当前位置:首页>南京>中考模拟||2026 年南京市中考数学第一次模拟考试,含难题解析

中考模拟||2026 年南京市中考数学第一次模拟考试,含难题解析

  • 2026-04-16 04:15:24
中考模拟||2026 年南京市中考数学第一次模拟考试,含难题解析

中考模拟

2025全国中考真题汇总及解析

2026年中考数学综合提升小卷

2026年绵阳中考数学命题趋势

2026年成都中考数学命题趋势

2026年中考数学难点专题

中考热点题型(一)共75题

中考热点题型(二)共40题

中考热点题型(三)共24题

中考热点题型(四)共30题

中考热点题型(五)共30题

2026年南京市中考一模数学卷

2026年南京市一中集团中考零模试卷
2025年南京市中考数学真题解析

答案解析

难题解析

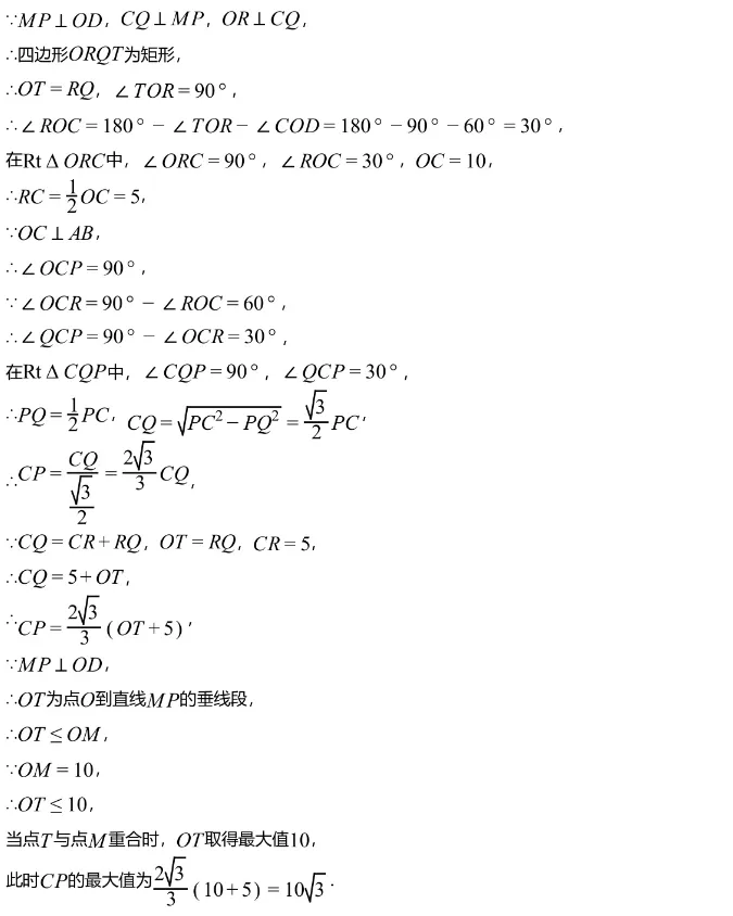
第16题解析

∴如图所示,当点A,G,M三点共线时,AM取得最大值,即AG+GM的长度,取线段OE的中点F,连接GF,

第27题解析

初中数学精品资料

七年级数学资料

七年级下册:不等式组结合方程组常见模型

2025绵阳七校联考七年级数学上册期末卷

作辅助线解决平行线中的拐点问题

上海市浦东七年级上学期期末数学卷

相交线和平行线 重难点解题模型

七年级数学上册期末真题专项训练(二)

七年级数学上册期末测试卷一

《几何图形初步》选填题培优30题

七年级上册数轴上的动点难题解析

阶段提升:一元一次方程难题突破

七年级上学期期中考试数学试卷一

七年级数学上册选拔性测试卷二

新定义问题“t系补角”

平面直角坐标系中的动点问题(一)

德阳市旌阳区七下期末第25题解析

平面直角坐标系综合性考题1解析

七年级下册难题:三元一次方程组的解法

七年级下册:二元一次方程综合题解析

七年级:线段与动点、角的旋转八大题型

七年级数学:动角旋转问题36题

七年级数:线段中的动点问题

七年级数学:绝对值八大典型题型

七年级数学下册:解答题专项

七年级数学下册:平移的应用及综合考察

【七年级数学下册:旋转动态问题一

七年级数学下册视频:不等式与不等式组

七年级数学下册期中重点试题训练一

七年级数学下册经典百题(一)

七年级数学下册期中考试名校试卷!

