科学拾光:专注科学前沿,传递学术动态,以严谨视角解读科学进展,探索未知领域,助力科学探索之路。
1. 简介
Portevin-Le Chatelier效应源于动态应变时效,在塑性变形过程中表现为锯齿状流变。尽管该效应在传统制备铝合金中已获得广泛研究,但在增材制造铝合金中的行为特征仍缺乏深入认识。
本研究系统考察了温度、应变速率以及微观组织对典型激光粉末床熔融Al-Mg-Sc-Zr合金PLC行为的影响规律。结果表明,PLC行为对温度和应变速率呈现出强烈的依赖性,仅发生于特定的中等变形窗口内。研究首次揭示了一种显著的应变依赖性锯齿类型转变现象——从吕德斯平台内的B型锯齿演变为高应变下的A型或A+B混合型锯齿,这一特征在传统制备合金中极为罕见。分析表明,该转变主要归因于LPBF诱导的双峰组织中粗大柱状晶与超细等轴晶之间应变分配随变形程度的演变。直接时效处理显示,致密分布的Al₃(Sc,Zr)析出相通过削弱应变分配效应和消耗空位有效抑制了PLC效应,而过时效导致的晶粒粗化则消除了吕德斯平台。本研究阐明了微观组织不均匀性在调控增材制造铝合金动态应变时效介导的流变不稳定性中的关键作用。
2. 文章亮点
1. 首次揭示LPBF Al-Mg-Sc-Zr合金中锯齿类型的应变依赖性转变
发现了从吕德斯平台内B型锯齿向高应变区A型或A+B混合型锯齿的独特演变规律,这一现象在传统制备合金中极为罕见,归因于双峰组织中柱状晶与等轴晶间应变分配的动态演变。
2. 系统阐明了温度与应变速率对增材制造铝合金PLC行为的耦合影响
明确了PLC效应仅发生于223-323 K的中等温度窗口,并建立了应变速率通过调控位错等待时间影响锯齿类型的作用机制:高应变速率下呈现小幅度A型锯齿,低应变速率下则诱发大幅度B型锯齿。
3. 揭示了析出相与晶粒结构对PLC效应的协同调控机制
发现致密Al₃(Sc,Zr)纳米析出相通过消耗空位和削弱应变分配显著抑制PLC效应,而过时效导致的晶粒粗化则消除吕德斯平台,为通过热处理调控增材制造铝合金流变不稳定性提供了新思路。
3. 研究背景
Portevin-Le Chatelier效应是指合金在特定应变速率和温度区间内发生塑性变形时,因应变局部化而产生的塑性失稳现象,宏观上表现为应力-应变曲线出现锯齿状或不连续波动。该效应不仅会降低材料的成形塑性,还会在表面形成变形带,损害表面质量,对工业材料的应用至关重要。PLC效应是动态应变时效的宏观体现,其本质源于塑性变形过程中溶质原子与位错之间的动态相互作用。因此,凡是影响溶质原子迁移率或位错运动能力的因素,均可能显著改变PLC行为。这些因素既包括温度和应变速率等外在条件,也涵盖晶粒尺寸、析出相等内在微观组织特征。
依据变形曲线上锯齿的形态及其所对应的变形特征,通常将锯齿划分为A型、B型和C型三种典型类型。A型锯齿呈现周期性准连续特征,表现为流变应力逐渐上升后回落至或低于一般应力水平;B型锯齿出现频率高于A型,反映局部变形带呈跳跃式传播;C型锯齿则以应力骤降至一般应力水平以下、振幅较大为标志。此外,偶尔报道的D型和E型锯齿在本研究中若出现则归入A型,因其与连续变形带传播相关,行为特征与A型相似但不够典型。
