本工作室建立了微信群促进同学们之间的交流学习并有效讨论问题,可通过添加编辑微信进群。1.编辑微信:1)FEtunan(微信号)2)186006489282.工作室提供:二维材料生长及器件制作;科研绘图技巧;二维相关报告或会议推送;二维读博导师推荐、课题组招聘需求等欢迎大家投递中文的工作宣传稿及广告,具体联系微信:FEtunan(微信号)南京大学梁世军教授等人发表题为 “Monolithic Co-Integration of Vertical FET and Memristor for 1T1R Cell”于Advanced Electronic Materials上在存储器阵列集成和内存计算应用中,1T1R(一晶体管一忆阻器)结构因其能够实现单个存储单元的精确读写操作而被广泛采用。然而,传统的1T1R设计主要采用平面场效应晶体管(FET),其源极、漏极和沟道横向排列,这种布局在平面布局中限制了可实现的阵列密度。为了克服这一限制,研究人员开始探索将忆阻器与垂直场效应晶体管(VFET)集成的方法,其中源极、沟道和漏极垂直堆叠,通过底层栅极电场有效调制载流子传输。这种垂直几何结构与忆阻器的内在垂直配置相结合,为实现真正高效的面积堆叠提供了可能。在VFET平台中,石墨烯/半导体异质结因其独特的优势而备受关注:石墨烯的原子级薄特性和可调费米能级使得界面处的肖特基势垒能够动态调制,即使在垂直沟道中也能确保有效的场效应控制载流子注入。本研究展示了一种垂直集成的1T1R单元,通过将MoS2 VFET与HfO2忆阻器堆叠,实现了紧凑且高效的内存计算平台。
本研究提出了一种垂直集成的1T1R单元设计方案,该方案结合了MoS2 VFET和HfO2忆阻器的优势。首先,在SiO2/Si基板上制造VFET,使用机械剥离的石墨烯作为源接触电极,其可调功函数有助于实现高效的载流子注入。随后,将多层MoS2薄片转移到石墨烯上形成范德华异质结,并在石墨烯-MoS2重叠区域制造漏电极,石墨烯本身直接作为FET的源端。为了实现紧凑且开关特性高度均匀的1T1R单元,研究者在VFET漏极上方垂直集成了一个榫卯结构(MTS)的忆阻器。MTS电极设计通过原子层沉积(ALD) conformal沉积3nm HfO2开关层,并转移纳米图案化的h-BN薄片定义榫眼形状孔,最后蒸发榫头形状的金属顶电极完成功能MTS结构。这种结构设计将导电细丝限制在预定义区域内,确保了可重复的开关行为并最小化了变异性。
图1展示了传统平面1T1R与垂直1T1R的示意图对比,以及制备的1T1R单元的假彩色扫描电子显微镜(SEM)图像和拉曼光谱。通过垂直集成方案,VFET沟道面积仅为10µm²,显著减少了对先进光刻技术的依赖,并使得整体1T1R单元尺寸相较于一些报道的标准0.18µm硅基1T1R实现有所减小。SEM图像确认了石墨烯接触(紫色)、MoS2沟道(蓝色)和h-BN层(绿色)的紧密重叠区域,验证了垂直集成的成功实现。拉曼光谱分析进一步证实了材料的高质量和堆叠精度,未检测到杂质或缺陷的振动模式。
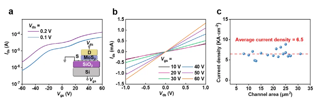
图2展示了MoS2 VFET的转移曲线、输出曲线以及开态电流密度随沟道面积的变化。转移曲线在Vds=0.2V时表现出典型的n型场效应行为,开/关比约为10²。输出曲线显示了优秀的线性和对称性,表明接触近乎欧姆。在Vds=1V时,开态电流超过1mA,对应电流密度约10KA·cm²,展示了VFET强大的电流驱动能力,这对于为集成1T1R单元中的电阻开关提供动力至关重要。开态电流密度几乎不随沟道面积变化,表明VFET的总开态电流可以通过调整器件面积来调节,为垂直集成1T1R单元中匹配忆阻器的操作窗口提供了灵活性。
图3详细展示了MTS忆阻器的典型I-V特性、高低电阻状态(HRS和LRS)的累积概率图、Vset和Vreset的分布、脉冲耐久性特性、多态电导的累积概率图以及保留特性。MTS忆阻器表现出稳定的双极开关行为,HRS和LRS的变异系数(Cv)极低,分别为16.5%和3.4%,证明了其高度均匀的开关性能。脉冲耐久性测试显示,经过超过10⁹次脉冲循环后,器件仍能稳定切换,且多态电导支持超过4位分辨率,保留测试确认了HRS和LRS在超过10⁴秒内保持稳定,无显著退化,展示了其出色的非易失性。
图4展示了垂直集成1T1R单元的典型I-V特性、高低电阻状态的累积概率图、Vset和Vreset的分布、脉冲耐久性性能、保留特性以及栅极可调的I-V测量。1T1R单元表现出稳定的双极电阻开关行为,HRS和LRS的Cv值分别为6.2%和3.4%,相较于独立忆阻器有所改进。脉冲耐久性测试显示,经过超过10⁶次循环后,器件仍能稳定切换,保留特性测试确认了HRS和LRS在超过10⁴秒内保持稳定。栅极可调的I-V测量表明,通过VFET栅极偏压可以实现六个不同且稳定的电导状态,电导水平随栅极偏压近似线性变化,展示了通过栅极控制实现连续且可预测的电导调制的能力,这对于神经形态系统至关重要。
https://doi.org/10.1002/aelm.202500742