初一数学难点解析:动点问题
初一数学难点解析:动点问题
初一数学难点:动点问题

八年级数学资料

八年级下册新增章节《函数》典型考题

2026年八年级核心考点小卷系列

2026人教版八年级下册重难点分析与学习策略

第30届世奥赛中国区八年级复赛第21题解析

广东A20联盟上学期八年级数学期末(一)

北京市海淀区上学期八年级期末数学试题

四川省凉山州八年级上学期期末数学试卷

二次根式 计算重难点化简求值重难点

完全平方公式及其变形模型

互为倒数或负倒数的代数式模型

八年级数学上册期末测试卷(一)

三角形和全等三角形动点压轴训练60题

八年级因式分解重点题型专项资料

数学模型||“婆罗摩笈多”模型

绵阳东辰八年级期中测试数学卷

八年级数学上册期中测试卷

培优必练||最值难题解析(三)

30届奥林匹克数学竞赛八年级初赛试卷

三角形旋转及四边形最值问题综合考察

正方形综合难题 第22题解析

初二数学:三角形经典模型解析

初二上册:《三角形》专项训练

八年级数学下册培优专项训练(一)

八年级数学上册期中诊断性测试卷

八年级上册难点:最短路径”

八年级下册解答题专项训练)

八年级数学《平行四边形》训练一

八年级数学上册《分式》典型考题一

四边形新定义综合题:“对余四边形”

2025年绵阳八年级下册期末数学卷

八年级数学“一线三直角”综合性难题,

八年级数学解析:一次函数难题

八年级最值问题专项训练

八年级数学上册期中诊断性测试卷

九年级数学资料

抚州市十三校联合体九年级二阶数学试题

2026 年九年级下册期中测试数学试题(一)

2026年重庆市高新区九年级模拟测试试题

2026年九年级第二学期数学质量调研(二)

天津市南开区九年级数学期末试题

北京市海淀区九年级上学期期末考试数学试题

九年级数学全国名校压轴题答案解析(一)

九年级上册数学期末测试卷(二)(含压轴题解析)

2026中考模拟

2026年深圳湾学校一模数学试题

2026年河南省郑州市中考数学模拟题

成都市石室天府中学中考数学模拟试题

2026年人大附中西山学校中考零模数学卷

2026成都市实验外国语学校一诊断数学题

2026年重庆巴蜀中学校水平考试数学试题(四)

2026长沙市雅礼教育中考一模数学试卷

2026年深圳市南山实验中考一模数学卷

2026年泸州初中学业水平适应性考试 数学

2026年南京市一中集团中考数学零模试卷

2026年中考数学综合提升小卷

2026年上海市中考一模原创数学模拟卷

“思齐杯”2026年初中学业水平模拟 (数学)

2026年重庆市中考模拟试卷

南京市2026年中考数学一模卷

2026中考绵阳涪城区一诊数学卷

2026年苏州市中考数学模拟预测题

2026年浙共体中考数学一模试卷

2026年初中数学学业水平考试模拟卷一

德阳中学2026年中考数学模拟试卷
2026年中考数学第一次模拟卷难题解析

2025中考数学压轴题解析

四川各地中考真题二次函数专项

2025年厦门市高中自主招生难题解析

2025年绵阳中考数学答案解析

2025年哈尔滨中考压轴27题解析

2025年哈尔滨中考压轴26题解析

2025南京中考数学难题解析

2025年甘孜州中考数学第27题解析

2025年甘孜州中考数学第28题解析

2025年淮安中考数学第26题解析

2025年淮安中考数学第27题解析

2025年盐城中考数学第26题解析

2025年盐城中考数学第27题解析

2025年镇江中考数学第26题解析

2025年西藏中考数学第26题解析

2025年西宁市中考数学第26题解析

2025年巴中市中考数学第23题解析

2025年巴中市中考数学第24题解析

2025年海南中考数学第22题解析

2025年海南中考数学第21题解析

2025年无锡中考数学第28题解析

2025年无锡中考数学第10题解析

2025年徐州中考数学第28题解析

2025年济南中考数学第23题解析

2025年济南中考数学第24题解析

2025年济南中考数学第25题解析

2025年潍坊中考数学第22题解析

2025年南通中考数学第25题解析

2025年南通中考数学第26题解析

2025年宁夏中考数学第26题解析

2025年常州市中考数学第27题解析

2025年广元市中考数学第25题解析

2025年广州市中考数学第25题解析

2025年青岛市中考数学第25题解析

2025年乐山市中考数学第26题解析

2025年兰州市中考数学第26题解析

2025年青海省中考数学第25题解析

2025年青海省中考数学第24题解析

2025年长春市中考数学第23题详解

2025年辽宁省中考第22题解析

2025年辽宁省中考第23题解析

2025年贵州省中考数学第25题解析

2025年贵州省中考数学第16题解析

2025年长沙市中考数学第24题详解

2025年广东省中考数学第22题详解

2025年广东省中考数学第23题详解

2025年北京中考压轴第28题解析

2025北京中考第8题解析

2025北京中考第24题解析

2025年深圳中考数学压轴题解析

2025深圳中考填空第13题解析

2025年吉林省中考数学压轴详解

2025年内蒙古中考压轴题解析

2025年齐齐哈尔市中考数学第23题

2025年广西省中考数学压轴题解题

2025威海市中考数学压轴题解析

2025年浙江中考数学压轴题解析

2025浙江中考选择第10题解析

2025年天津中考压轴题解析

2025凉山州中考数学压轴题详解.

