.53 KB )
  96. /yingpanguazai/ssd/ssd1/www/b.460.net.cn/vendor/topthink/framework/src/think/route/RuleGroup.php ( 22.43 KB )
  97. /yingpanguazai/ssd/ssd1/www/b.460.net.cn/vendor/topthink/framework/src/think/route/Rule.php ( 26.95 KB )
  98. /yingpanguazai/ssd/ssd1/www/b.460.net.cn/vendor/topthink/framework/src/think/route/RuleItem.php ( 9.78 KB )
  99. /yingpanguazai/ssd/ssd1/www/b.460.net.cn/route/app.php ( 1.72 KB )
  100. /yingpanguazai/ssd/ssd1/www/b.460.net.cn/vendor/topthink/framework/src/think/facade/Route.php ( 4.70 KB )
  101. /yingpanguazai/ssd/ssd1/www/b.460.net.cn/vendor/topthink/framework/src/think/route/dispatch/Controller.php ( 4.74 KB )
  102. /yingpanguazai/ssd/ssd1/www/b.460.net.cn/vendor/topthink/framework/src/think/route/Dispatch.php ( 10.44 KB )
  103. /yingpanguazai/ssd/ssd1/www/b.460.net.cn/app/controller/Index.php ( 4.81 KB )
  104. /yingpanguazai/ssd/ssd1/www/b.460.net.cn/app/BaseController.php ( 2.05 KB )
  105. /yingpanguazai/ssd/ssd1/www/b.460.net.cn/vendor/topthink/think-orm/src/facade/Db.php ( 0.93 KB )
  106. /yingpanguazai/ssd/ssd1/www/b.460.net.cn/vendor/topthink/think-orm/src/db/connector/Mysql.php ( 5.44 KB )
  107. /yingpanguazai/ssd/ssd1/www/b.460.net.cn/vendor/topthink/think-orm/src/db/PDOConnection.php ( 52.47 KB )
  108. /yingpanguazai/ssd/ssd1/www/b.460.net.cn/vendor/topthink/think-orm/src/db/Connection.php ( 8.39 KB )
  109. /yingpanguazai/ssd/ssd1/www/b.460.net.cn/vendor/topthink/think-orm/src/db/ConnectionInterface.php ( 4.57 KB )
  110. /yingpanguazai/ssd/ssd1/www/b.460.net.cn/vendor/topthink/think-orm/src/db/builder/Mysql.php ( 16.58 KB )
  111. /yingpanguazai/ssd/ssd1/www/b.460.net.cn/vendor/topthink/think-orm/src/db/Builder.php ( 24.06 KB )
  112. /yingpanguazai/ssd/ssd1/www/b.460.net.cn/vendor/topthink/think-orm/src/db/BaseBuilder.php ( 27.50 KB )
  113. /yingpanguazai/ssd/ssd1/www/b.460.net.cn/vendor/topthink/think-orm/src/db/Query.php ( 15.71 KB )
  114. /yingpanguazai/ssd/ssd1/www/b.460.net.cn/vendor/topthink/think-orm/src/db/BaseQuery.php ( 45.13 KB )
  115. /yingpanguazai/ssd/ssd1/www/b.460.net.cn/vendor/topthink/think-orm/src/db/concern/TimeFieldQuery.php ( 7.43 KB )
  116. /yingpanguazai/ssd/ssd1/www/b.460.net.cn/vendor/topthink/think-orm/src/db/concern/AggregateQuery.php ( 3.26 KB )
  117. /yingpanguazai/ssd/ssd1/www/b.460.net.cn/vendor/topthink/think-orm/src/db/concern/ModelRelationQuery.php ( 20.07 KB )
  118. /yingpanguazai/ssd/ssd1/www/b.460.net.cn/vendor/topthink/think-orm/src/db/concern/ParamsBind.php ( 3.66 KB )
  119. /yingpanguazai/ssd/ssd1/www/b.460.net.cn/vendor/topthink/think-orm/src/db/concern/ResultOperation.php ( 7.01 KB )
  120. /yingpanguazai/ssd/ssd1/www/b.460.net.cn/vendor/topthink/think-orm/src/db/concern/WhereQuery.php ( 19.37 KB )
  121. /yingpanguazai/ssd/ssd1/www/b.460.net.cn/vendor/topthink/think-orm/src/db/concern/JoinAndViewQuery.php ( 7.11 KB )
  122. /yingpanguazai/ssd/ssd1/www/b.460.net.cn/vendor/topthink/think-orm/src/db/concern/TableFieldInfo.php ( 2.63 KB )
  123. /yingpanguazai/ssd/ssd1/www/b.460.net.cn/vendor/topthink/think-orm/src/db/concern/Transaction.php ( 2.77 KB )
