当前位置:首页>南京>文献分享丨南京农业大学李竹焘等人揭示土壤pH对DMPP减排N2O效果的影响机制

文献分享丨南京农业大学李竹焘等人揭示土壤pH对DMPP减排N2O效果的影响机制

  • 2026-04-16 02:47:20
文献分享丨南京农业大学李竹焘等人揭示土壤pH对DMPP减排N2O效果的影响机制

英文题目:Soil pH-dependent efficacy of DMPP in mitigating nitrous oxide under different land uses

中文题目:不同土地利用类型下土壤pH对DMPP减排N2O效果的影响

期刊名称Geoderma

影响因子:6.6

作者单位:南京农业大学资源与环境科学学院

DOI:https://doi.org/10.1016/j.geoderma.2024.117018

研究背景

农业土壤是全球氧化亚氮(N2O)排放的主要来源,占人为排放总量的一半左右。N2O是一种强效温室气体,不仅加剧全球变暖,还会破坏臭氧层。随着氮肥的大量施用,农业生态系统中N2O排放问题日益突出,亟需有效的减排措施。硝化抑制剂(如DMPP)通过抑制氨氧化过程(硝化的关键步骤)减少N2O排放,但其效果受土壤性质(如pH值)和土地利用类型的影响。茶园林土壤因茶树生长特性和高氮肥输入导致酸化严重(pH较低),可能通过改变微生物群落(如氨氧化细菌AOB和异养硝化菌的活性)影响DMPP的减排效率。然而,目前关于DMPP在不同土地利用类型(如茶园与农田)中的效果差异及其机制的研究仍不充分。本研究通过实验室培养和荟萃分析,探讨土壤pH如何通过调控硝化途径(如AOB和异养硝化)影响DMPP的N2O减排效率,为针对性减排策略提供科学依据。

研究路线

图1.本研究中测量DMPP处理后N2O排放的实验室研究的全球分布及所包含的10个采样点。圆点大小表示N2O测量的数量。

研究结果

01

实验室培养条件下添加DMPP对土壤N2O排放的影响

施用尿素后,各试验点不同土地利用类型的土壤N2O排放量呈现相似趋势:在培养初期达到峰值后逐渐下降(图2)。AH试验区的农田土壤累积N2O排放量最高,达5.47mg N kg-1 soil,而SC试验区的排放量最低,农田和茶园土壤的数值分别为0.05和0.06mg N kg-1 soil(表1。总体而言,在未添加DMPP的情况下,农田土壤的N2O排放量明显高于茶园土壤(p<0.01;图S1)。研究结果显示,DMPP显著降低了农田和茶园土壤中N2O通量的峰值,并大幅减少了累积N2O排放量(图2及表1)。平均而言,DMPP使农田和茶园土壤中的N2O排放量分别减少82%和73%(图3a)。值得注意的是,除SC站点外,DMPP在所有站点的农田土壤中均表现出更强的减排效果,在AH、ZJ、HuN和FJ站点观察到显著差异(p<0.05;图3a)。此外,DMPP对农田土壤中N2O排放量的缓解效果及其效能普遍高于茶园土壤(p<0.01;图S1)。多元回归模型显示,土壤pH是影响DMPP效能的最重要因素,其相对重要性最高(p<0.05;51%)。黏土含量为第二重要因素,相对重要性达38%,但未发现与DMPP效能存在显著相关性(图3b)。在几乎所有站点中,茶园土壤的pH值普遍低于农田土壤,且整体差异具有统计学意义(p<0.001;图3c及表2)。

图2.实验培养期间农田土壤(a)与茶园土壤(b)的N2O排放时间动态变化。U:施用尿素的土壤;U+DMPP:施用尿素和DMPP的土壤。误差线表示平均值的标准误(SE)(n=3)。特殊符号表示不同土壤间N2O通量的显著性水平,***表示p<0.001。

表1.不同地点两种土地利用类型下的累积N2O排放量

图S1.显示了不同土地利用类型下土壤pH值与N2O排放量的线性关系(a)以及DMPP添加所减少的N2O排放量(b)。箱线图展示了农田土壤与茶园土壤的N2O排放量(c)以及DMPP添加减少的N2O排放量(d),并标注了土地利用类型间Kruskal-Wallis检验的p值。

图3.DMPP处理对各地块土壤N2O排放的缓解效果(a),p<0.05表示两种土地利用类型间DMPP效应存在显著差异。图中展示了模型中各预测因子(对应点状参数估计值)的标准回归系数及其95%置信区间(对应线状参数估计值),*表示p<0.05,柱状图显示各预测因子的相对重要性,以解释方差百分比形式呈现(b)。农田土壤与茶园土壤的pH箱线图(c),并标注了不同土地利用类型间的Kruskal-Wallis检验p值。