2025福建中考数学压轴题详解

2025年云南中考数学压轴大题详解

2025成都中考数学压轴大题详解

2025重庆中考数学压轴大题详解

2025上海中考数学压轴大题详解.

2025烟台中考数学压轴大题详解

2025泸州中考数学第24题压详解

2025达州中考数学第24题详解

2025年眉山市中考数学压轴题解析

更新中.........

2025中考真题

2025年中考数学真题汇总

2025年绵阳中考数学试卷

2025年绵阳市中考英语真题

2025年甘孜州中考数学试卷

2025年长沙市中考数学试

2025年广东省中考数学真题

2025年吉林省中考数学真题

2025年北京市中考数学真题

2025年内蒙古中考数学真题

2025年深圳市中考数学试题

2025年陕西省中考数学试题

2025年南京市中考数学试题

2025年山西省中考数学试题

2025年天津市中考数学试卷

2025年湖北省中考数学试卷

2025年浙江省中考数学试卷

2025年河南省中考数学试卷

2025年河北省中考数学试卷

2025年眉山中考数学试题

2025年新疆中考数学试题

2025年湖南省中考数学试题

2025年宜宾市中考数学试题

2025年德阳市中考数学试题

2025苏州市中考数学试卷

2025扬州市中考数学试卷

2025年江西省中考数学试题

2025年山东省中考数学试卷

2025年安徽省中考数学试题

2025年云南省中考数学真题

2025年广安市中考数学试题

2025连云港市中考数学试题

2025年遂宁市中考数学真题

2025年内江市中考数学真题

2025年成都市中考数学试题

2025四川凉山州中考数学真题

2025年自贡中考数学真题卷

2025年重庆市中考数学真题卷

2025年甘肃武威中考数学试题

更新中.........

中考数学最值微课

中考最值八构建“全等”求最值
中考最值七绵阳三模第24题解析
中考最值六:构建“相似”求最值
中考最值五:两线段乘积的最大值
中考最值四:“胡不归”求最值问题
中考最值三:配方法或瓜豆原理求最值
中考最值二:米勒定理的应用
中考最值一:双动点运动的最值问题

更新中.........

中考数学知识拓展

二次函数综合之胡不归问题模型
中考热点题型(二)共40题
中考热点题型(一)共75题
中考热点题型(三)共24题
中考热点题型(四)共30题
中考热点题型(五)共30题
2026年初中数学学业水平考试模拟卷(一)
《反比例函数》综合考察专项试题一
《正多边形和圆》专项训练25题
九年级上册期中数学测试卷
《旋转》选择题和填空题培优专项
中考数学:"婆罗摩笈多模型"
中考数学:阿基米德折弦定理专
中考数学:"托勒密定理"专项
中考数学难点:"瓜豆原理"专项
中考数学难点:“胡不归”专项
中考数学难点:“阿氏圆”专项
中考数学:选择题和填空题压轴专项
中考热点:二次函数与几何图形的综合
中考热点:相似三角形模型及其综合
绵阳中考数学近五年压轴解题情况汇总
中考热点:相似和四边形综合
中考角度:旋转典型考题及解析
2024年中考数学真题分类专项:二次函数
中考数学专题:二次函数中的角度问题
中考考点真题训练:一次函数的实际应用

更新中.......

