本公众号旨在用最优质的方法解析全国各地重大数学考试,分享最新优质的高中资料,同时精选每日一题(一模二模三模考试也包括高考数学),破解“选择填空解答题的压轴题”,如果你想第一时间接收该公众号的消息,记得关注本公众号,具体操作如下:
第一步,点击顶部蓝字数学探秘园
第二步,关注公众号
第三步,点击右上角【···】
第四步,点击【设为星标】
若数学成绩维持在100~130分,但很难突破130分,想要提升数学成绩的可单独私信我,线上拔尖培优小班期待你的加入 课堂干货满满,学生好评如潮,想了解往届学生成绩和评价也可以点开下方的推文了解详情,或直接添加我的微信与我沟通😊
高考总分690?数学超常发挥143!来看看我的2024届优秀学生是如何做到的!
全省总分排名440?录取复旦大学!出生于大山的孩子,如何顶住压力改变命运实现高考逆袭?来看看我的2024届优秀学生是如何做到的!
在2025届拔尖班 我们压到了很多高考原题
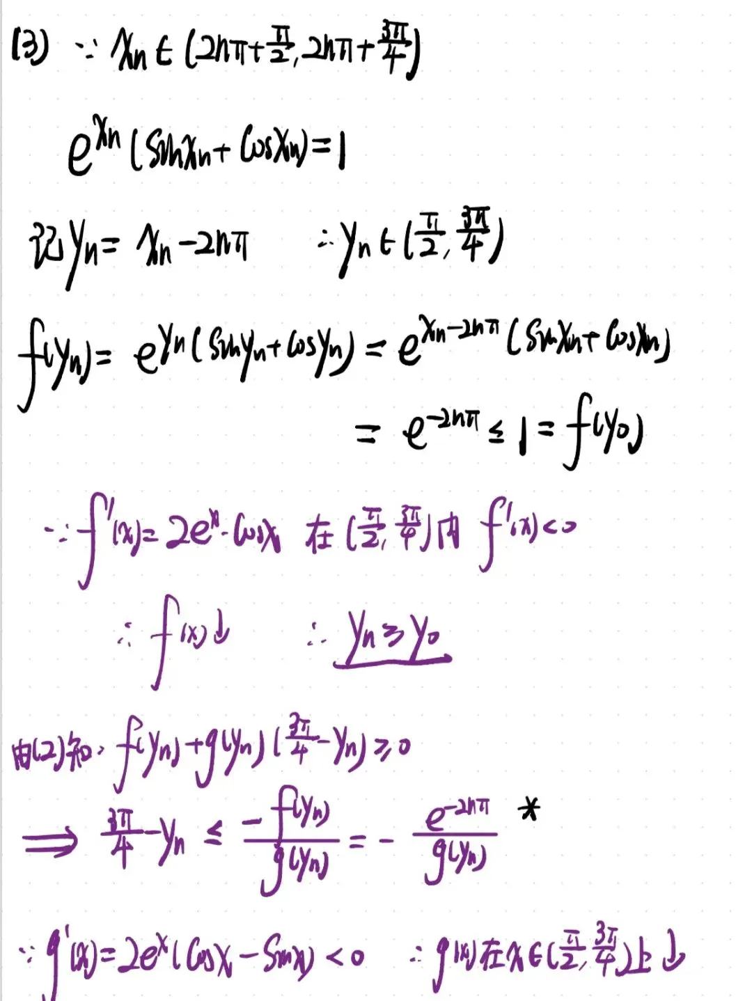
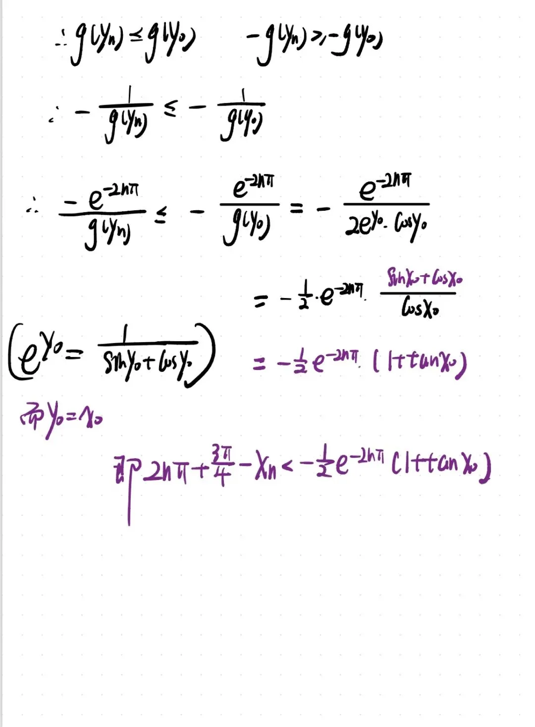
今天上课给学生讲到江苏盐城一模压轴题 题源来自于2019天津卷 我们一起来回顾一下这道经典而优雅的压轴题!








你学会了吗?
寒假课程火热预订中:有意向欢迎咨询➕V:math_zj



课程咨询欢迎➕v:math_zj 精品的拔尖录播课 也欢迎购买!
欢迎各位数学爱好者入群探讨交流,群内会上传最新的资料,分享最新最优质的名校试题,也欢迎各位探讨数学问题
感谢您的点赞,关注与喜欢💗