作为代表性合金体系,传统制备Al-Mg和Al-Mg-(Sc,Zr)合金的PLC行为已获得广泛研究,重点关注应变速率、温度、晶粒形貌及析出相等因素的影响。研究表明,较高的应变速率会抑制位错 avalanches 的传播,从而降低锯齿振幅;而随温度升高,溶质扩散能力增强,应力降幅值和再加载时间通常增加。在Al-Mg-Sc合金中,晶粒细化和再结晶已被证实能够改变锯齿的振幅和类型。关于析出相的影响,有报道指出纳米尺度的Al₃(Sc,Zr)析出相可通过细化晶粒和捕获空位来限制Mg的扩散,从而抑制PLC效应。此外,这些Al₃(Sc,Zr)析出相能够钉扎位错并阻碍交滑移,提高位错运动的能垒,进一步削弱PLC效应。
作为变革性制造技术,激光粉末床熔融能够实现复杂形状构件的高精度成形。在铝合金体系中,Al-Mg-Sc-Zr合金因其优异的打印性能和工业应用价值而备受关注,其微观组织与力学性能已被广泛研究。然而,现有关于Al-Mg-Sc-Zr合金PLC行为的研究多集中于传统制备材料,针对LPBF制备合金的报道仍较为有限。得益于LPBF工艺的快速凝固和反复热循环特性,Al-Mg-Sc-Zr合金呈现出独特的微观组织特征,如双峰晶粒尺寸分布和高密度位错。这种独特的微观组织势必对PLC行为产生重要影响,亟需开展系统研究。
基于上述背景,本研究以成分与商用Scamalloy相近的典型LPBF Al-Mg-Sc-Zr合金为对象,系统考察不同外在条件及内在微观组织特征对其PLC行为的影响规律。通过系统的力学测试与细致的微观组织表征,揭示了上述因素对PLC行为特征的作用机制。尽管深入的机理分析仍有待后续研究,但本文的研究结果为理解LPBF铝合金中的PLC现象提供了坚实的实验依据。
4. 图文解析
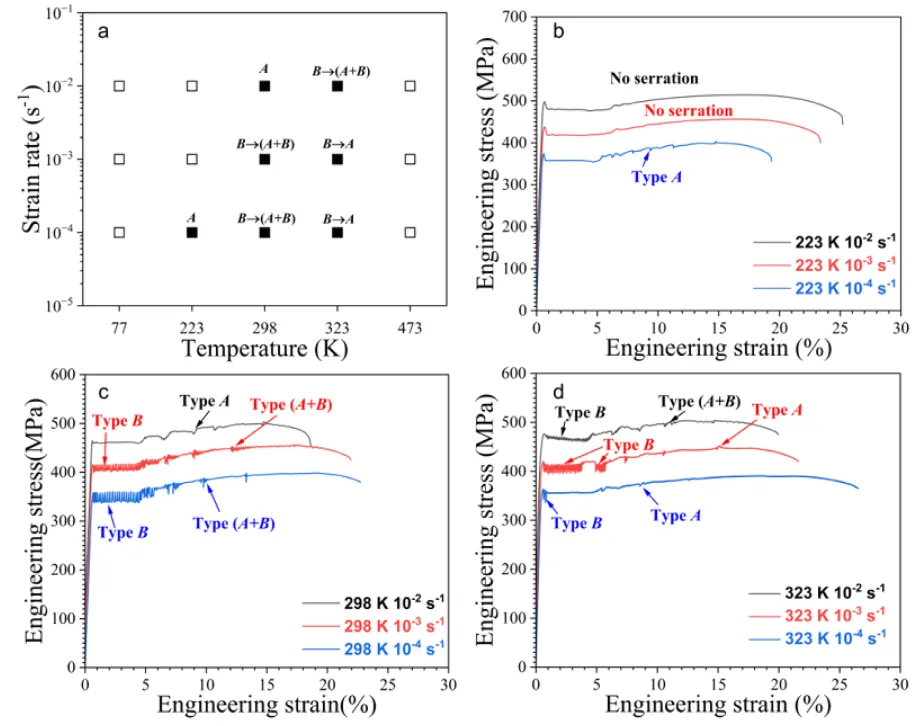
图1. 沉积态样品的微观组织表征: (a) 光学显微镜照片;(b1) 带反极图着色的EBSD图谱及(b2) 晶粒尺寸分布;(c1) 超细等轴晶区域的带反极图着色EBSD图谱及(c2) 晶粒尺寸分布;(d1-d5) 超细等轴晶区域的HAADF-TEM图像及EDS面分布图;(e1-e5) 粗大柱状晶区域的HAADF-TEM图像及EDS面分布图;(f) 超细等轴晶区域富Sc颗粒的高分辨TEM图像;(g) 对应的FFT图谱。图2. 峰时效态样品的微观组织表征: (a1) 带反极图着色的EBSD图谱及(a2) 对应的晶粒尺寸分布;(b1) 超细等轴晶区域带反极图着色的EBSD图谱及(b2) 晶粒尺寸分布;(c1-c5) HAADF-TEM图像及EDS面分布图;(d) 高分辨TEM图像显示Al₃(Sc,Zr)析出相;(e) 富Sc颗粒对应的FFT图谱。图3. 