最新文章

随机文章

基本 文件 流程 错误 SQL 调试
  1. 请求信息 : 2026-04-24 07:48:51 HTTP/2.0 GET : https://b.460.net.cn/a/528686.html
  2. 运行时间 : 0.218231s [ 吞吐率:4.58req/s ] 内存消耗:4,550.91kb 文件加载:140
  3. 缓存信息 : 0 reads,0 writes
  4. 会话信息 : SESSION_ID=9d9cf66aefac62dbe9fbd720cf7f122b
  1. /yingpanguazai/ssd/ssd1/www/b.460.net.cn/public/index.php ( 0.79 KB )
  2. /yingpanguazai/ssd/ssd1/www/b.460.net.cn/vendor/autoload.php ( 0.17 KB )
  3. /yingpanguazai/ssd/ssd1/www/b.460.net.cn/vendor/composer/autoload_real.php ( 2.49 KB )
  4. /yingpanguazai/ssd/ssd1/www/b.460.net.cn/vendor/composer/platform_check.php ( 0.90 KB )
  5. /yingpanguazai/ssd/ssd1/www/b.460.net.cn/vendor/composer/ClassLoader.php ( 14.03 KB )
  6. /yingpanguazai/ssd/ssd1/www/b.460.net.cn/vendor/composer/autoload_static.php ( 4.90 KB )
  7. /yingpanguazai/ssd/ssd1/www/b.460.net.cn/vendor/topthink/think-helper/src/helper.php ( 8.34 KB )
  8. /yingpanguazai/ssd/ssd1/www/b.460.net.cn/vendor/topthink/think-validate/src/helper.php ( 2.19 KB )
  9. /yingpanguazai/ssd/ssd1/www/b.460.net.cn/vendor/topthink/think-orm/src/helper.php ( 1.47 KB )
  10. /yingpanguazai/ssd/ssd1/www/b.460.net.cn/vendor/topthink/think-orm/stubs/load_stubs.php ( 0.16 KB )
  11. /yingpanguazai/ssd/ssd1/www/b.460.net.cn/vendor/topthink/framework/src/think/Exception.php ( 1.69 KB )
  12. /yingpanguazai/ssd/ssd1/www/b.460.net.cn/vendor/topthink/think-container/src/Facade.php ( 2.71 KB )
  13. /yingpanguazai/ssd/ssd1/www/b.460.net.cn/vendor/symfony/deprecation-contracts/function.php ( 0.99 KB )
  14. /yingpanguazai/ssd/ssd1/www/b.460.net.cn/vendor/symfony/polyfill-mbstring/bootstrap.php ( 8.26 KB )
  15. /yingpanguazai/ssd/ssd1/www/b.460.net.cn/vendor/symfony/polyfill-mbstring/bootstrap80.php ( 9.78 KB )
  16. /yingpanguazai/ssd/ssd1/www/b.460.net.cn/vendor/symfony/var-dumper/Resources/functions/dump.php ( 1.49 KB )
  17. /yingpanguazai/ssd/ssd1/www/b.460.net.cn/vendor/topthink/think-dumper/src/helper.php ( 0.18 KB )
  18. /yingpanguazai/ssd/ssd1/www/b.460.net.cn/vendor/symfony/var-dumper/VarDumper.php ( 4.30 KB )
  19. /yingpanguazai/ssd/ssd1/www/b.460.net.cn/vendor/topthink/framework/src/think/App.php ( 15.30 KB )
  20. /yingpanguazai/ssd/ssd1/www/b.460.net.cn/vendor/topthink/think-container/src/Container.php ( 15.76 KB )
  21. /yingpanguazai/ssd/ssd1/www/b.460.net.cn/vendor/psr/container/src/ContainerInterface.php ( 1.02 KB )
  22. /yingpanguazai/ssd/ssd1/www/b.460.net.cn/app/provider.php ( 0.19 KB )
  23. /yingpanguazai/ssd/ssd1/www/b.460.net.cn/vendor/topthink/framework/src/think/Http.php ( 6.04 KB )
  24. /yingpanguazai/ssd/ssd1/www/b.460.net.cn/vendor/topthink/think-helper/src/helper/Str.php ( 7.29 KB )
  25. /yingpanguazai/ssd/ssd1/www/b.460.net.cn/vendor/topthink/framework/src/think/Env.php ( 4.68 KB )
  26. /yingpanguazai/ssd/ssd1/www/b.460.net.cn/app/common.php ( 0.03 KB )
  27. /yingpanguazai/ssd/ssd1/www/b.460.net.cn/vendor/topthink/framework/src/helper.php ( 18.78 KB )
  28. /yingpanguazai/ssd/ssd1/www/b.460.net.cn/vendor/topthink/framework/src/think/Config.php ( 5.54 KB )
  29. /yingpanguazai/ssd/ssd1/www/b.460.net.cn/config/app.php ( 0.95 KB )
  30. /yingpanguazai/ssd/ssd1/www/b.460.net.cn/config/cache.php ( 0.78 KB )