表2.研究地点的气候和土壤物理化学性质。

02

相关功能基因的丰度

通过对各采样点土壤中氨氧化菌的qPCR分析发现,无论采样地点如何,农田土壤中的AOA(氨氧化古菌)和AOB(氨氧化细菌)丰度均显著高于茶园土壤(图4)。农田与茶园土壤中AOA的丰度范围均为7.95至9.95Log copies g-1 soil,平均值分别为8.97和8.91Log copies g-1 soil(图4a)。AOB在农田土壤中的丰度为6.16至8.35Log copies g-1 soil,而茶园土壤中则为5.82至7.42Log copies g-1 soil,表明AOB丰度明显低于AOA(图4b)。与AOA和AOB不同,反硝化菌的功能基因在不同土地利用类型间未呈现统一差异模式(图S2)。其中JX采样点的nirK基因丰度差异最为显著,而HuN采样点的nosZ-I基因丰度差异最为明显。在所有采样点中,农田与茶园土壤的nirS基因丰度均未观察到显著差异(图S2)。

图4.各采样点土壤氨氧化菌的基因丰度(对数转换)数据。误差线表示均值的标准误(SE,n=3)。特殊符号表示不同土壤样本间的显著性水平:*表示p<0.05,**表示p<0.01,***表示p<0.001

图S2.所有采样点土壤中反硝化微生物功能基因的丰度(对数转换)。误差线表示平均值标准误(SE,n=3)。特殊符号表示不同土壤间指标的显著性差异,*代表p<0.05,**代表p<0.01。

03

通过硝化和反硝化过程生产N2O的潜力

不同地块和土地利用类型中的土壤硝态氮磷(NNPs)含量存在显著差异,范围从0.84到49.69μg N kg-1。除JX、YN和FJ地块外,茶园土壤的NNPs含量均高于农田土壤。总体而言,茶园土壤的NNPs含量显著更高(p<0.05;图5a和S3)。进一步通过抑制剂法区分了不同硝化作用对NNP的贡献(图6a)。异养硝化作用贡献度(ConHN)介于5.1%至77.6%之间,其中JX地块的茶园土壤贡献最高。古菌氧化氮(ConAOB)贡献度在13.4%至90.7%之间波动,GZ地块的农田土壤贡献最大。与异养硝化作用和古菌氧化氮不同,古菌氧化氨(ConAOA)对NNP的贡献微乎其微,最高仅为30.5%,其他地块贡献度介于4.1%至20.2%之间。相比之下,ConHN和ConAOB在不同土地利用类型间存在显著差异:农田土壤ConAOB较高,茶园土壤ConHN较高(图6b)。异养硝化作用介导的NNPs在茶园土壤中含量明显更高(图S3)。

图5.图中展示了来自所有采样点的土壤的硝化衍生氮氧化亚氮(N2O)潜力(a)和潜在反硝化速率(b)。误差条表示均值(n=3)的标准误差(SE)。在每个采样点,这两种土地利用方式下的土壤的两项指标在统计学上均存在显著差异(p<0.05)。

图6.不同途径对土壤硝化作用衍生N2O潜力的相对贡献(a)。农田与茶园土壤中AOB衍生N2O值(b)及AOB丰度(c)的相对贡献箱线图。ConHN、ConAOA和ConAOB分别代表异养硝化作用、AOA和AOB的相对贡献。图中展示了不同土地利用类型间的Kruskal-Wallis检验p值。描述土壤pH值、微生物丰度及活性对DMPP效能直接影响与间接影响的结构方程模型(d)。蓝色实箭头表示显著正相关,棕色实箭头表示显著负相关,灰色虚线表示无统计学意义。箭头旁数字为标准化路径系数,箭头粗细表示相关强度。各预测因子显著性水平标注为:*表示p<0.05,**表示p<0.01,***表示p<0.001。模型拟合优度指标包含RMSEA(近似误差均方根)和CFI(比较拟合指数)。

图S3.异养硝化贡献率与AOB来源N2O贡献率之间的线性关系(a);农田土壤与茶园土壤的异养硝化贡献率(b)、硝化过程N₂O产生潜力(c)和异养硝化过程N2O产生潜力(d)的箱线图。图中标注了土地利用类型间Kruskal-Wallis检验的p值。HN代表异养硝化(heterotrophic nitrification),ConHN和ConAOB分别表示异养硝化与AOB的相对贡献率。

04

DMPP功效、土壤因子、功能基因丰度和N2O产生过程之间的联系

除DMPP功效外,土壤pH值与AOA丰度、AOB丰度、nirS丰度、PDR、ConHN及ConAOB均存在显著相关性(p<0.05)。AOB丰度、PDR、ConHN和ConAOB对DMPP功效的影响同样显著(p<0.05;图S4)。结构方程模型显示,pH通过AOB、ConAOA和ConAOB间接影响DMPP功效(图6d)。在该模型中,pH与AOA、AOB及ConAOB呈现显著正相关(p<0.01),而AOB和ConAOB与DMPP功效呈显著正相关(p<0.05),但AOA未表现出相关性。此外,pH与ConHN存在显著负相关(p<0.001),而ConHN又与DMPP功效呈显著负相关(p<0.01)。通过相关性分析和结构方程模型发现,ConHN与ConAOB之间存在显著权衡关系(p<0.001;图6d及S7)。

