
鼠鼠先给大家发个福利→临床科研必备!16节科研课+5本数据挖掘电子书+R包0元免费领!
这篇文章是在2025年12月31日,由苏州市立医院周大勇团队使用CHARLS数据库,发表在期刊《Cardiovascular Diabetology》(医学一区,IF=10.6)的题为:“Association between combined atherogenic and frailty index and cardiovascular events: evidence from the CHARLS cohort”的研究论文,旨在探讨血浆致动脉粥样硬化指数(AIP)与衰弱指数(FI)结合形成的复合指标(AIP-FI),与心血管疾病(CVD)、中风和心脏病发病风险之间的关联。

标题:血浆致动脉粥样硬化指数 - 衰弱指数与心血管事件的关联:基于CHARLS队列的研究
发表期刊:Cardiovascular Diabetology
发表时间:2025年12月31日
影响因子:10.6/Q1
研究背景
心血管疾病是全球死亡和残疾的主要原因,患病率与死亡率持续攀升。传统风险因素难以全面涵盖代谢紊乱和多系统生理失调的影响,多维生物标志物成为研究热点。AIP是脂质代谢失衡与动脉粥样硬化的敏感指标,FI反映生理储备下降与健康缺陷累积,二者均与心血管结局相关,但联合影响尚未明确,构建AIP-FI复合指标可为风险评估提供新方向。
数据来源
研究数据源自中国健康与养老追踪调查(CHARLS),该调查是针对45岁及以上中老年人的全国代表性前瞻性研究。基线调查于2011年开展,涵盖150个县/区的约17700名参与者,截至2020年完成5轮随访。经排除基线患病、数据缺失等情况后,最终纳入6896名符合条件的参与者进行分析。

研究思路
采用前瞻性队列研究设计,通过标准化问卷、人体测量和实验室检测收集相关数据。计算AIP(甘油三酯与高密度脂蛋白胆固醇比值的对数)与FI(基于28项健康变量的缺陷评分),并以乘法模型构建AIP-FI复合指标。运用Cox比例风险模型、限制性立方样条分析探索其与心血管事件的关联,同时通过亚组和敏感性分析验证结果稳健性。
扫码添加小助手回复“文献”即可获得文献PDF等资料~



研究结果
1、研究人群基线特征
参与者平均年龄58.0±8.8岁,男女各占50.0%。AIP-FI四分位数越高,人群年龄越大、女性占比越高,高血压、糖尿病等基础病患病率更高,且BMI、血糖、血脂等指标更不理想,HDL-C水平更低。
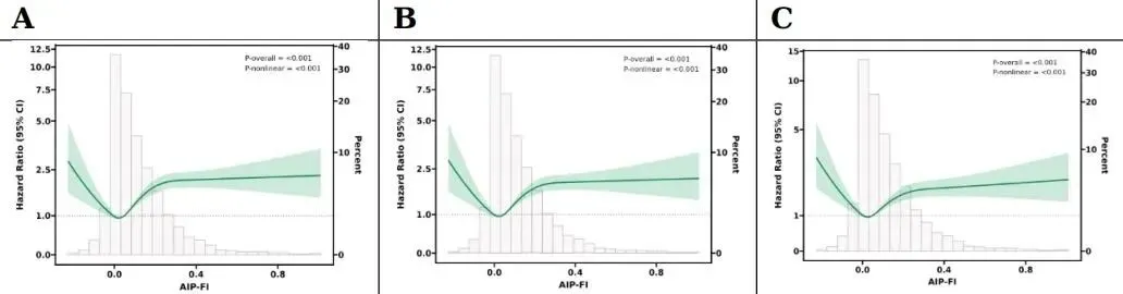
2、AIP-FI与心血管疾病(CVD)风险的关联
中位随访9年,23.9%的参与者发生CVD事件。完全调整后,AIP-FI每增加1单位,CVD 风险升高195%(HR=2.95);Q3、Q4组风险显著高于Q1组,且二者呈正非线性关系。

AIP-FI与心血管疾病CVD风险的限制性立方样条分析
3、AIP-FI与中风风险的关联
中风发生率为7.9%,AIP-FI每增加1单位,中风风险升高214%(HR=3.14)。四分位数分析显示风险呈梯度上升,限制性立方样条证实二者存在正非线性关联。

AIP-FI与中风风险的限制性立方样条分析
4、AIP-FI与心脏病风险的关联
心脏病发生率为18.6%,AIP-FI每增加1单位,心脏病风险升高172%(HR=2.72)。仅Q4组风险显著高于Q1组,且二者呈正非线性关系。

AIP-FI与心脏病发病风险的限制性立方样条分析
研究结论
AIP-FI作为整合代谢与生理衰弱状态的复合指标,与中国中老年人心血管疾病、中风和心脏病发病风险呈显著正非线性关联。该指标简单实用,可有效用于心血管风险分层,为早期识别高危人群、制定针对性预防干预策略提供重要参考,有望优化临床风险评估与防控体系。
家人们,鼠鼠跟你们说复现这篇血浆致动脉粥样硬化指数-衰弱指数(AIP-FI)与心血管事件的研究超清晰~先从CHARLS队列2011-2020数据里挑45岁以上、基线无CVD、中风和心脏病且有完整AIP、FI数据的参与者,把缺关键数据或年龄不达标的筛掉。计算AIP-FI作为暴露因素,以CVD、中风、心脏病发病为结局,用Cox回归分析两者关联,分模型调整人口学、生活方式、基础病等混杂因素。用限制性立方样条探索非线性关系,按性别、年龄、基础病等做亚组和交互分析,再通过排除缺失数据、非空腹参与者、死亡参与者等敏感性分析验证结果稳健,这样一套流程下来就复现啦~
这个选题思路很新颖,我们老师准备了很多top选题和设计方案,有兴趣的老师可以联系袋鼠科研辅导,获取免费方案!
牛!IF10.6!42天斩获1区TOP!中国医学科学院阜外医院:较低的eGDR水平与非糖尿病参与者心血管疾病发作风险增加相关
妙哇!IF10.6!简单好学的思路轻松发一区TOP!安徽医科大学:AIP及其肥胖相关衍生指标与心血管疾病之间的累积变化之间的关联

想上车公共数据库挖掘分析但自己不会数据分析没空学统计?创新性选题找不到合适方向?
袋鼠团队这里有专业老师1V1服务,生信分析、思路设计、项目评估、这里统统都有,全方面助力每一个科研梦想!

部分资深导师阵容,均来自国内外顶尖学者