  31. /yingpanguazai/ssd/ssd1/www/b.460.net.cn/config/console.php ( 0.23 KB )
  32. /yingpanguazai/ssd/ssd1/www/b.460.net.cn/config/cookie.php ( 0.56 KB )
  33. /yingpanguazai/ssd/ssd1/www/b.460.net.cn/config/database.php ( 2.47 KB )
  34. /yingpanguazai/ssd/ssd1/www/b.460.net.cn/vendor/topthink/framework/src/think/facade/Env.php ( 1.67 KB )
  35. /yingpanguazai/ssd/ssd1/www/b.460.net.cn/config/filesystem.php ( 0.61 KB )
  36. /yingpanguazai/ssd/ssd1/www/b.460.net.cn/config/lang.php ( 0.91 KB )
  37. /yingpanguazai/ssd/ssd1/www/b.460.net.cn/config/log.php ( 1.35 KB )
  38. /yingpanguazai/ssd/ssd1/www/b.460.net.cn/config/middleware.php ( 0.19 KB )
  39. /yingpanguazai/ssd/ssd1/www/b.460.net.cn/config/route.php ( 1.89 KB )
  40. /yingpanguazai/ssd/ssd1/www/b.460.net.cn/config/session.php ( 0.57 KB )
  41. /yingpanguazai/ssd/ssd1/www/b.460.net.cn/config/trace.php ( 0.34 KB )
  42. /yingpanguazai/ssd/ssd1/www/b.460.net.cn/config/view.php ( 0.82 KB )
  43. /yingpanguazai/ssd/ssd1/www/b.460.net.cn/app/event.php ( 0.25 KB )
  44. /yingpanguazai/ssd/ssd1/www/b.460.net.cn/vendor/topthink/framework/src/think/Event.php ( 7.67 KB )
  45. /yingpanguazai/ssd/ssd1/www/b.460.net.cn/app/service.php ( 0.13 KB )
  46. /yingpanguazai/ssd/ssd1/www/b.460.net.cn/app/AppService.php ( 0.26 KB )
  47. /yingpanguazai/ssd/ssd1/www/b.460.net.cn/vendor/topthink/framework/src/think/Service.php ( 1.64 KB )
  48. /yingpanguazai/ssd/ssd1/www/b.460.net.cn/vendor/topthink/framework/src/think/Lang.php ( 7.35 KB )
  49. /yingpanguazai/ssd/ssd1/www/b.460.net.cn/vendor/topthink/framework/src/lang/zh-cn.php ( 13.70 KB )
  50. /yingpanguazai/ssd/ssd1/www/b.460.net.cn/vendor/topthink/framework/src/think/initializer/Error.php ( 3.31 KB )
  51. /yingpanguazai/ssd/ssd1/www/b.460.net.cn/vendor/topthink/framework/src/think/initializer/RegisterService.php ( 1.33 KB )
  52. /yingpanguazai/ssd/ssd1/www/b.460.net.cn/vendor/services.php ( 0.14 KB )
  53. /yingpanguazai/ssd/ssd1/www/b.460.net.cn/vendor/topthink/framework/src/think/service/PaginatorService.php ( 1.52 KB )
  54. /yingpanguazai/ssd/ssd1/www/b.460.net.cn/vendor/topthink/framework/src/think/service/ValidateService.php ( 0.99 KB )
  55. /yingpanguazai/ssd/ssd1/www/b.460.net.cn/vendor/topthink/framework/src/think/service/ModelService.php ( 2.04 KB )
  56. /yingpanguazai/ssd/ssd1/www/b.460.net.cn/vendor/topthink/think-trace/src/Service.php ( 0.77 KB )
  57. /yingpanguazai/ssd/ssd1/www/b.460.net.cn/vendor/topthink/framework/src/think/Middleware.php ( 6.72 KB )
  58. /yingpanguazai/ssd/ssd1/www/b.460.net.cn/vendor/topthink/framework/src/think/initializer/BootService.php ( 0.77 KB )
  59. /yingpanguazai/ssd/ssd1/www/b.460.net.cn/vendor/topthink/think-orm/src/Paginator.php ( 11.86 KB )
  60. /yingpanguazai/ssd/ssd1/www/b.460.net.cn/vendor/topthink/think-validate/src/Validate.php ( 63.20 KB )
  61. /yingpanguazai/ssd/ssd1/www/b.460.net.cn/vendor/topthink/think-orm/src/Model.php ( 23.55 KB )
  62. /yingpanguazai/ssd/ssd1/www/b.460.net.cn/vendor/topthink/think-orm/src/model/concern/Attribute.php ( 21.05 KB )
  63. /yingpanguazai/ssd/ssd1/www/b.460.net.cn/vendor/topthink/think-orm/src/model/concern/AutoWriteData.php ( 4.21 KB )
  64. /yingpanguazai/ssd/ssd1/www/b.460.net.cn/vendor/topthink/think-orm/src/model/concern/Conversion.php ( 6.44 KB )
