当前位置:首页>南京>文献分享 | 南京大学郭红岩教授ES&T发文:空间优化养分管理可有效抵消气候变化加剧的全球农田氮径流风险

文献分享 | 南京大学郭红岩教授ES&T发文:空间优化养分管理可有效抵消气候变化加剧的全球农田氮径流风险

  • 2026-04-10 05:22:15
文献分享 | 南京大学郭红岩教授ES&T发文:空间优化养分管理可有效抵消气候变化加剧的全球农田氮径流风险

点击蓝字 关注我们

1

文章信息

题目: Spatially Optimized Nutrient Management as a Climate-Resilient Strategy to Reduce Nitrogen Runoff from Global Croplands空间优化养分管理作为减少全球农田氮径流的气候适应性策略

期刊: Environmental Science & Technology 

作者: Binpeng Chen, Jichao Tang, Luyu Nan, Yanshi Li, Zihan Liu, Ziyang Liu, Qinghua Li, and Hongyan Guo

发表日期: 2026年

DOI: https://doi.org/10.1021/acs.est.5c09516

2

论文摘要

氮肥作为作物生产中不可或缺的投入品,在提高作物产量方面发挥了至关重要的作用。然而,随之而来的农田氮径流显著加剧了地表水体富营养化,对全球水生生态系统构成了严重威胁。准确估算农田氮径流对于设计有效的减缓策略至关重要,但该领域的研究仍受限于可用数据的缺乏。为弥补这一空白,我们基于全球编译的田间观测数据集,开发了一个机器学习模型。利用由环境和管理变量相似性驱动的全球空间插值方法,我们生成了作物特异性、高分辨率的全球氮径流排放因子地图。我们的研究结果显示,2020年,水稻、小麦和玉米田施用合成氮肥产生的氮径流约为2.33 Tg N yr⁻¹(95%置信区间:1.93-2.70 Tg N yr⁻¹)。在未来气候变化情景下(SSP1-2.6, SSP3-7.0, 和 SSP5-8.5),预计到2060年全球氮径流将变化-0.2%至1.4%,到2100年将增加0.8%至3.2%。我们进一步评估了96种作物-养分管理情景,并确定了区域特异性(而非通用)的氮径流减缓路径。空间优化的养分管理可以在不改变总氮肥投入的情况下,将农田氮径流减少22.2%(0.52 Tg N yr⁻¹),并且在未来的气候变化情景下显示出持续的减缓效果。本研究为减缓农田氮径流污染提供了一种具有气候适应性和可扩展性的空间优化策略,并为可持续的农田养分管理提供了可操作的指导。

3

研究背景

氮素是作物生长的关键营养元素,合成氮肥的广泛应用为保障全球粮食安全做出了巨大贡献。然而,施用于农田的氮肥并不能完全被作物吸收利用,其中很大一部分通过地表径流进入水体,成为导致湖泊、河流和近海区域水体富营养化的主要诱因之一。富营养化会引发藻类大量繁殖、水体缺氧、生物多样性下降等一系列严重的生态和环境问题,威胁水生生态系统和人类健康。

水稻、小麦和玉米作为全球三大主粮作物,其种植面积和氮肥消费量约占全球总量的一半,是农田氮径流的主要来源。随着全球人口增长和粮食需求增加,预计到2050年,氮肥施用量将在2000年的基础上增加44%,这无疑会进一步加剧农业源氮径流的污染压力。因此,在不影响粮食产量的前提下,有效减少农田氮径流是实现“零饥饿”、“清洁饮水与卫生设施”、“水下生物”和“气候行动”等多项联合国可持续发展目标的关键途径。

农田氮径流的产生不仅取决于施氮量,还高度依赖于氮径流排放因子。排放因子定义为施肥与不施肥处理下氮径流损失的差值除以总施氮量,它综合反映了当地环境条件(如气候、土壤)和管理措施(如肥料类型、施用方式)对氮流失的影响。以往的研究在估算全球农田氮径流排放因子时,受限于田间观测数据的缺乏,往往依赖于大量的外推,导致评估结果存在高度不确定性,并且缺乏高分辨率的空间分布信息。这阻碍了对排放热点区域的精准识别和针对性减排策略的制定。近年来,田间试验表明,优化的养分管理措施,如使用增效肥料、秸秆还田和氮肥深施等,可以提高氮肥利用率并减少氮径流损失,但这些措施在全球尺度上的效果及其在不同区域和气候变化背景下的适用性尚不清楚。人工智能和机器学习技术的发展为分析氮径流排放与气候、土壤和管理实践之间的复杂非线性关系提供了新的工具,使得更精确地评估全球农田氮径流排放因子成为可能。

