根据工作需要,江苏法院面向社会公开招聘聘用制书记员202名。现将有关事项公告如下:
(一)报考具体条件及要求
1.具有中华人民共和国国籍;
2.拥护中华人民共和国宪法,拥护中国共产党领导和社会主义制度;
3.具有大专及以上文化程度(各招聘法院具体学历、专业等要求详见职位表);
4.具有良好的政治素质和道德品行;
5.具有正常履行职责的身体条件和心理素质;
6.满足招聘法院的年龄及其他要求(详见职位表);
7.不得报考:
(1)曾因犯罪受过刑事处罚的;
(2)曾被开除公职的;
(3)涉嫌违法违纪正在接受审查,尚未作出结论的;
(4)被依法列为失信联合惩戒对象的;
(5)因其他原因不适合在人民法院工作的。
(二)报考者应当如实填写与招聘法院工作人员是否存在亲属关系,参照《公务员法》第七十四条相关规定,不得报考聘用后即构成任职回避的职位,也不得报考与本人有夫妻关系、直系血亲关系、三代以内旁系血亲关系以及近姻亲关系的人员担任领导成员的用人单位的职位。
(三)报考者本人如担任律师,且未在聘用公示之日起三十日内完成执业证件注销手续的,将取消报考资格或者终止聘用程序;如配偶、父母、子女担任本人报考法院辖区内律师事务所的合伙人、设立人,或在法院辖区内以律师身份担任诉讼代理人、辩护人,为诉讼案件当事人提供其他有偿法律服务的,配偶、父母、子女未在报考者聘用公示之日起三十日内完成执业回避手续的,将取消报考资格或者终止聘用程序。
本次招聘的报名、资格初审和缴费,通过网络同步进行。
(一)报名方式及时间
报名网址:https://jsfy.ksbm.com/。
报名时间:2026年2月3日9∶00至2月9日16∶00;
资格初审时间:2026年2月3日9∶00至2月11日16∶00;
陈述申辩时间:2026年2月3日9∶00至2月12日10∶00;
异议处理时间:2026年2月3日9∶00至2月12日14∶00;
缴费时间:2026年2月3日9∶00至2月12日16∶00。
报考者应当按照职位要求和网上报名系统提示,如实、准确、完整地填写有关信息,并上传本人近期免冠正面2寸电子证件照片(35×45毫米,jpg格式,大小在20kb以内)。
报考者提供虚假报考材料的,一经查实,即取消报考资格。对伪造、变造有关证件、材料、信息,骗取考试资格的,将按照有关规定严肃处理。
报考者网上提交报名信息48小时后,可在报名网站查询资格初审结果。如对初审意见有异议,请及时向招聘法院陈述申辩,联系方式可从招聘职位表中获取。通过资格初审的,不得再报考其他职位。报考者通过资格初审、照片审核后,在缴费截止时间前完成网上缴费,报名方为有效,逾期视为自动放弃报考资格,缴费状态以报名网站显示为准。
(二)报名注意事项
报考者在全省范围内只能选择一个职位报名,报名信息还应填写以下情况:参加速录技能考试时采用何种输入法、速录法(如:搜狗拼音、极点五笔、亚伟、E迅、飞耀等);是否服从地级市范围内相同报考条件的职位调剂。2026年2月3日9∶00至2月9日16∶00期间,报考者报考资格未经初审或者初审未通过的,可以改报其他职位;2月9日16∶00至2月11日16∶00期间,报考者报考资格未经初审或者初审未通过的,不能再更改报名信息,也不能再改报其他职位;报名时必须使用在有效期内的二代身份证。
资格审核工作贯穿招聘工作全过程。在招聘各环节发现报考者不符合报考资格条件的,将取消其报考资格、终止聘用程序。
各职位开考比例1∶3。报名结束后,有效报名人数与招聘人数之比小于开考比例的职位,由省法院按照规定程序核减聘用计划,直至取消该职位。报考被取消职位并完成缴费的人员,可在相关网站重新补报其他符合条件的职位,补报名时间为2026年2月13日9∶00至16∶00。
考试包括理论知识考试、速录技能考试和面试,分别占总分的30%、40%、30%。
(一)理论知识考试
报名确认成功的报考者于2026年3月上旬登录报名网站下载并打印理论知识考试准考证。理论知识考试时间拟于2026年3月7日进行,具体时间、地点详见准考证。
考试时间为120分钟,采用闭卷方式进行,包括客观题和主观题,主要考察考生的政治理论、法律常识和文字表达能力等,不指定参考用书。
报考者应当携带准考证和在有效期内的二代身份证,按照准考证上确定的时间和地点参加笔试。报考者参加考试时持有的身份证必须与报名时所使用的身份证姓名、公民身份号码相一致。
理论知识考试后,按择优原则(理论知识考试60分以上、与各职位招聘人数10∶1比例)确定参加速录技能人员。考试成绩可在报名网站查询。
(二)速录技能考试