过时效态样品的微观组织表征: (a1) 带反极图着色的EBSD图谱及(a2) 对应的晶粒尺寸分布;(b1) 超细等轴晶区域带反极图着色的EBSD图谱及(b2) 晶粒尺寸分布;(c1-c5) HAADF-TEM图像及EDS面分布图;(d) 高分辨TEM图像;(e) 富Sc、Zr颗粒的FFT图谱。图4. 沉积态样品在不同温度、应变速率下的代表性工程应力-应变曲线: (a) 10⁻² s⁻¹;(b) 10⁻³ s⁻¹;(c) 10⁻⁴ s⁻¹;(d) 对应的应变速率敏感性指数。图5. (a) 沉积态样品在不同应变速率和温度下的锯齿类型分布图;沉积态样品在(b) 223 K、(c) 298 K、(d) 323 K下的代表性工程应力-应变曲线,展示PLC锯齿的演变规律((b-d)中应力-应变曲线依次偏移60 MPa)。图6. 时效态样品在298 K不同应变速率下的代表性工程应力-应变曲线: (a) 10⁻² s⁻¹;(b) 10⁻³ s⁻¹;(c) 10⁻⁴ s⁻¹;(d) 不同应变速率和时效时间下的锯齿类型分布。图7. 沉积态样品在0-5%应变范围内的工程应力-应变曲线及PLC锯齿平均振幅。 图(g)中箭头指示振幅计算基于锯齿活跃区间。图8. 沉积态样品在5%-15%应变范围内的工程应力-应变曲线及锯齿平均振幅。图9. 样品在0-5%应变范围内的工程应力-应变曲线: (a-c) 沉积态;(d-f) 峰时效态;(g-i) 中时效态;(j-l) 过时效态。图10. 样品在5%-15%应变范围内的工程应力-应变曲线: (a-c) 沉积态;(d-f) 峰时效态;(g-i) 中时效态;(j-l) 过时效态。图11. 沉积态样品中双峰晶粒组织与析出相诱导的PLC锯齿类型转变示意图。5. 文章结论
本文系统研究了温度、应变速率和微观组织对LPBF Al-Mg-Sc-Zr合金PLC行为的影响规律,并探讨了锯齿演变的内在机制。主要结论总结如下:
(1) LPBF Al-Mg-Sc-Zr合金的PLC行为对变形温度表现出强烈的依赖性。显著的锯齿状流变主要出现在中等温度区间,此时溶质扩散与位错迁移率达到动态平衡。在低温下,溶质迁移能力受限,动态应变时效受到抑制;而在高温下,加速的回复过程和位错湮灭消除了PLC效应。
(2) 应变速率通过影响位错等待时间改变PLC行为。在高应变速率下,位错等待时间缩短,溶质偏析和钉扎作用减弱,倾向于形成小振幅的A型锯齿;而在低应变速率下,充足的溶质扩散时间增强了钉扎效应,促进了大幅度的B型锯齿产生。
(3) LPBF诱导的双峰组织通过粗大柱状晶与超细等轴晶之间应变分配的动态演变,主导了锯齿类型的应变依赖性转变——从吕德斯平台内的B型锯齿演变为高应变下的A型或A+B混合型锯齿。致密的Al₃(Sc,Zr)析出相通过削弱应变分配和消耗空位抑制了PLC效应,而过时效导致的晶粒粗化则消除了吕德斯平台。
全文链接
https://doi.org/10.1016/j.jmst.2025.12.009
声明
以上图文版权归原作者所有。如有侵权,请联系删除。