4

研究方法

为填补上述研究空白,本研究开发了一套结合机器学习和空间插值的方法框架,主要步骤包括:

构建全球田间观测数据库:作者通过系统检索2000年至2024年12月发表的同行评议文献,收集了来自185篇出版物的1538个农田氮径流排放数据点。基于这些数据,并考虑背景排放,计算得到了895组氮径流排放因子数据。该数据库包含了氮径流排放、排放因子、气候条件(生长期日均温、总降水)、土壤性质(全氮、pH、容重、黏粒含量、有机碳、阳离子交换量)、灌溉用水量、作物类型(水稻、小麦、玉米)以及田间养分管理实践(肥料类型、施用位置、施用频率、秸秆管理)等关键变量。

机器学习模型开发与空间制图:研究团队将编译的数据集随机划分为训练集(80%)和测试集(20%)。采用网格搜索和10折交叉验证方法,比较了支持向量回归、梯度提升决策树、随机森林和袋装决策树等多种机器学习算法,最终选择性能最优的袋装决策树模型作为核心预测模型。模型利用气候、土壤、水输入、氮输入、作物类型和管理实践等作为预测变量,忽略了地理坐标以避免过拟合。随后,结合全球高分辨率的网格化输入数据(包括气候、土壤、作物收获面积和施氮量等),使用该模型生成了2020年全球水稻、小麦和玉米种植区3-角分(约5.6公里)分辨率的氮径流排放因子空间分布图。不确定性分析通过100次自助重采样和10,000次蒙特卡洛模拟进行。

减缓潜力评估与驱动因素分析:为评估优化养分管理的减排潜力,研究设计了96种作物-养分管理情景,涵盖3种作物、4种肥料类型、2种施用位置、2种施用频率和2种秸秆管理方式。对于每个网格单元,在保持总施氮量不变的情况下,利用机器学习模型预测所有96种管理组合下的排放因子,并找出能最小化排放因子的最优组合。通过比较基准排放因子与最优排放因子的差值,计算每个网格单元的减排潜力,并汇总得到全球总减排量。此外,运用沙普利加性解释方法对模型进行解释,量化各环境和管理因素对氮径流排放因子的贡献,并探究其非线性关系。

未来气候变化情景下的韧性评估:研究进一步将所建立的空间优化养分管理策略置于未来气候变化情景下进行测试。利用CMIP6的气候模式输出,在SSP1-2.6(低排放)、SSP3-7.0(中高排放)和SSP5-8.5(高排放)三种共享社会经济路径下,预测了2060年和2100年全球三大作物的基准氮径流排放以及采用优化管理后的排放情况,以评估该策略对气候变化的适应能力。

文章摘要图

5

研究结果

2020年全球农田氮径流现状:2020年,全球由合成氮肥施用导致的水稻、小麦和玉米田氮径流总量为2.33 Tg N yr⁻¹,其中玉米贡献最大(37%),小麦次之(35%),水稻居后。空间分布上,亚洲是最大的排放区域,中国、印度和美国是前三大排放国。高排放强度区域呈现明显的地理聚集:水稻主要集中在中国东部、印度北部、巴基斯坦东部等地;小麦主要分布在华北平原、印度北部、欧洲中西部等地;玉米则集中于美国中西部、中国华北平原和东北地区等地。

图 1. 2020 年全球合成氮肥施用导致的农田氮径流排放因子与排放量(基于机器学习,3-角分空间分辨率)

全球氮径流排放因子及其对管理的响应:2020年,在传统合成氮肥管理下,全球水稻、小麦和玉米的氮径流排放因子范围分别在1.0%-12.1%、0.8%-11.5%和0.7%-11.9%之间。不同的养分管理措施对排放因子有显著影响。在所有作物中,“合成氮肥-表施-多次施用-秸秆移除”的组合导致了最高的平均排放因子(4.6%-4.7%)。相比之下,“增效肥料-深施-一次施用-秸秆还田”的组合在全球范围内平均排放因子最低(3.4%-3.6%),显示出最大的减排潜力。

图 2. 不同养分管理组合下基于情景的全球平均预测氮径流排放因子

空间优化养分管理的减排潜力:空间优化的养分管理策略(即每个网格单元选择最适合其条件的组合)能够在不改变总氮肥投入的情况下,将全球氮径流减少0.52 Tg N yr⁻¹,相当于当前排放总量的22.2%。优化策略呈现出强烈的空间异质性:增效肥料-深施-一次施用-秸秆还田的组合在水稻和玉米的优化网格中占比最高(35%-36%);而对于小麦,该组合与“有机肥-深施-一次施用-秸秆还田”的组合并重。从具体措施来看,增效肥料和有机肥在超过99%的旱地作物网格中被选为最优;秸秆还田和深施在超过80%的网格中被优先选择;而一次施肥则比多次施用更普遍。减排潜力主要分布在亚洲、北美和欧洲,其中玉米的减排潜力最大(0.22 Tg N yr⁻¹)。

