机械考研
Hello,各位27考研的小伙伴们~
今天,昊哥来帮你们分析的是机械考研“南京农业大学”。

803机械联考群

27机械考研总群
所有更新完的院校信息都会第一时间在QQ群:873838907内免费分享给大家,进群还可以领机械27择校宝典哟!
南京农业大学

03

南京农业大学是一所以农业和生命科学为优势和多学科协调发展的国家重点大学,是国家“211工程”重点建设大学、“985工程优势学科创新平台”和“双一流”建设高校。机械考研主要在工学院招生。位于南京市。
04
25招生专业及人数、研究方向

初试参考书目:
《理论力学(I册)(第八版)》 哈尔滨工业大学理论力学教研组 高等教育出版社

复试参考书目:
《机械原理(第九版)》 孙桓 高等教育出版社


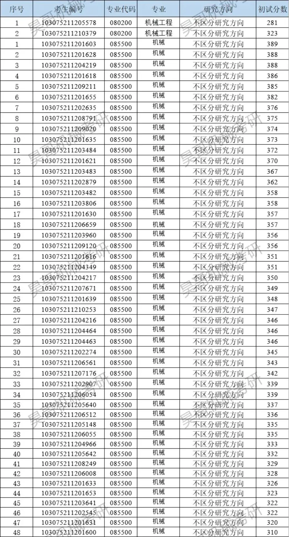
25年一志愿拟录取名单

昊哥分析:
25年南京农业大学机械学硕计划招生10人,实际招生2人,尚未招满,专硕计划招生43人,实际招生48人,扩招5人。总体判断招生规模不大且复试稳定性较高。
由于学校尚未给出一志愿复试名单,但根据学校所指定的复录比可推测复录比为1.2。学硕尚未招满,今年倘若想要捡漏,报考学硕可能是一个不错的选择。
由于南京农业大学不公布单科分数,无法分析数学及专业课难度,但可以肯定的是近俩年专业课难度不大,录取平均分在125左右。
南京农业大学机械考研难度处于211中第三难度梯队。25年学硕复试线281分,较24年相比,降低十八分,专硕复试线为310分,较24年相比,提高11分。由于对于想要报考南农的同学来说,学硕与专硕的选择是一个值得考虑的问题。
南京农业大学位于江苏南京。机械专业实力在211中稳中有进,虽然暂无学科评估,但师资力量雄厚,就业渠道广泛,与南京创力传动机械有限公司、南京宁庆数控机床制造有限公司、浙江春风动力股份有限公司等企业建立了良好的合作关系。
06
(一)复试内容
复试分为专业课笔试和综合能力面试
(1)笔试:专业知识考察(满分150分)
(2)面试:总成绩为150分(含英语能力测试),考生PPT展示5分钟以内,面试组提问。考生准备个人介绍 PPT。
(二)入学总成绩计算
复试成绩=面试成绩+笔试成绩
总成绩=初试成绩+复试成绩

2027机械考研全攻略:涵盖200所大学考研星评;往年各高校报考及录取情况;校考研难度排行榜;各校录取考生分数分布;机械专业考研经验。

【END】
往期精彩推
| 25考研录取分析(985) | ||
| 25考研录取分析(211) | ||
| 25考研录取分析(双非) | ||