图S4.土壤生物因子、氮循环过程指标和DMPP效应之间的两两相关性,颜色梯度表示Pearson相关系数。通过Pearson检验分析土壤pH与各因子的关系;连线宽度对应p值,连线颜色表示Pearson相关系数。显著性差异:p<0.05,p<0.01,p<0.001。A/B表示AOA/AOB,(K+S)/Z表示(nirK+nirS)/nosZ,ConHN表示异养硝化的贡献率,ConAOA表示AOA来源硝化的贡献率,ConAOB表示AOB来源硝化的贡献率。

05

DMPP处理对实验室条件下全球土壤N2O排放的影响

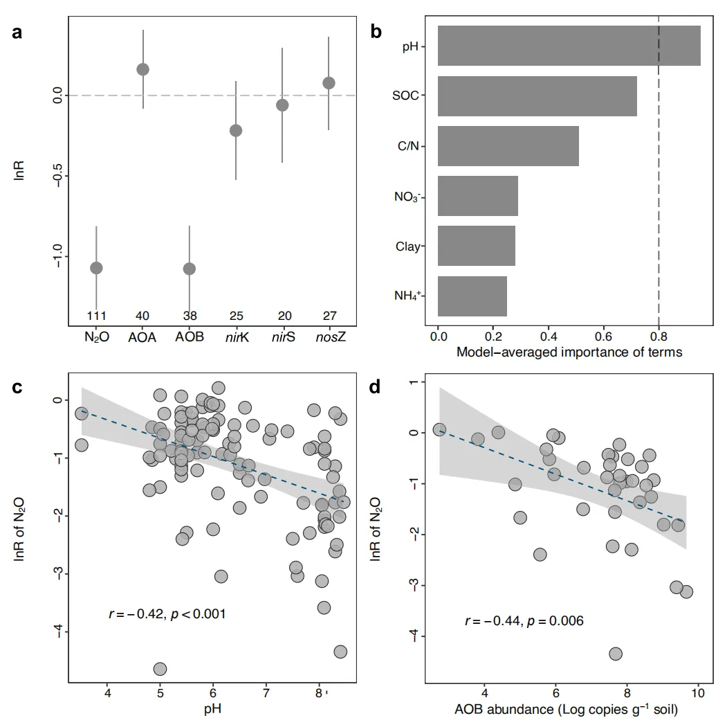
研究对40项实验室研究的荟萃分析表明,施用DMPP后N2O排放的lnR值为−0.81(95%CIs:-1.01-−0.63;图7a)。AOB丰度的lnR值为−0.94(95%CIs:-1.19-−0.72),而AOA、nirK、nirS和nosZ的丰度未受DMPP添加显著影响。模型筛选显示土壤pH是影响N2OlnR值最重要的因素,其次是土壤有机碳(SOC)和C/N比(图7b)。元回归分析显示,土壤有机碳与N2OlnR值呈显著负相关(p<0.001;图7c),而SOC与N2OlnR值呈显著正相关(p<0.01;图S5)。此外,N2OlnR值与土壤中AOB丰度存在显著负相关(p<0.01;图7d)。图7.基于全球数据库的土壤N2O排放、AOAAOBnirKnirSnosZ丰度对DMPP施用的自然对数转换响应比(lnR)(a),上下误差线表示95%置信区间。各指标标注了观测次数。虚线位于零点位置。图中展示了土壤特性对DMPP对土壤N2O排放效果的模型平均重要性(b),以及N2O响应比与土壤pH值(c)或AOB丰度(d)之间的关系。

图7.基于全球数据库的土壤N2O排放、AOA、AOB、nirK、nirS和nosZ丰度对DMPP施用的自然对数转换响应比(lnR)(a),上下误差线表示95%置信区间。各指标标注了观测次数。虚线位于零点位置。图中展示了土壤特性对DMPP对土壤N2O排放效果的模型平均重要性(b),以及N2O响应比与土壤pH值(c)或AOB丰度(d)之间的关系。

图S5.基于meta分析得出的N2O排放量自然对数响应比(lnR)与土壤有机碳(SOC)(a)或碳氮比(C/N)(b)的关系。

讨论与总结

本研究证实土壤pH是调控DMPP减排N2O效果的关键因子:农田土壤较高pH支持更高AOB丰度和活性,DMPP通过抑制AOB实现高效减排;而酸性茶园土壤中,异养硝化成为N2O主要来源,DMPP对此抑制作用有限,导致效果下降。研究填补了异养硝化对DMPP效率影响的认知空白,提示需针对茶园等酸性土壤开发靶向异养硝化的减排策略,同时强调田间验证DMPP实际效果的必要性。这些发现为不同土地利用类型的N2O精准减排提供了理论支撑。
参考文献:Li Z, Xu P, Bo X, et al. Soil pH-dependent efficacy of DMPP in mitigating nitrous oxide under different land uses[J]. Geoderma, 2024, 449: 117018.