图 3. 用于减少氮径流的最优养分管理组合空间分布及氮径流减排潜力热点图

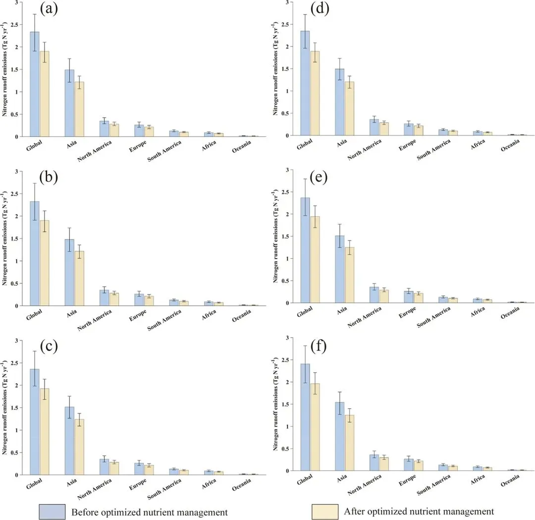
化策略对未来气候变化的韧性:未来气候变化将导致全球氮径流增加,尤其是在高排放情景SSP5-8.5下,到2100年预计将增加3.2%。然而,即使在最严峻的气候变化情景下,采用空间优化的养分管理策略仍能持续减少氮径流,全球范围内的减排幅度维持在17.6%至19.2%之间。这意味着,仅需实现优化策略减排潜力的大约五分之一,就足以完全抵消由气候变化带来的氮径流增加,证明了该策略的强韧性和有效性。

图 4. 在未来气候变化情景下,空间优化养分管理在氮径流减缓中的持续作用(全球及大陆尺度)

6

未来研究展望

未来研究应致力于减少不确定性和拓展研究边界。尽管本研究的数据集已比以往扩大了数量级,但全球观测数据仍存在覆盖空白,特别是在撒哈拉以南非洲、美国中西部等地区,模型预测仍面临外推风险。因此,未来应在这些高风险区域优先布设新的田间观测站点,以进一步降低全球评估的不确定性。同时,随着更高分辨率、更高频次的全球环境数据(如降雨强度与分布、土壤有效氮动态等)的不断涌现,可以将这些变量纳入模型,提升对极端天气事件影响的捕捉能力,并发展动态模型,以更好地刻画年际间的变化。最后,本研究聚焦于三大主粮作物和合成氮肥,未来可将框架拓展至更多作物种类(如大豆、蔬菜)和更多肥料来源(如有机肥、增效肥),以绘制更全面的全球农业氮径流图谱。

引用

Chen, B., Tang, J., Nan, L., Li, Y., Liu, Z., Liu, Z., Li, Q., & Guo, H. (2025). Spatially Optimized Nutrient Management as a Climate-Resilient Strategy to Reduce Nitrogen Runoff from Global Croplands. Environmental Science & Technology. https://doi.org/10.1021/acs.est.5c09516