  65. /yingpanguazai/ssd/ssd1/www/b.460.net.cn/vendor/topthink/think-orm/src/model/concern/DbConnect.php ( 5.16 KB )
  66. /yingpanguazai/ssd/ssd1/www/b.460.net.cn/vendor/topthink/think-orm/src/model/concern/ModelEvent.php ( 2.33 KB )
  67. /yingpanguazai/ssd/ssd1/www/b.460.net.cn/vendor/topthink/think-orm/src/model/concern/RelationShip.php ( 28.29 KB )
  68. /yingpanguazai/ssd/ssd1/www/b.460.net.cn/vendor/topthink/think-helper/src/contract/Arrayable.php ( 0.09 KB )
  69. /yingpanguazai/ssd/ssd1/www/b.460.net.cn/vendor/topthink/think-helper/src/contract/Jsonable.php ( 0.13 KB )
  70. /yingpanguazai/ssd/ssd1/www/b.460.net.cn/vendor/topthink/think-orm/src/model/contract/Modelable.php ( 0.09 KB )
  71. /yingpanguazai/ssd/ssd1/www/b.460.net.cn/vendor/topthink/framework/src/think/Db.php ( 2.88 KB )
  72. /yingpanguazai/ssd/ssd1/www/b.460.net.cn/vendor/topthink/think-orm/src/DbManager.php ( 8.52 KB )
  73. /yingpanguazai/ssd/ssd1/www/b.460.net.cn/vendor/topthink/framework/src/think/Log.php ( 6.28 KB )
  74. /yingpanguazai/ssd/ssd1/www/b.460.net.cn/vendor/topthink/framework/src/think/Manager.php ( 3.92 KB )
  75. /yingpanguazai/ssd/ssd1/www/b.460.net.cn/vendor/psr/log/src/LoggerTrait.php ( 2.69 KB )
  76. /yingpanguazai/ssd/ssd1/www/b.460.net.cn/vendor/psr/log/src/LoggerInterface.php ( 2.71 KB )
  77. /yingpanguazai/ssd/ssd1/www/b.460.net.cn/vendor/topthink/framework/src/think/Cache.php ( 4.92 KB )
  78. /yingpanguazai/ssd/ssd1/www/b.460.net.cn/vendor/psr/simple-cache/src/CacheInterface.php ( 4.71 KB )
  79. /yingpanguazai/ssd/ssd1/www/b.460.net.cn/vendor/topthink/think-helper/src/helper/Arr.php ( 16.63 KB )
  80. /yingpanguazai/ssd/ssd1/www/b.460.net.cn/vendor/topthink/framework/src/think/cache/driver/File.php ( 7.84 KB )
  81. /yingpanguazai/ssd/ssd1/www/b.460.net.cn/vendor/topthink/framework/src/think/cache/Driver.php ( 9.03 KB )
  82. /yingpanguazai/ssd/ssd1/www/b.460.net.cn/vendor/topthink/framework/src/think/contract/CacheHandlerInterface.php ( 1.99 KB )
  83. /yingpanguazai/ssd/ssd1/www/b.460.net.cn/app/Request.php ( 0.09 KB )
  84. /yingpanguazai/ssd/ssd1/www/b.460.net.cn/vendor/topthink/framework/src/think/Request.php ( 55.78 KB )
  85. /yingpanguazai/ssd/ssd1/www/b.460.net.cn/app/middleware.php ( 0.25 KB )
  86. /yingpanguazai/ssd/ssd1/www/b.460.net.cn/vendor/topthink/framework/src/think/Pipeline.php ( 2.61 KB )
  87. /yingpanguazai/ssd/ssd1/www/b.460.net.cn/vendor/topthink/think-trace/src/TraceDebug.php ( 3.40 KB )
  88. /yingpanguazai/ssd/ssd1/www/b.460.net.cn/vendor/topthink/framework/src/think/middleware/SessionInit.php ( 1.94 KB )
  89. /yingpanguazai/ssd/ssd1/www/b.460.net.cn/vendor/topthink/framework/src/think/Session.php ( 1.80 KB )
  90. /yingpanguazai/ssd/ssd1/www/b.460.net.cn/vendor/topthink/framework/src/think/session/driver/File.php ( 6.27 KB )
  91. /yingpanguazai/ssd/ssd1/www/b.460.net.cn/vendor/topthink/framework/src/think/contract/SessionHandlerInterface.php ( 0.87 KB )
  92. /yingpanguazai/ssd/ssd1/www/b.460.net.cn/vendor/topthink/framework/src/think/session/Store.php ( 7.12 KB )
  93. /yingpanguazai/ssd/ssd1/www/b.460.net.cn/vendor/topthink/framework/src/think/Route.php ( 23.73 KB )