END

往期推荐:

土壤微生物碳利用效率(CUE)的测量方法以及影响因素解析

合作文章丨安徽农业大学牛庆丰等团队在《PNAS》发表研究成果,揭示DNA甲基化介导番茄果实成熟的表观遗传调控新机制

快上车!氨基糖/木质素/PLFA δ13C超值套餐 限时6.7折起

文献分享丨西北农林科技大学张京芳教授团队揭示香椿苗生长过程中挥发性与非挥发性代谢物动态规律

药食同源的检测和指标推荐

真菌毒素的检测和指标推荐

文献分享丨中国水稻研究所发现了特定细菌群落调控稻田土壤微生物代谢熵(MMQ)驱动碳代谢效率与肥力提升的机制

最新文章

随机文章

基本 文件 流程 错误 SQL 调试
  1. 请求信息 : 2026-04-17 09:47:31 HTTP/2.0 GET : https://b.460.net.cn/a/532167.html
  2. 运行时间 : 0.136905s [ 吞吐率:7.30req/s ] 内存消耗:4,435.50kb 文件加载:140
  3. 缓存信息 : 0 reads,0 writes
  4. 会话信息 : SESSION_ID=28dd48666b96d578b387e30e1e17763f
  1. /yingpanguazai/ssd/ssd1/www/b.460.net.cn/public/index.php ( 0.79 KB )
  2. /yingpanguazai/ssd/ssd1/www/b.460.net.cn/vendor/autoload.php ( 0.17 KB )
  3. /yingpanguazai/ssd/ssd1/www/b.460.net.cn/vendor/composer/autoload_real.php ( 2.49 KB )
  4. /yingpanguazai/ssd/ssd1/www/b.460.net.cn/vendor/composer/platform_check.php ( 0.90 KB )
  5. /yingpanguazai/ssd/ssd1/www/b.460.net.cn/vendor/composer/ClassLoader.php ( 14.03 KB )
  6. /yingpanguazai/ssd/ssd1/www/b.460.net.cn/vendor/composer/autoload_static.php ( 4.90 KB )
  7. /yingpanguazai/ssd/ssd1/www/b.460.net.cn/vendor/topthink/think-helper/src/helper.php ( 8.34 KB )
  8. /yingpanguazai/ssd/ssd1/www/b.460.net.cn/vendor/topthink/think-validate/src/helper.php ( 2.19 KB )
  9. /yingpanguazai/ssd/ssd1/www/b.460.net.cn/vendor/topthink/think-orm/src/helper.php ( 1.47 KB )
  10. /yingpanguazai/ssd/ssd1/www/b.460.net.cn/vendor/topthink/think-orm/stubs/load_stubs.php ( 0.16 KB )
  11. /yingpanguazai/ssd/ssd1/www/b.460.net.cn/vendor/topthink/framework/src/think/Exception.php ( 1.69 KB )
  12. /yingpanguazai/ssd/ssd1/www/b.460.net.cn/vendor/topthink/think-container/src/Facade.php ( 2.71 KB )
  13. /yingpanguazai/ssd/ssd1/www/b.460.net.cn/vendor/symfony/deprecation-contracts/function.php ( 0.99 KB )
  14. /yingpanguazai/ssd/ssd1/www/b.460.net.cn/vendor/symfony/polyfill-mbstring/bootstrap.php ( 8.26 KB )
  15. /yingpanguazai/ssd/ssd1/www/b.460.net.cn/vendor/symfony/polyfill-mbstring/bootstrap80.php ( 9.78 KB )
  16. /yingpanguazai/ssd/ssd1/www/b.460.net.cn/vendor/symfony/var-dumper/Resources/functions/dump.php ( 1.49 KB )
  17. /yingpanguazai/ssd/ssd1/www/b.460.net.cn/vendor/topthink/think-dumper/src/helper.php ( 0.18 KB )
  18. /yingpanguazai/ssd/ssd1/www/b.460.net.cn/vendor/symfony/var-dumper/VarDumper.php ( 4.30 KB )
  19. /yingpanguazai/ssd/ssd1/www/b.460.net.cn/vendor/topthink/framework/src/think/App.php ( 15.30 KB )
  20. /yingpanguazai/ssd/ssd1/www/b.460.net.cn/vendor/topthink/think-container/src/Container.php ( 15.76 KB )
  21. /yingpanguazai/ssd/ssd1/www/b.460.net.cn/vendor/psr/container/src/ContainerInterface.php ( 1.02 KB )
  22. /yingpanguazai/ssd/ssd1/www/b.460.net.cn/app/provider.php ( 0.19 KB )
  23. /yingpanguazai/ssd/ssd1/www/b.460.net.cn/vendor/topthink/framework/src/think/Http.php ( 6.04 KB )
  24. /yingpanguazai/ssd/ssd1/www/b.460.net.cn/vendor/topthink/think-helper/src/helper/Str.php ( 7.29 KB )
  25. /yingpanguazai/ssd/ssd1/www/b.460.net.cn/vendor/topthink/framework/src/think/Env.php ( 4.68 KB )
  26. /yingpanguazai/ssd/ssd1/www/b.460.net.cn/app/common.php ( 0.03 KB )
  27. /yingpanguazai/ssd/ssd1/www/b.460.net.cn/vendor/topthink/framework/src/helper.php ( 18.78 KB )
  28. /yingpanguazai/ssd/ssd1/www/b.460.net.cn/vendor/topthink/framework/src/think/Config.php ( 5.54 KB )