本文由【生态风险与韧性前沿】发布,欢迎转发分享,转载请注明出处。

关注我们,共同探索生态风险与韧性提升的发展之路。

最新文章

随机文章

基本 文件 流程 错误 SQL 调试
  1. 请求信息 : 2026-04-24 13:47:08 HTTP/2.0 GET : https://b.460.net.cn/a/520444.html
  2. 运行时间 : 0.206469s [ 吞吐率:4.84req/s ] 内存消耗:4,684.92kb 文件加载:140
  3. 缓存信息 : 0 reads,0 writes
  4. 会话信息 : SESSION_ID=b584c47af54e963820cb9f46b6d64fcd
  1. /yingpanguazai/ssd/ssd1/www/b.460.net.cn/public/index.php ( 0.79 KB )
  2. /yingpanguazai/ssd/ssd1/www/b.460.net.cn/vendor/autoload.php ( 0.17 KB )
  3. /yingpanguazai/ssd/ssd1/www/b.460.net.cn/vendor/composer/autoload_real.php ( 2.49 KB )
  4. /yingpanguazai/ssd/ssd1/www/b.460.net.cn/vendor/composer/platform_check.php ( 0.90 KB )
  5. /yingpanguazai/ssd/ssd1/www/b.460.net.cn/vendor/composer/ClassLoader.php ( 14.03 KB )
  6. /yingpanguazai/ssd/ssd1/www/b.460.net.cn/vendor/composer/autoload_static.php ( 4.90 KB )
  7. /yingpanguazai/ssd/ssd1/www/b.460.net.cn/vendor/topthink/think-helper/src/helper.php ( 8.34 KB )
  8. /yingpanguazai/ssd/ssd1/www/b.460.net.cn/vendor/topthink/think-validate/src/helper.php ( 2.19 KB )
  9. /yingpanguazai/ssd/ssd1/www/b.460.net.cn/vendor/topthink/think-orm/src/helper.php ( 1.47 KB )
  10. /yingpanguazai/ssd/ssd1/www/b.460.net.cn/vendor/topthink/think-orm/stubs/load_stubs.php ( 0.16 KB )
  11. /yingpanguazai/ssd/ssd1/www/b.460.net.cn/vendor/topthink/framework/src/think/Exception.php ( 1.69 KB )
  12. /yingpanguazai/ssd/ssd1/www/b.460.net.cn/vendor/topthink/think-container/src/Facade.php ( 2.71 KB )
  13. /yingpanguazai/ssd/ssd1/www/b.460.net.cn/vendor/symfony/deprecation-contracts/function.php ( 0.99 KB )
  14. /yingpanguazai/ssd/ssd1/www/b.460.net.cn/vendor/symfony/polyfill-mbstring/bootstrap.php ( 8.26 KB )
  15. /yingpanguazai/ssd/ssd1/www/b.460.net.cn/vendor/symfony/polyfill-mbstring/bootstrap80.php ( 9.78 KB )
  16. /yingpanguazai/ssd/ssd1/www/b.460.net.cn/vendor/symfony/var-dumper/Resources/functions/dump.php ( 1.49 KB )
  17. /yingpanguazai/ssd/ssd1/www/b.460.net.cn/vendor/topthink/think-dumper/src/helper.php ( 0.18 KB )
  18. /yingpanguazai/ssd/ssd1/www/b.460.net.cn/vendor/symfony/var-dumper/VarDumper.php ( 4.30 KB )
  19. /yingpanguazai/ssd/ssd1/www/b.460.net.cn/vendor/topthink/framework/src/think/App.php ( 15.30 KB )
  20. /yingpanguazai/ssd/ssd1/www/b.460.net.cn/vendor/topthink/think-container/src/Container.php ( 15.76 KB )
  21. /yingpanguazai/ssd/ssd1/www/b.460.net.cn/vendor/psr/container/src/ContainerInterface.php ( 1.02 KB )
  22. /yingpanguazai/ssd/ssd1/www/b.460.net.cn/app/provider.php ( 0.19 KB )
  23. /yingpanguazai/ssd/ssd1/www/b.460.net.cn/vendor/topthink/framework/src/think/Http.php ( 6.04 KB )
  24. /yingpanguazai/ssd/ssd1/www/b.460.net.cn/vendor/topthink/think-helper/src/helper/Str.php ( 7.29 KB )
  25. /yingpanguazai/ssd/ssd1/www/b.460.net.cn/vendor/topthink/framework/src/think/Env.php ( 4.68 KB )
  26. /yingpanguazai/ssd/ssd1/www/b.460.net.cn/app/common.php ( 0.03 KB )
  27. /yingpanguazai/ssd/ssd1/www/b.460.net.cn/vendor/topthink/framework/src/helper.php ( 18.78 KB )
  28. /yingpanguazai/ssd/ssd1/www/b.460.net.cn/vendor/topthink/framework/src/think/Config.php ( 5.54 KB )
  29. /yingpanguazai/ssd/ssd1/www/b.460.net.cn/config/app.php ( 0.95 KB )
  30. /yingpanguazai/ssd/ssd1/www/b.460.net.cn/config/cache.php ( 0.78 KB )