  94. /yingpanguazai/ssd/ssd1/www/b.460.net.cn/vendor/topthink/framework/src/think/route/RuleName.php ( 5.75 KB )
  95. /yingpanguazai/ssd/ssd1/www/b.460.net.cn/vendor/topthink/framework/src/think/route/Domain.php ( 2.53 KB )
  96. /yingpanguazai/ssd/ssd1/www/b.460.net.cn/vendor/topthink/framework/src/think/route/RuleGroup.php ( 22.43 KB )
  97. /yingpanguazai/ssd/ssd1/www/b.460.net.cn/vendor/topthink/framework/src/think/route/Rule.php ( 26.95 KB )
  98. /yingpanguazai/ssd/ssd1/www/b.460.net.cn/vendor/topthink/framework/src/think/route/RuleItem.php ( 9.78 KB )
  99. /yingpanguazai/ssd/ssd1/www/b.460.net.cn/route/app.php ( 1.72 KB )
  100. /yingpanguazai/ssd/ssd1/www/b.460.net.cn/vendor/topthink/framework/src/think/facade/Route.php ( 4.70 KB )
  101. /yingpanguazai/ssd/ssd1/www/b.460.net.cn/vendor/topthink/framework/src/think/route/dispatch/Controller.php ( 4.74 KB )
  102. /yingpanguazai/ssd/ssd1/www/b.460.net.cn/vendor/topthink/framework/src/think/route/Dispatch.php ( 10.44 KB )
  103. /yingpanguazai/ssd/ssd1/www/b.460.net.cn/app/controller/Index.php ( 4.81 KB )
  104. /yingpanguazai/ssd/ssd1/www/b.460.net.cn/app/BaseController.php ( 2.05 KB )
  105. /yingpanguazai/ssd/ssd1/www/b.460.net.cn/vendor/topthink/think-orm/src/facade/Db.php ( 0.93 KB )
  106. /yingpanguazai/ssd/ssd1/www/b.460.net.cn/vendor/topthink/think-orm/src/db/connector/Mysql.php ( 5.44 KB )
  107. /yingpanguazai/ssd/ssd1/www/b.460.net.cn/vendor/topthink/think-orm/src/db/PDOConnection.php ( 52.47 KB )
  108. /yingpanguazai/ssd/ssd1/www/b.460.net.cn/vendor/topthink/think-orm/src/db/Connection.php ( 8.39 KB )
  109. /yingpanguazai/ssd/ssd1/www/b.460.net.cn/vendor/topthink/think-orm/src/db/ConnectionInterface.php ( 4.57 KB )
  110. /yingpanguazai/ssd/ssd1/www/b.460.net.cn/vendor/topthink/think-orm/src/db/builder/Mysql.php ( 16.58 KB )
  111. /yingpanguazai/ssd/ssd1/www/b.460.net.cn/vendor/topthink/think-orm/src/db/Builder.php ( 24.06 KB )
  112. /yingpanguazai/ssd/ssd1/www/b.460.net.cn/vendor/topthink/think-orm/src/db/BaseBuilder.php ( 27.50 KB )
  113. /yingpanguazai/ssd/ssd1/www/b.460.net.cn/vendor/topthink/think-orm/src/db/Query.php ( 15.71 KB )
  114. /yingpanguazai/ssd/ssd1/www/b.460.net.cn/vendor/topthink/think-orm/src/db/BaseQuery.php ( 45.13 KB )
  115. /yingpanguazai/ssd/ssd1/www/b.460.net.cn/vendor/topthink/think-orm/src/db/concern/TimeFieldQuery.php ( 7.43 KB )
  116. /yingpanguazai/ssd/ssd1/www/b.460.net.cn/vendor/topthink/think-orm/src/db/concern/AggregateQuery.php ( 3.26 KB )
  117. /yingpanguazai/ssd/ssd1/www/b.460.net.cn/vendor/topthink/think-orm/src/db/concern/ModelRelationQuery.php ( 20.07 KB )
  118. /yingpanguazai/ssd/ssd1/www/b.460.net.cn/vendor/topthink/think-orm/src/db/concern/ParamsBind.php ( 3.66 KB )
  119. /yingpanguazai/ssd/ssd1/www/b.460.net.cn/vendor/topthink/think-orm/src/db/concern/ResultOperation.php ( 7.01 KB )
  120. /yingpanguazai/ssd/ssd1/www/b.460.net.cn/vendor/topthink/think-orm/src/db/concern/WhereQuery.php ( 19.37 KB )
  121. /yingpanguazai/ssd/ssd1/www/b.460.net.cn/vendor/topthink/think-orm/src/db/concern/JoinAndViewQuery.php ( 7.11 KB )
  122. /yingpanguazai/ssd/ssd1/www/b.460.net.cn/vendor/topthink/think-orm/src/db/concern/TableFieldInfo.php ( 2.63 KB )