  29. /yingpanguazai/ssd/ssd1/www/b.460.net.cn/config/app.php ( 0.95 KB )
  30. /yingpanguazai/ssd/ssd1/www/b.460.net.cn/config/cache.php ( 0.78 KB )
  31. /yingpanguazai/ssd/ssd1/www/b.460.net.cn/config/console.php ( 0.23 KB )
  32. /yingpanguazai/ssd/ssd1/www/b.460.net.cn/config/cookie.php ( 0.56 KB )
  33. /yingpanguazai/ssd/ssd1/www/b.460.net.cn/config/database.php ( 2.47 KB )
  34. /yingpanguazai/ssd/ssd1/www/b.460.net.cn/vendor/topthink/framework/src/think/facade/Env.php ( 1.67 KB )
  35. /yingpanguazai/ssd/ssd1/www/b.460.net.cn/config/filesystem.php ( 0.61 KB )
  36. /yingpanguazai/ssd/ssd1/www/b.460.net.cn/config/lang.php ( 0.91 KB )
  37. /yingpanguazai/ssd/ssd1/www/b.460.net.cn/config/log.php ( 1.35 KB )
  38. /yingpanguazai/ssd/ssd1/www/b.460.net.cn/config/middleware.php ( 0.19 KB )
  39. /yingpanguazai/ssd/ssd1/www/b.460.net.cn/config/route.php ( 1.89 KB )
  40. /yingpanguazai/ssd/ssd1/www/b.460.net.cn/config/session.php ( 0.57 KB )
  41. /yingpanguazai/ssd/ssd1/www/b.460.net.cn/config/trace.php ( 0.34 KB )
  42. /yingpanguazai/ssd/ssd1/www/b.460.net.cn/config/view.php ( 0.82 KB )
  43. /yingpanguazai/ssd/ssd1/www/b.460.net.cn/app/event.php ( 0.25 KB )
  44. /yingpanguazai/ssd/ssd1/www/b.460.net.cn/vendor/topthink/framework/src/think/Event.php ( 7.67 KB )
  45. /yingpanguazai/ssd/ssd1/www/b.460.net.cn/app/service.php ( 0.13 KB )
  46. /yingpanguazai/ssd/ssd1/www/b.460.net.cn/app/AppService.php ( 0.26 KB )
  47. /yingpanguazai/ssd/ssd1/www/b.460.net.cn/vendor/topthink/framework/src/think/Service.php ( 1.64 KB )
  48. /yingpanguazai/ssd/ssd1/www/b.460.net.cn/vendor/topthink/framework/src/think/Lang.php ( 7.35 KB )
  49. /yingpanguazai/ssd/ssd1/www/b.460.net.cn/vendor/topthink/framework/src/lang/zh-cn.php ( 13.70 KB )
  50. /yingpanguazai/ssd/ssd1/www/b.460.net.cn/vendor/topthink/framework/src/think/initializer/Error.php ( 3.31 KB )
  51. /yingpanguazai/ssd/ssd1/www/b.460.net.cn/vendor/topthink/framework/src/think/initializer/RegisterService.php ( 1.33 KB )
  52. /yingpanguazai/ssd/ssd1/www/b.460.net.cn/vendor/services.php ( 0.14 KB )
  53. /yingpanguazai/ssd/ssd1/www/b.460.net.cn/vendor/topthink/framework/src/think/service/PaginatorService.php ( 1.52 KB )
  54. /yingpanguazai/ssd/ssd1/www/b.460.net.cn/vendor/topthink/framework/src/think/service/ValidateService.php ( 0.99 KB )
  55. /yingpanguazai/ssd/ssd1/www/b.460.net.cn/vendor/topthink/framework/src/think/service/ModelService.php ( 2.04 KB )
  56. /yingpanguazai/ssd/ssd1/www/b.460.net.cn/vendor/topthink/think-trace/src/Service.php ( 0.77 KB )
  57. /yingpanguazai/ssd/ssd1/www/b.460.net.cn/vendor/topthink/framework/src/think/Middleware.php ( 6.72 KB )
  58. /yingpanguazai/ssd/ssd1/www/b.460.net.cn/vendor/topthink/framework/src/think/initializer/BootService.php ( 0.77 KB )
  59. /yingpanguazai/ssd/ssd1/www/b.460.net.cn/vendor/topthink/think-orm/src/Paginator.php ( 11.86 KB )
  60. /yingpanguazai/ssd/ssd1/www/b.460.net.cn/vendor/topthink/think-validate/src/Validate.php ( 63.20 KB )
  61. /yingpanguazai/ssd/ssd1/www/b.460.net.cn/vendor/topthink/think-orm/src/Model.php ( 23.55 KB )
  62. /yingpanguazai/ssd/ssd1/www/b.460.net.cn/vendor/topthink/think-orm/src/model/concern/Attribute.php ( 21.05 KB )