  31. /yingpanguazai/ssd/ssd1/www/b.460.net.cn/config/console.php ( 0.23 KB )
  32. /yingpanguazai/ssd/ssd1/www/b.460.net.cn/config/cookie.php ( 0.56 KB )
  33. /yingpanguazai/ssd/ssd1/www/b.460.net.cn/config/database.php ( 2.47 KB )
  34. /yingpanguazai/ssd/ssd1/www/b.460.net.cn/vendor/topthink/framework/src/think/facade/Env.php ( 1.67 KB )
  35. /yingpanguazai/ssd/ssd1/www/b.460.net.cn/config/filesystem.php ( 0.61 KB )
  36. /yingpanguazai/ssd/ssd1/www/b.460.net.cn/config/lang.php ( 0.91 KB )
  37. /yingpanguazai/ssd/ssd1/www/b.460.net.cn/config/log.php ( 1.35 KB )
  38. /yingpanguazai/ssd/ssd1/www/b.460.net.cn/config/middleware.php ( 0.19 KB )
  39. /yingpanguazai/ssd/ssd1/www/b.460.net.cn/config/route.php ( 1.89 KB )
  40. /yingpanguazai/ssd/ssd1/www/b.460.net.cn/config/session.php ( 0.57 KB )
  41. /yingpanguazai/ssd/ssd1/www/b.460.net.cn/config/trace.php ( 0.34 KB )
  42. /yingpanguazai/ssd/ssd1/www/b.460.net.cn/config/view.php ( 0.82 KB )
  43. /yingpanguazai/ssd/ssd1/www/b.460.net.cn/app/event.php ( 0.25 KB )
  44. /yingpanguazai/ssd/ssd1/www/b.460.net.cn/vendor/topthink/framework/src/think/Event.php ( 7.67 KB )
  45. /yingpanguazai/ssd/ssd1/www/b.460.net.cn/app/service.php ( 0.13 KB )
  46. /yingpanguazai/ssd/ssd1/www/b.460.net.cn/app/AppService.php ( 0.26 KB )
  47. /yingpanguazai/ssd/ssd1/www/b.460.net.cn/vendor/topthink/framework/src/think/Service.php ( 1.64 KB )
  48. /yingpanguazai/ssd/ssd1/www/b.460.net.cn/vendor/topthink/framework/src/think/Lang.php ( 7.35 KB )
  49. /yingpanguazai/ssd/ssd1/www/b.460.net.cn/vendor/topthink/framework/src/lang/zh-cn.php ( 13.70 KB )
  50. /yingpanguazai/ssd/ssd1/www/b.460.net.cn/vendor/topthink/framework/src/think/initializer/Error.php ( 3.31 KB )
  51. /yingpanguazai/ssd/ssd1/www/b.460.net.cn/vendor/topthink/framework/src/think/initializer/RegisterService.php ( 1.33 KB )
  52. /yingpanguazai/ssd/ssd1/www/b.460.net.cn/vendor/services.php ( 0.14 KB )
  53. /yingpanguazai/ssd/ssd1/www/b.460.net.cn/vendor/topthink/framework/src/think/service/PaginatorService.php ( 1.52 KB )
  54. /yingpanguazai/ssd/ssd1/www/b.460.net.cn/vendor/topthink/framework/src/think/service/ValidateService.php ( 0.99 KB )
  55. /yingpanguazai/ssd/ssd1/www/b.460.net.cn/vendor/topthink/framework/src/think/service/ModelService.php ( 2.04 KB )
  56. /yingpanguazai/ssd/ssd1/www/b.460.net.cn/vendor/topthink/think-trace/src/Service.php ( 0.77 KB )
  57. /yingpanguazai/ssd/ssd1/www/b.460.net.cn/vendor/topthink/framework/src/think/Middleware.php ( 6.72 KB )
  58. /yingpanguazai/ssd/ssd1/www/b.460.net.cn/vendor/topthink/framework/src/think/initializer/BootService.php ( 0.77 KB )
  59. /yingpanguazai/ssd/ssd1/www/b.460.net.cn/vendor/topthink/think-orm/src/Paginator.php ( 11.86 KB )
  60. /yingpanguazai/ssd/ssd1/www/b.460.net.cn/vendor/topthink/think-validate/src/Validate.php ( 63.20 KB )
  61. /yingpanguazai/ssd/ssd1/www/b.460.net.cn/vendor/topthink/think-orm/src/Model.php ( 23.55 KB )
  62. /yingpanguazai/ssd/ssd1/www/b.460.net.cn/vendor/topthink/think-orm/src/model/concern/Attribute.php ( 21.05 KB )
  63. /yingpanguazai/ssd/ssd1/www/b.460.net.cn/vendor/topthink/think-orm/src/model/concern/AutoWriteData.php ( 4.21 KB )