进入速录技能考试的报考人员于2026年3月中旬登录报名网站下载并打印速录技能考试准考证。速录技能考试拟于2026年3月中下旬进行,具体时间、地点详见准考证。速录技能考试的形式为听打,听打2段录音,每段时长为10分钟,语速均为100字/分钟,根据准确率评分,并在2段录音成绩中择高分作为速录技能考试成绩。速录技能考试使用台式电脑、标准键盘,预装有极品五笔、极点五笔、王码五笔、万能五笔、搜狗五笔、智能ABC、微软全拼、搜狗拼音、百度拼音、QQ拼音、紫光拼音、谷歌拼音、亚伟、E迅等输入法、速录法。严禁考生携带U盘、光盘等外部存储设备现场自行安装输入法及词库。使用专业速录工具的请自备,现场因自带设备原因无法正常速录的,后果由考生自行承担。
速录技能考试后,按择优原则(在理论知识考试60分以上、速录技能考试准确率80%以上的人员中,按照与各职位招聘人数3∶1的比例,按理论知识分数的30%加上速录技能考试分数的40%计算成绩,从高至低排序)确定参加面试人员。考试成绩可在报名网站查询。
如出现某一职位无面试人选时,由省法院负责统一组织调剂。调剂将从所在地级市填选服从调剂、报考职位与调剂职位条件相一致、理论知识考试和速录技能考试均合格的考生中,按照与各职位招聘人数3∶1的比例,按理论知识分数的30%加上速录技能考试分数的40%计算成绩,从高至低确定面试人员。
(三)面试
面试拟于2026年3月下旬进行,面试名单、具体时间、地点详见报名网站。
面试前,招聘法院对面试人员进行资格复审。考生需携带身份证、学历证书、学位证书等相关材料的原件及复印件(2026年应届毕业生须携带学校在读证明或就业推荐表,有工作单位的须提供单位同意报考证明,有放宽年龄、学历或其他要求的须携带相关材料)参加资格复审。复审合格者领取面试通知书,复审不合格者取消面试资格,依次递补参加面试人员。
面试人员应当携带面试通知书和在有效期内的二代身份证,按照规定的时间、地点参加面试。
面试成绩合格线为60分,报考者面试成绩必须在60分以上,方可进入下一个招聘程序。
(四)总成绩计算方法
总成绩按照百分制计算,具体方法为:理论知识成绩占30%、速录技能考试成绩占40%、面试成绩占30%。理论知识、速录技能、面试成绩按照“四舍五入”保留两位小数。总成绩保留原始计算数值。
体检、考察、公示、聘用由各招聘法院组织。
(一)体检
招聘法院按照与各职位招聘人数1∶1的比例,根据总成绩从高至低的顺序确定参加体检人员,并组织体检。总成绩相同的,按照理论知识考试分数从高至低排序;理论知识考试分数仍相同的,按照速录技能考试分数从高至低排序。体检按照人力资源和社会保障部、国家卫生健康委员会《公务员录用体检通用标准(试行)》《公务员录用体检操作手册(试行)》,在县级以上综合性医院进行。体检不合格者不予聘用,空缺职位从符合条件的人员中递补。
(二)考察
对体检合格者,由各招聘法院参照江苏省公务员招录考察标准进行考察。考察突出政治标准,重点了解考察人选的政治素质、道德品行、遵纪守法等方面情况,对政治上不合格的,坚决不予聘用。
(三)公示
对考察合格者,在各招聘法院网站上公示5个工作日。
对公示对象有异议的,应实名举报,实事求是地反映问题,并提供必要的调查线索。对公示中反映的问题影响聘用的,经调查属实,不予聘用。对反映的问题一时难以查清的,可暂缓聘用,待查清后,再决定是否聘用。
(四)聘用
公示期满,没有问题或者反映的问题不影响聘用的,由各招聘法院办理聘用手续。
对在书记员招聘中已经参加面试但未被聘用的报考人员,省法院将在一年内保留其聘用资格,用人法院可以适时按需从中进行递补。
试用期满后实行基本工资、等级工资、绩效工资和工龄工资相结合的计酬办法。具体工资标准由各招聘法院根据聘用制书记员等级和当地经济社会发展状况、财政状况等因素确定,并建立动态调整机制。聘用制书记员依法缴纳“五险一金”,享有带薪休假、健康体检、工会福利等权利和履职保障。
报名过程中的电子照片制作及提交审核、网上缴费、准考证打印等技术问题,请联系技术人员解决,电话:025—66049069(此电话不负责政策咨询)。
咨询各职位报名政策问题,请联系职位表中招聘法院工作人员。
涉及招聘基本政策、参考要求以及职位表中的年龄、学历、其他条件等相关信息的咨询,考生应于工作时间内,与招聘法院联系。
考生在网上报名时应仔细核对报考法院、个人姓名、公民身份号码等重要信息,避免错失考试机会,在应聘期间保持通讯畅通,因考生本人原因错失聘用机会的,责任由考生本人承担。
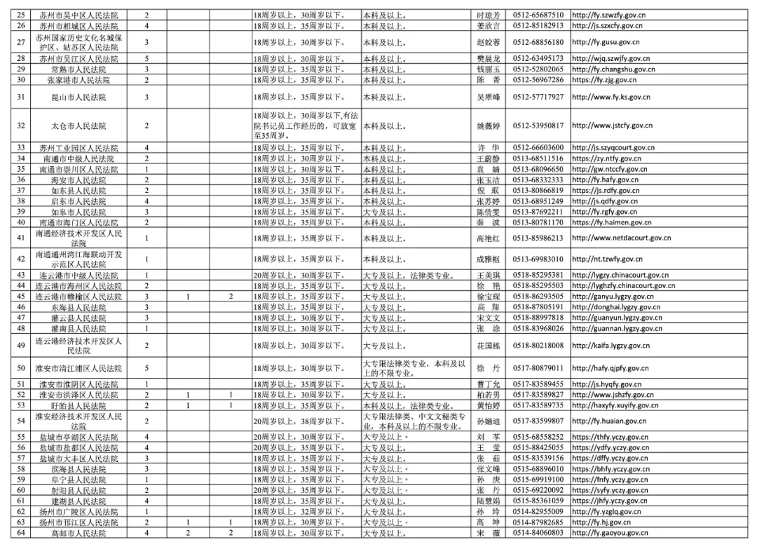
附件:《江苏法院2026年招聘聘用制书记员职位表》
江苏省高级人民法院政治部
2026年2月2日

扫描上方二维码即可下载附件
来源:江苏高院