  63. /yingpanguazai/ssd/ssd1/www/b.460.net.cn/vendor/topthink/think-orm/src/model/concern/AutoWriteData.php ( 4.21 KB )
  64. /yingpanguazai/ssd/ssd1/www/b.460.net.cn/vendor/topthink/think-orm/src/model/concern/Conversion.php ( 6.44 KB )
  65. /yingpanguazai/ssd/ssd1/www/b.460.net.cn/vendor/topthink/think-orm/src/model/concern/DbConnect.php ( 5.16 KB )
  66. /yingpanguazai/ssd/ssd1/www/b.460.net.cn/vendor/topthink/think-orm/src/model/concern/ModelEvent.php ( 2.33 KB )
  67. /yingpanguazai/ssd/ssd1/www/b.460.net.cn/vendor/topthink/think-orm/src/model/concern/RelationShip.php ( 28.29 KB )
  68. /yingpanguazai/ssd/ssd1/www/b.460.net.cn/vendor/topthink/think-helper/src/contract/Arrayable.php ( 0.09 KB )
  69. /yingpanguazai/ssd/ssd1/www/b.460.net.cn/vendor/topthink/think-helper/src/contract/Jsonable.php ( 0.13 KB )
  70. /yingpanguazai/ssd/ssd1/www/b.460.net.cn/vendor/topthink/think-orm/src/model/contract/Modelable.php ( 0.09 KB )
  71. /yingpanguazai/ssd/ssd1/www/b.460.net.cn/vendor/topthink/framework/src/think/Db.php ( 2.88 KB )
  72. /yingpanguazai/ssd/ssd1/www/b.460.net.cn/vendor/topthink/think-orm/src/DbManager.php ( 8.52 KB )
  73. /yingpanguazai/ssd/ssd1/www/b.460.net.cn/vendor/topthink/framework/src/think/Log.php ( 6.28 KB )
  74. /yingpanguazai/ssd/ssd1/www/b.460.net.cn/vendor/topthink/framework/src/think/Manager.php ( 3.92 KB )
  75. /yingpanguazai/ssd/ssd1/www/b.460.net.cn/vendor/psr/log/src/LoggerTrait.php ( 2.69 KB )
  76. /yingpanguazai/ssd/ssd1/www/b.460.net.cn/vendor/psr/log/src/LoggerInterface.php ( 2.71 KB )
  77. /yingpanguazai/ssd/ssd1/www/b.460.net.cn/vendor/topthink/framework/src/think/Cache.php ( 4.92 KB )
  78. /yingpanguazai/ssd/ssd1/www/b.460.net.cn/vendor/psr/simple-cache/src/CacheInterface.php ( 4.71 KB )
  79. /yingpanguazai/ssd/ssd1/www/b.460.net.cn/vendor/topthink/think-helper/src/helper/Arr.php ( 16.63 KB )
  80. /yingpanguazai/ssd/ssd1/www/b.460.net.cn/vendor/topthink/framework/src/think/cache/driver/File.php ( 7.84 KB )
  81. /yingpanguazai/ssd/ssd1/www/b.460.net.cn/vendor/topthink/framework/src/think/cache/Driver.php ( 9.03 KB )
  82. /yingpanguazai/ssd/ssd1/www/b.460.net.cn/vendor/topthink/framework/src/think/contract/CacheHandlerInterface.php ( 1.99 KB )
  83. /yingpanguazai/ssd/ssd1/www/b.460.net.cn/app/Request.php ( 0.09 KB )
  84. /yingpanguazai/ssd/ssd1/www/b.460.net.cn/vendor/topthink/framework/src/think/Request.php ( 55.78 KB )
  85. /yingpanguazai/ssd/ssd1/www/b.460.net.cn/app/middleware.php ( 0.25 KB )
  86. /yingpanguazai/ssd/ssd1/www/b.460.net.cn/vendor/topthink/framework/src/think/Pipeline.php ( 2.61 KB )
  87. /yingpanguazai/ssd/ssd1/www/b.460.net.cn/vendor/topthink/think-trace/src/TraceDebug.php ( 3.40 KB )
  88. /yingpanguazai/ssd/ssd1/www/b.460.net.cn/vendor/topthink/framework/src/think/middleware/SessionInit.php ( 1.94 KB )
  89. /yingpanguazai/ssd/ssd1/www/b.460.net.cn/vendor/topthink/framework/src/think/Session.php ( 1.80 KB )
  90. /yingpanguazai/ssd/ssd1/www/b.460.net.cn/vendor/topthink/framework/src/think/session/driver/File.php ( 6.27 KB )
  91. /yingpanguazai/ssd/ssd1/www/b.460.net.cn/vendor/topthink/framework/src/think/contract/SessionHandlerInterface.php ( 0.87 KB )
  92. /yingpanguazai/ssd/ssd1/www/b.460.net.cn/vendor/topthink/framework/src/think/session/Store.php ( 7.12 KB )