  64. /yingpanguazai/ssd/ssd1/www/b.460.net.cn/vendor/topthink/think-orm/src/model/concern/Conversion.php ( 6.44 KB )
  65. /yingpanguazai/ssd/ssd1/www/b.460.net.cn/vendor/topthink/think-orm/src/model/concern/DbConnect.php ( 5.16 KB )
  66. /yingpanguazai/ssd/ssd1/www/b.460.net.cn/vendor/topthink/think-orm/src/model/concern/ModelEvent.php ( 2.33 KB )
  67. /yingpanguazai/ssd/ssd1/www/b.460.net.cn/vendor/topthink/think-orm/src/model/concern/RelationShip.php ( 28.29 KB )
  68. /yingpanguazai/ssd/ssd1/www/b.460.net.cn/vendor/topthink/think-helper/src/contract/Arrayable.php ( 0.09 KB )
  69. /yingpanguazai/ssd/ssd1/www/b.460.net.cn/vendor/topthink/think-helper/src/contract/Jsonable.php ( 0.13 KB )
  70. /yingpanguazai/ssd/ssd1/www/b.460.net.cn/vendor/topthink/think-orm/src/model/contract/Modelable.php ( 0.09 KB )
  71. /yingpanguazai/ssd/ssd1/www/b.460.net.cn/vendor/topthink/framework/src/think/Db.php ( 2.88 KB )
  72. /yingpanguazai/ssd/ssd1/www/b.460.net.cn/vendor/topthink/think-orm/src/DbManager.php ( 8.52 KB )
  73. /yingpanguazai/ssd/ssd1/www/b.460.net.cn/vendor/topthink/framework/src/think/Log.php ( 6.28 KB )
  74. /yingpanguazai/ssd/ssd1/www/b.460.net.cn/vendor/topthink/framework/src/think/Manager.php ( 3.92 KB )
  75. /yingpanguazai/ssd/ssd1/www/b.460.net.cn/vendor/psr/log/src/LoggerTrait.php ( 2.69 KB )
  76. /yingpanguazai/ssd/ssd1/www/b.460.net.cn/vendor/psr/log/src/LoggerInterface.php ( 2.71 KB )
  77. /yingpanguazai/ssd/ssd1/www/b.460.net.cn/vendor/topthink/framework/src/think/Cache.php ( 4.92 KB )
  78. /yingpanguazai/ssd/ssd1/www/b.460.net.cn/vendor/psr/simple-cache/src/CacheInterface.php ( 4.71 KB )
  79. /yingpanguazai/ssd/ssd1/www/b.460.net.cn/vendor/topthink/think-helper/src/helper/Arr.php ( 16.63 KB )
  80. /yingpanguazai/ssd/ssd1/www/b.460.net.cn/vendor/topthink/framework/src/think/cache/driver/File.php ( 7.84 KB )
  81. /yingpanguazai/ssd/ssd1/www/b.460.net.cn/vendor/topthink/framework/src/think/cache/Driver.php ( 9.03 KB )
  82. /yingpanguazai/ssd/ssd1/www/b.460.net.cn/vendor/topthink/framework/src/think/contract/CacheHandlerInterface.php ( 1.99 KB )
  83. /yingpanguazai/ssd/ssd1/www/b.460.net.cn/app/Request.php ( 0.09 KB )
  84. /yingpanguazai/ssd/ssd1/www/b.460.net.cn/vendor/topthink/framework/src/think/Request.php ( 55.78 KB )
  85. /yingpanguazai/ssd/ssd1/www/b.460.net.cn/app/middleware.php ( 0.25 KB )
  86. /yingpanguazai/ssd/ssd1/www/b.460.net.cn/vendor/topthink/framework/src/think/Pipeline.php ( 2.61 KB )
  87. /yingpanguazai/ssd/ssd1/www/b.460.net.cn/vendor/topthink/think-trace/src/TraceDebug.php ( 3.40 KB )
  88. /yingpanguazai/ssd/ssd1/www/b.460.net.cn/vendor/topthink/framework/src/think/middleware/SessionInit.php ( 1.94 KB )
  89. /yingpanguazai/ssd/ssd1/www/b.460.net.cn/vendor/topthink/framework/src/think/Session.php ( 1.80 KB )
  90. /yingpanguazai/ssd/ssd1/www/b.460.net.cn/vendor/topthink/framework/src/think/session/driver/File.php ( 6.27 KB )
  91. /yingpanguazai/ssd/ssd1/www/b.460.net.cn/vendor/topthink/framework/src/think/contract/SessionHandlerInterface.php ( 0.87 KB )
  92. /yingpanguazai/ssd/ssd1/www/b.460.net.cn/vendor/topthink/framework/src/think/session/Store.php ( 7.12 KB )
  93. /yingpanguazai/ssd/ssd1/www/b.460.net.cn/vendor/topthink/framework/src/think/Route.php ( 23.73 KB )