  123. /yingpanguazai/ssd/ssd1/www/b.460.net.cn/vendor/topthink/think-orm/src/db/concern/Transaction.php ( 2.77 KB )
  124. /yingpanguazai/ssd/ssd1/www/b.460.net.cn/vendor/topthink/framework/src/think/log/driver/File.php ( 5.96 KB )
  125. /yingpanguazai/ssd/ssd1/www/b.460.net.cn/vendor/topthink/framework/src/think/contract/LogHandlerInterface.php ( 0.86 KB )
  126. /yingpanguazai/ssd/ssd1/www/b.460.net.cn/vendor/topthink/framework/src/think/log/Channel.php ( 3.89 KB )
  127. /yingpanguazai/ssd/ssd1/www/b.460.net.cn/vendor/topthink/framework/src/think/event/LogRecord.php ( 1.02 KB )
  128. /yingpanguazai/ssd/ssd1/www/b.460.net.cn/vendor/topthink/think-helper/src/Collection.php ( 16.47 KB )
  129. /yingpanguazai/ssd/ssd1/www/b.460.net.cn/vendor/topthink/framework/src/think/facade/View.php ( 1.70 KB )
  130. /yingpanguazai/ssd/ssd1/www/b.460.net.cn/vendor/topthink/framework/src/think/View.php ( 4.39 KB )
  131. /yingpanguazai/ssd/ssd1/www/b.460.net.cn/vendor/topthink/framework/src/think/Response.php ( 8.81 KB )
  132. /yingpanguazai/ssd/ssd1/www/b.460.net.cn/vendor/topthink/framework/src/think/response/View.php ( 3.29 KB )
  133. /yingpanguazai/ssd/ssd1/www/b.460.net.cn/vendor/topthink/framework/src/think/Cookie.php ( 6.06 KB )
  134. /yingpanguazai/ssd/ssd1/www/b.460.net.cn/vendor/topthink/think-view/src/Think.php ( 8.38 KB )
  135. /yingpanguazai/ssd/ssd1/www/b.460.net.cn/vendor/topthink/framework/src/think/contract/TemplateHandlerInterface.php ( 1.60 KB )
  136. /yingpanguazai/ssd/ssd1/www/b.460.net.cn/vendor/topthink/think-template/src/Template.php ( 46.61 KB )
  137. /yingpanguazai/ssd/ssd1/www/b.460.net.cn/vendor/topthink/think-template/src/template/driver/File.php ( 2.41 KB )
  138. /yingpanguazai/ssd/ssd1/www/b.460.net.cn/vendor/topthink/think-template/src/template/contract/DriverInterface.php ( 0.86 KB )
  139. /yingpanguazai/ssd/ssd1/www/b.460.net.cn/runtime/temp/b35eef690f41e64ad9e1c098cfc7d3bc.php ( 11.98 KB )
  140. /yingpanguazai/ssd/ssd1/www/b.460.net.cn/vendor/topthink/think-trace/src/Html.php ( 4.42 KB )
  1. CONNECT:[ UseTime:0.000687s ] mysql:host=127.0.0.1;port=3306;dbname=b460;charset=utf8mb4
  2. SHOW FULL COLUMNS FROM `fenlei` [ RunTime:0.001106s ]
  3. SELECT * FROM `fenlei` WHERE `fid` = 0 [ RunTime:0.000640s ]
  4. SELECT * FROM `fenlei` WHERE `fid` = 63 [ RunTime:0.000681s ]
  5. SHOW FULL COLUMNS FROM `set` [ RunTime:0.001051s ]
  6. SELECT * FROM `set` [ RunTime:0.000437s ]
  7. SHOW FULL COLUMNS FROM `article` [ RunTime:0.001217s ]
  8. SELECT * FROM `article` WHERE `id` = 528686 LIMIT 1 [ RunTime:0.003338s ]
  9. UPDATE `article` SET `lasttime` = 1776988131 WHERE `id` = 528686 [ RunTime:0.001109s ]
  10. SELECT * FROM `fenlei` WHERE `id` = 65 LIMIT 1 [ RunTime:0.003239s ]
  11. SELECT * FROM `article` WHERE `id` < 528686 ORDER BY `id` DESC LIMIT 1 [ RunTime:0.001492s ]
  12. SELECT * FROM `article` WHERE `id` > 528686 ORDER BY `id` ASC LIMIT 1 [ RunTime:0.006184s ]
  13. SELECT * FROM `article` WHERE `id` < 528686 ORDER BY `id` DESC LIMIT 10 [ RunTime:0.017581s ]
  14. SELECT * FROM `article` WHERE `id` < 528686 ORDER BY `id` DESC LIMIT 10,10 [ RunTime:0.003121s ]
  15. SELECT * FROM `article` WHERE `id` < 528686 ORDER BY `id` DESC LIMIT 20,10 [ RunTime:0.003249s ]
0.221259s