  93. /yingpanguazai/ssd/ssd1/www/b.460.net.cn/vendor/topthink/framework/src/think/Route.php ( 23.73 KB )
  94. /yingpanguazai/ssd/ssd1/www/b.460.net.cn/vendor/topthink/framework/src/think/route/RuleName.php ( 5.75 KB )
  95. /yingpanguazai/ssd/ssd1/www/b.460.net.cn/vendor/topthink/framework/src/think/route/Domain.php ( 2.53 KB )
  96. /yingpanguazai/ssd/ssd1/www/b.460.net.cn/vendor/topthink/framework/src/think/route/RuleGroup.php ( 22.43 KB )
  97. /yingpanguazai/ssd/ssd1/www/b.460.net.cn/vendor/topthink/framework/src/think/route/Rule.php ( 26.95 KB )
  98. /yingpanguazai/ssd/ssd1/www/b.460.net.cn/vendor/topthink/framework/src/think/route/RuleItem.php ( 9.78 KB )
  99. /yingpanguazai/ssd/ssd1/www/b.460.net.cn/route/app.php ( 1.72 KB )
  100. /yingpanguazai/ssd/ssd1/www/b.460.net.cn/vendor/topthink/framework/src/think/facade/Route.php ( 4.70 KB )
  101. /yingpanguazai/ssd/ssd1/www/b.460.net.cn/vendor/topthink/framework/src/think/route/dispatch/Controller.php ( 4.74 KB )
  102. /yingpanguazai/ssd/ssd1/www/b.460.net.cn/vendor/topthink/framework/src/think/route/Dispatch.php ( 10.44 KB )
  103. /yingpanguazai/ssd/ssd1/www/b.460.net.cn/app/controller/Index.php ( 4.81 KB )
  104. /yingpanguazai/ssd/ssd1/www/b.460.net.cn/app/BaseController.php ( 2.05 KB )
  105. /yingpanguazai/ssd/ssd1/www/b.460.net.cn/vendor/topthink/think-orm/src/facade/Db.php ( 0.93 KB )
  106. /yingpanguazai/ssd/ssd1/www/b.460.net.cn/vendor/topthink/think-orm/src/db/connector/Mysql.php ( 5.44 KB )
  107. /yingpanguazai/ssd/ssd1/www/b.460.net.cn/vendor/topthink/think-orm/src/db/PDOConnection.php ( 52.47 KB )
  108. /yingpanguazai/ssd/ssd1/www/b.460.net.cn/vendor/topthink/think-orm/src/db/Connection.php ( 8.39 KB )
  109. /yingpanguazai/ssd/ssd1/www/b.460.net.cn/vendor/topthink/think-orm/src/db/ConnectionInterface.php ( 4.57 KB )
  110. /yingpanguazai/ssd/ssd1/www/b.460.net.cn/vendor/topthink/think-orm/src/db/builder/Mysql.php ( 16.58 KB )
  111. /yingpanguazai/ssd/ssd1/www/b.460.net.cn/vendor/topthink/think-orm/src/db/Builder.php ( 24.06 KB )
  112. /yingpanguazai/ssd/ssd1/www/b.460.net.cn/vendor/topthink/think-orm/src/db/BaseBuilder.php ( 27.50 KB )
  113. /yingpanguazai/ssd/ssd1/www/b.460.net.cn/vendor/topthink/think-orm/src/db/Query.php ( 15.71 KB )
  114. /yingpanguazai/ssd/ssd1/www/b.460.net.cn/vendor/topthink/think-orm/src/db/BaseQuery.php ( 45.13 KB )
  115. /yingpanguazai/ssd/ssd1/www/b.460.net.cn/vendor/topthink/think-orm/src/db/concern/TimeFieldQuery.php ( 7.43 KB )
  116. /yingpanguazai/ssd/ssd1/www/b.460.net.cn/vendor/topthink/think-orm/src/db/concern/AggregateQuery.php ( 3.26 KB )
  117. /yingpanguazai/ssd/ssd1/www/b.460.net.cn/vendor/topthink/think-orm/src/db/concern/ModelRelationQuery.php ( 20.07 KB )
  118. /yingpanguazai/ssd/ssd1/www/b.460.net.cn/vendor/topthink/think-orm/src/db/concern/ParamsBind.php ( 3.66 KB )
  119. /yingpanguazai/ssd/ssd1/www/b.460.net.cn/vendor/topthink/think-orm/src/db/concern/ResultOperation.php ( 7.01 KB )
  120. /yingpanguazai/ssd/ssd1/www/b.460.net.cn/vendor/topthink/think-orm/src/db/concern/WhereQuery.php ( 19.37 KB )
  121. /yingpanguazai/ssd/ssd1/www/b.460.net.cn/vendor/topthink/think-orm/src/db/concern/JoinAndViewQuery.php ( 7.11 KB )
  122. /yingpanguazai/ssd/ssd1/www/b.460.net.cn/vendor/topthink/think-orm/src/db/concern/TableFieldInfo.php ( 2.63 KB )