  94. /yingpanguazai/ssd/ssd1/www/b.460.net.cn/vendor/topthink/framework/src/think/route/RuleName.php ( 5.75 KB )
  95. /yingpanguazai/ssd/ssd1/www/b.460.net.cn/vendor/topthink/framework/src/think/route/Domain.php ( 2.53 KB )
  96. /yingpanguazai/ssd/ssd1/www/b.460.net.cn/vendor/topthink/framework/src/think/route/RuleGroup.php ( 22.43 KB )
  97. /yingpanguazai/ssd/ssd1/www/b.460.net.cn/vendor/topthink/framework/src/think/route/Rule.php ( 26.95 KB )
  98. /yingpanguazai/ssd/ssd1/www/b.460.net.cn/vendor/topthink/framework/src/think/route/RuleItem.php ( 9.78 KB )
  99. /yingpanguazai/ssd/ssd1/www/b.460.net.cn/route/app.php ( 1.72 KB )
  100. /yingpanguazai/ssd/ssd1/www/b.460.net.cn/vendor/topthink/framework/src/think/facade/Route.php ( 4.70 KB )
  101. /yingpanguazai/ssd/ssd1/www/b.460.net.cn/vendor/topthink/framework/src/think/route/dispatch/Controller.php ( 4.74 KB )
  102. /yingpanguazai/ssd/ssd1/www/b.460.net.cn/vendor/topthink/framework/src/think/route/Dispatch.php ( 10.44 KB )
  103. /yingpanguazai/ssd/ssd1/www/b.460.net.cn/app/controller/Index.php ( 4.81 KB )
  104. /yingpanguazai/ssd/ssd1/www/b.460.net.cn/app/BaseController.php ( 2.05 KB )
  105. /yingpanguazai/ssd/ssd1/www/b.460.net.cn/vendor/topthink/think-orm/src/facade/Db.php ( 0.93 KB )
  106. /yingpanguazai/ssd/ssd1/www/b.460.net.cn/vendor/topthink/think-orm/src/db/connector/Mysql.php ( 5.44 KB )
  107. /yingpanguazai/ssd/ssd1/www/b.460.net.cn/vendor/topthink/think-orm/src/db/PDOConnection.php ( 52.47 KB )
  108. /yingpanguazai/ssd/ssd1/www/b.460.net.cn/vendor/topthink/think-orm/src/db/Connection.php ( 8.39 KB )
  109. /yingpanguazai/ssd/ssd1/www/b.460.net.cn/vendor/topthink/think-orm/src/db/ConnectionInterface.php ( 4.57 KB )
  110. /yingpanguazai/ssd/ssd1/www/b.460.net.cn/vendor/topthink/think-orm/src/db/builder/Mysql.php ( 16.58 KB )
  111. /yingpanguazai/ssd/ssd1/www/b.460.net.cn/vendor/topthink/think-orm/src/db/Builder.php ( 24.06 KB )
  112. /yingpanguazai/ssd/ssd1/www/b.460.net.cn/vendor/topthink/think-orm/src/db/BaseBuilder.php ( 27.50 KB )
  113. /yingpanguazai/ssd/ssd1/www/b.460.net.cn/vendor/topthink/think-orm/src/db/Query.php ( 15.71 KB )
  114. /yingpanguazai/ssd/ssd1/www/b.460.net.cn/vendor/topthink/think-orm/src/db/BaseQuery.php ( 45.13 KB )
  115. /yingpanguazai/ssd/ssd1/www/b.460.net.cn/vendor/topthink/think-orm/src/db/concern/TimeFieldQuery.php ( 7.43 KB )
  116. /yingpanguazai/ssd/ssd1/www/b.460.net.cn/vendor/topthink/think-orm/src/db/concern/AggregateQuery.php ( 3.26 KB )
  117. /yingpanguazai/ssd/ssd1/www/b.460.net.cn/vendor/topthink/think-orm/src/db/concern/ModelRelationQuery.php ( 20.07 KB )
  118. /yingpanguazai/ssd/ssd1/www/b.460.net.cn/vendor/topthink/think-orm/src/db/concern/ParamsBind.php ( 3.66 KB )
  119. /yingpanguazai/ssd/ssd1/www/b.460.net.cn/vendor/topthink/think-orm/src/db/concern/ResultOperation.php ( 7.01 KB )
  120. /yingpanguazai/ssd/ssd1/www/b.460.net.cn/vendor/topthink/think-orm/src/db/concern/WhereQuery.php ( 19.37 KB )
  121. /yingpanguazai/ssd/ssd1/www/b.460.net.cn/vendor/topthink/think-orm/src/db/concern/JoinAndViewQuery.php ( 7.11 KB )
  122. /yingpanguazai/ssd/ssd1/www/b.460.net.cn/vendor/topthink/think-orm/src/db/concern/TableFieldInfo.php ( 2.63 KB )
