
点击蓝字 关注我们


导语

双手力量不一?这可能和代谢健康有关!👐📉
肌肉功能随年龄增长而下降,但整体握力下降之外,握力不对称(即双手力量不均衡)可能是肌肉健康衰退的更早期信号。最新研究显示,胰岛素抵抗与握力不对称存在显著关联,尤其在肥胖相关的代谢指标中更为突出。理解这种联系,或有助于我们更早发现并干预肌肉功能的减退。
📚 CHARLS数据库作为国产大型公共健康数据库,覆盖多领域研究资源。如果您也希望利用CHARLS数据库开展研究、发表论文,欢迎关注我们并私信咨询!我们可为您提供数据支持与课题设计指导~🔍💡
(需要 纵向数据分析、增长模型构建或CHARLS数据挖掘 支持?随时找我们,帮你把十年数据变成一篇硬核文章!🚀)

影响因子:9.1

研究背景
代谢健康新警示!胰岛素抵抗指标或与握力不对称相关💡🤲
本研究旨在系统探究甘油三酯-葡萄糖(TyG)指数及其临床衍生指标与中国老年人群握力不对称(HGS-A)之间的关联,为早期识别肌肉功能衰退提供代谢视角的科学依据。

研究方法
方法解读|如何科学评估握力不对称与代谢指标的关系?🔬📊
研究将握力不对称定义为非优势手握力与优势手握力的比值,并采用多变量逻辑回归模型系统评估TyG指数、TyG‑BMI及TyG‑腰高比与握力不对称之间的关联,为揭示代谢健康与肌肉功能失衡的联系提供量化分析依据。


主要结果
1.数据聚焦|近四成老年人握力不对称,且与代谢指标显著关联!📊🧓
研究显示,38.26%的参与者存在握力不对称,28.63%的人整体握力偏低。在握力比值>1.3或<0.7的组中,参与者的BMI、TyG-BMI和握力水平均为最低。此外,各组在TyG、TyG-BMI和TyG-腰高比上存在显著差异,且男性比例、饮酒、吸烟状况以及年龄、BMI、腰高比、HDL-C、CRP、HGB、Cys-C等指标在四组间也呈现明显不同。这些结果共同提示,握力失衡与代谢、炎症等多系统状态密切相关。

2.关键发现|握力不对称与胰岛素抵抗指标普遍呈负相关📉🤝
分析显示,在所有参与者中,握力比率与TyG、TyG-BMI及TyG-WHR均呈负相关。性别亚组分析进一步揭示:男性仅握力比率与TyG-BMI存在显著负相关,而女性的握力比率与TyG、TyG-BMI及TyG-WHR均呈显著负相关,提示女性握力失衡与代谢指标的关联更为广泛。

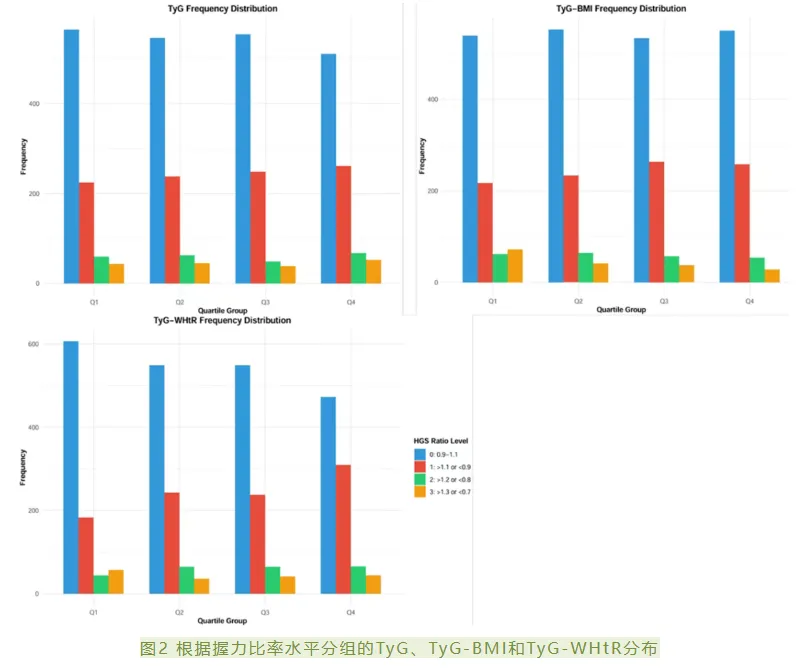
3.分层揭示|握力不对称程度与代谢指标呈现规律性分布📊📈
如图2所示,当按握力不对称严重程度采用非重叠标准分层后,TyG指数四分位数呈现明显的分布规律,且每个代谢指标(TyG、TyG-BMI、TyG-WHtR)均展现出不同的分布模式,说明握力失衡与代谢异常之间存在多层次、有结构的关联特征。

为进一步评估TyG、TyG-BMI和TyG-WHtR水平及其四分位数与整体握力不对称风险的关联,研究进行了逻辑回归分析(图3),系统量化了代谢异常对握力失衡的独立影响程度。

回归分析显示:当将TyG、TyG-BMI和TyG-WHtR作为连续变量进行分析时,TyG-BMI与TyG-WHtR在未调整和调整后的模型中均与握力不对称风险显著相关;而TyG仅在与握力不对称风险在未调整模型中相关,经多变量调整后关联不再显著(表3)。


文章小结
突破发现!胰岛素抵抗与握力不对称显著相关,代谢健康或成干预关键💡🤝
本研究证实,胰岛素抵抗——尤其是与肥胖相关的代谢功能障碍——与握力不对称存在显著关联。这一发现不仅拓展了我们对肌肉健康代谢决定因素的认知,也提示通过干预代谢综合征相关指标可能有助于维持肌肉对称性与功能。未来可进一步探究改善代谢参数是否能直接改善握力不对称状况。
若您也希望利用CHARLS数据库开展类似数据分析或复现该研究思路,欢迎联系我们,我们将为您提供专业的技术支持!🌳📊
🚀 立即联系我们,开启你的科研进阶之路!
还在为挖掘FAERS、MIMIC、CHARLS等热门公共数据库发愁?想零基础快速掌握数据分析全流程,轻松冲击SCI?
🔥 六大实战课程全面开放:FAERS·NAHNES·MIMIC·CHARLS·GBD·CLHLS覆盖药物安全、临床重症、老龄健康、疾病负担等主流科研方向!
✨ 课程四大亮点:✅ 一对一指导:从选题→方案→数据→分析全程陪伴✅ 零基础友好:从数据注册下载教起,小白也能轻松入门✅ 顶刊级复现:基于高分文献案例拆解,对标SCI发文标准✅ 直播互动教学:手把手带练,即问即答,问题不过夜
🎁 限时团购福利:👉 三人拼团直减100元👉 前50名赠送「SCI图表美化模板库」👉 报名即得六大数据库标准操作手册
⏰ 开售时间:2025年12月25日抢占席位,提升科研竞争力!私信咨询,立即锁定优惠 🚀


往期阅读
点击阅读原文