  123. /yingpanguazai/ssd/ssd1/www/b.460.net.cn/vendor/topthink/think-orm/src/db/concern/Transaction.php ( 2.77 KB )
  124. /yingpanguazai/ssd/ssd1/www/b.460.net.cn/vendor/topthink/framework/src/think/log/driver/File.php ( 5.96 KB )
  125. /yingpanguazai/ssd/ssd1/www/b.460.net.cn/vendor/topthink/framework/src/think/contract/LogHandlerInterface.php ( 0.86 KB )
  126. /yingpanguazai/ssd/ssd1/www/b.460.net.cn/vendor/topthink/framework/src/think/log/Channel.php ( 3.89 KB )
  127. /yingpanguazai/ssd/ssd1/www/b.460.net.cn/vendor/topthink/framework/src/think/event/LogRecord.php ( 1.02 KB )
  128. /yingpanguazai/ssd/ssd1/www/b.460.net.cn/vendor/topthink/think-helper/src/Collection.php ( 16.47 KB )
  129. /yingpanguazai/ssd/ssd1/www/b.460.net.cn/vendor/topthink/framework/src/think/facade/View.php ( 1.70 KB )
  130. /yingpanguazai/ssd/ssd1/www/b.460.net.cn/vendor/topthink/framework/src/think/View.php ( 4.39 KB )
  131. /yingpanguazai/ssd/ssd1/www/b.460.net.cn/vendor/topthink/framework/src/think/Response.php ( 8.81 KB )
  132. /yingpanguazai/ssd/ssd1/www/b.460.net.cn/vendor/topthink/framework/src/think/response/View.php ( 3.29 KB )
  133. /yingpanguazai/ssd/ssd1/www/b.460.net.cn/vendor/topthink/framework/src/think/Cookie.php ( 6.06 KB )
  134. /yingpanguazai/ssd/ssd1/www/b.460.net.cn/vendor/topthink/think-view/src/Think.php ( 8.38 KB )
  135. /yingpanguazai/ssd/ssd1/www/b.460.net.cn/vendor/topthink/framework/src/think/contract/TemplateHandlerInterface.php ( 1.60 KB )
  136. /yingpanguazai/ssd/ssd1/www/b.460.net.cn/vendor/topthink/think-template/src/Template.php ( 46.61 KB )
  137. /yingpanguazai/ssd/ssd1/www/b.460.net.cn/vendor/topthink/think-template/src/template/driver/File.php ( 2.41 KB )
  138. /yingpanguazai/ssd/ssd1/www/b.460.net.cn/vendor/topthink/think-template/src/template/contract/DriverInterface.php ( 0.86 KB )
  139. /yingpanguazai/ssd/ssd1/www/b.460.net.cn/runtime/temp/b35eef690f41e64ad9e1c098cfc7d3bc.php ( 11.98 KB )
  140. /yingpanguazai/ssd/ssd1/www/b.460.net.cn/vendor/topthink/think-trace/src/Html.php ( 4.42 KB )
  1. CONNECT:[ UseTime:0.000551s ] mysql:host=127.0.0.1;port=3306;dbname=b460;charset=utf8mb4
  2. SHOW FULL COLUMNS FROM `fenlei` [ RunTime:0.000688s ]
  3. SELECT * FROM `fenlei` WHERE `fid` = 0 [ RunTime:0.000326s ]
  4. SELECT * FROM `fenlei` WHERE `fid` = 63 [ RunTime:0.000251s ]
  5. SHOW FULL COLUMNS FROM `set` [ RunTime:0.000502s ]
  6. SELECT * FROM `set` [ RunTime:0.000234s ]
  7. SHOW FULL COLUMNS FROM `article` [ RunTime:0.000518s ]
  8. SELECT * FROM `article` WHERE `id` = 532167 LIMIT 1 [ RunTime:0.000454s ]
  9. UPDATE `article` SET `lasttime` = 1776390451 WHERE `id` = 532167 [ RunTime:0.010143s ]
  10. SELECT * FROM `fenlei` WHERE `id` = 65 LIMIT 1 [ RunTime:0.000292s ]
  11. SELECT * FROM `article` WHERE `id` < 532167 ORDER BY `id` DESC LIMIT 1 [ RunTime:0.000443s ]
  12. SELECT * FROM `article` WHERE `id` > 532167 ORDER BY `id` ASC LIMIT 1 [ RunTime:0.001588s ]
  13. SELECT * FROM `article` WHERE `id` < 532167 ORDER BY `id` DESC LIMIT 10 [ RunTime:0.000695s ]
  14. SELECT * FROM `article` WHERE `id` < 532167 ORDER BY `id` DESC LIMIT 10,10 [ RunTime:0.000982s ]
  15. SELECT * FROM `article` WHERE `id` < 532167 ORDER BY `id` DESC LIMIT 20,10 [ RunTime:0.000963s ]
0.138471s