  123. /yingpanguazai/ssd/ssd1/www/b.460.net.cn/vendor/topthink/think-orm/src/db/concern/Transaction.php ( 2.77 KB )
  124. /yingpanguazai/ssd/ssd1/www/b.460.net.cn/vendor/topthink/framework/src/think/log/driver/File.php ( 5.96 KB )
  125. /yingpanguazai/ssd/ssd1/www/b.460.net.cn/vendor/topthink/framework/src/think/contract/LogHandlerInterface.php ( 0.86 KB )
  126. /yingpanguazai/ssd/ssd1/www/b.460.net.cn/vendor/topthink/framework/src/think/log/Channel.php ( 3.89 KB )
  127. /yingpanguazai/ssd/ssd1/www/b.460.net.cn/vendor/topthink/framework/src/think/event/LogRecord.php ( 1.02 KB )
  128. /yingpanguazai/ssd/ssd1/www/b.460.net.cn/vendor/topthink/think-helper/src/Collection.php ( 16.47 KB )
  129. /yingpanguazai/ssd/ssd1/www/b.460.net.cn/vendor/topthink/framework/src/think/facade/View.php ( 1.70 KB )
  130. /yingpanguazai/ssd/ssd1/www/b.460.net.cn/vendor/topthink/framework/src/think/View.php ( 4.39 KB )
  131. /yingpanguazai/ssd/ssd1/www/b.460.net.cn/vendor/topthink/framework/src/think/Response.php ( 8.81 KB )
  132. /yingpanguazai/ssd/ssd1/www/b.460.net.cn/vendor/topthink/framework/src/think/response/View.php ( 3.29 KB )
  133. /yingpanguazai/ssd/ssd1/www/b.460.net.cn/vendor/topthink/framework/src/think/Cookie.php ( 6.06 KB )
  134. /yingpanguazai/ssd/ssd1/www/b.460.net.cn/vendor/topthink/think-view/src/Think.php ( 8.38 KB )
  135. /yingpanguazai/ssd/ssd1/www/b.460.net.cn/vendor/topthink/framework/src/think/contract/TemplateHandlerInterface.php ( 1.60 KB )
  136. /yingpanguazai/ssd/ssd1/www/b.460.net.cn/vendor/topthink/think-template/src/Template.php ( 46.61 KB )
  137. /yingpanguazai/ssd/ssd1/www/b.460.net.cn/vendor/topthink/think-template/src/template/driver/File.php ( 2.41 KB )
  138. /yingpanguazai/ssd/ssd1/www/b.460.net.cn/vendor/topthink/think-template/src/template/contract/DriverInterface.php ( 0.86 KB )
  139. /yingpanguazai/ssd/ssd1/www/b.460.net.cn/runtime/temp/b35eef690f41e64ad9e1c098cfc7d3bc.php ( 11.98 KB )
  140. /yingpanguazai/ssd/ssd1/www/b.460.net.cn/vendor/topthink/think-trace/src/Html.php ( 4.42 KB )
  1. CONNECT:[ UseTime:0.000473s ] mysql:host=127.0.0.1;port=3306;dbname=b460;charset=utf8mb4
  2. SHOW FULL COLUMNS FROM `fenlei` [ RunTime:0.000582s ]
  3. SELECT * FROM `fenlei` WHERE `fid` = 0 [ RunTime:0.001030s ]
  4. SELECT * FROM `fenlei` WHERE `fid` = 63 [ RunTime:0.001505s ]
  5. SHOW FULL COLUMNS FROM `set` [ RunTime:0.000533s ]
  6. SELECT * FROM `set` [ RunTime:0.000240s ]
  7. SHOW FULL COLUMNS FROM `article` [ RunTime:0.000560s ]
  8. SELECT * FROM `article` WHERE `id` = 520444 LIMIT 1 [ RunTime:0.006522s ]
  9. UPDATE `article` SET `lasttime` = 1777009628 WHERE `id` = 520444 [ RunTime:0.001672s ]
  10. SELECT * FROM `fenlei` WHERE `id` = 65 LIMIT 1 [ RunTime:0.000307s ]
  11. SELECT * FROM `article` WHERE `id` < 520444 ORDER BY `id` DESC LIMIT 1 [ RunTime:0.000493s ]
  12. SELECT * FROM `article` WHERE `id` > 520444 ORDER BY `id` ASC LIMIT 1 [ RunTime:0.006780s ]
  13. SELECT * FROM `article` WHERE `id` < 520444 ORDER BY `id` DESC LIMIT 10 [ RunTime:0.010264s ]
  14. SELECT * FROM `article` WHERE `id` < 520444 ORDER BY `id` DESC LIMIT 10,10 [ RunTime:0.005342s ]
  15. SELECT * FROM `article` WHERE `id` < 520444 ORDER BY `id` DESC LIMIT 20,10 [ RunTime:0.003604s ]
0.208035s