  124. /yingpanguazai/ssd/ssd1/www/b.460.net.cn/vendor/topthink/framework/src/think/log/driver/File.php ( 5.96 KB )
  125. /yingpanguazai/ssd/ssd1/www/b.460.net.cn/vendor/topthink/framework/src/think/contract/LogHandlerInterface.php ( 0.86 KB )
  126. /yingpanguazai/ssd/ssd1/www/b.460.net.cn/vendor/topthink/framework/src/think/log/Channel.php ( 3.89 KB )
  127. /yingpanguazai/ssd/ssd1/www/b.460.net.cn/vendor/topthink/framework/src/think/event/LogRecord.php ( 1.02 KB )
  128. /yingpanguazai/ssd/ssd1/www/b.460.net.cn/vendor/topthink/think-helper/src/Collection.php ( 16.47 KB )
  129. /yingpanguazai/ssd/ssd1/www/b.460.net.cn/vendor/topthink/framework/src/think/facade/View.php ( 1.70 KB )
  130. /yingpanguazai/ssd/ssd1/www/b.460.net.cn/vendor/topthink/framework/src/think/View.php ( 4.39 KB )
  131. /yingpanguazai/ssd/ssd1/www/b.460.net.cn/vendor/topthink/framework/src/think/Response.php ( 8.81 KB )
  132. /yingpanguazai/ssd/ssd1/www/b.460.net.cn/vendor/topthink/framework/src/think/response/View.php ( 3.29 KB )
  133. /yingpanguazai/ssd/ssd1/www/b.460.net.cn/vendor/topthink/framework/src/think/Cookie.php ( 6.06 KB )
  134. /yingpanguazai/ssd/ssd1/www/b.460.net.cn/vendor/topthink/think-view/src/Think.php ( 8.38 KB )
  135. /yingpanguazai/ssd/ssd1/www/b.460.net.cn/vendor/topthink/framework/src/think/contract/TemplateHandlerInterface.php ( 1.60 KB )
  136. /yingpanguazai/ssd/ssd1/www/b.460.net.cn/vendor/topthink/think-template/src/Template.php ( 46.61 KB )
  137. /yingpanguazai/ssd/ssd1/www/b.460.net.cn/vendor/topthink/think-template/src/template/driver/File.php ( 2.41 KB )
  138. /yingpanguazai/ssd/ssd1/www/b.460.net.cn/vendor/topthink/think-template/src/template/contract/DriverInterface.php ( 0.86 KB )
  139. /yingpanguazai/ssd/ssd1/www/b.460.net.cn/runtime/temp/b35eef690f41e64ad9e1c098cfc7d3bc.php ( 11.98 KB )
  140. /yingpanguazai/ssd/ssd1/www/b.460.net.cn/vendor/topthink/think-trace/src/Html.php ( 4.42 KB )
  1. CONNECT:[ UseTime:0.000648s ] mysql:host=127.0.0.1;port=3306;dbname=b460;charset=utf8mb4
  2. SHOW FULL COLUMNS FROM `fenlei` [ RunTime:0.000925s ]
  3. SELECT * FROM `fenlei` WHERE `fid` = 0 [ RunTime:0.000372s ]
  4. SELECT * FROM `fenlei` WHERE `fid` = 63 [ RunTime:0.000323s ]
  5. SHOW FULL COLUMNS FROM `set` [ RunTime:0.000548s ]
  6. SELECT * FROM `set` [ RunTime:0.000226s ]
  7. SHOW FULL COLUMNS FROM `article` [ RunTime:0.000670s ]
  8. SELECT * FROM `article` WHERE `id` = 531741 LIMIT 1 [ RunTime:0.000509s ]
  9. UPDATE `article` SET `lasttime` = 1776454560 WHERE `id` = 531741 [ RunTime:0.003636s ]
  10. SELECT * FROM `fenlei` WHERE `id` = 65 LIMIT 1 [ RunTime:0.000239s ]
  11. SELECT * FROM `article` WHERE `id` < 531741 ORDER BY `id` DESC LIMIT 1 [ RunTime:0.000493s ]
  12. SELECT * FROM `article` WHERE `id` > 531741 ORDER BY `id` ASC LIMIT 1 [ RunTime:0.001310s ]
  13. SELECT * FROM `article` WHERE `id` < 531741 ORDER BY `id` DESC LIMIT 10 [ RunTime:0.000745s ]
  14. SELECT * FROM `article` WHERE `id` < 531741 ORDER BY `id` DESC LIMIT 10,10 [ RunTime:0.008376s ]
  15. SELECT * FROM `article` WHERE `id` < 531741 ORDER BY `id` DESC LIMIT 20,10 [ RunTime:0.007903s ]
0.098024s