当前位置:首页>苏州>苏州一模难疯了!苏州雄起了!镇江也站起来了!高三期末一模质量超高!期末能否代表高考?一模精彩解析奉上!

苏州一模难疯了!苏州雄起了!镇江也站起来了!高三期末一模质量超高!期末能否代表高考?一模精彩解析奉上!

  • 2026-02-04 20:07:15
苏州一模难疯了!苏州雄起了!镇江也站起来了!高三期末一模质量超高!期末能否代表高考?一模精彩解析奉上!

注:今天两份试卷:苏州期末、镇江期末

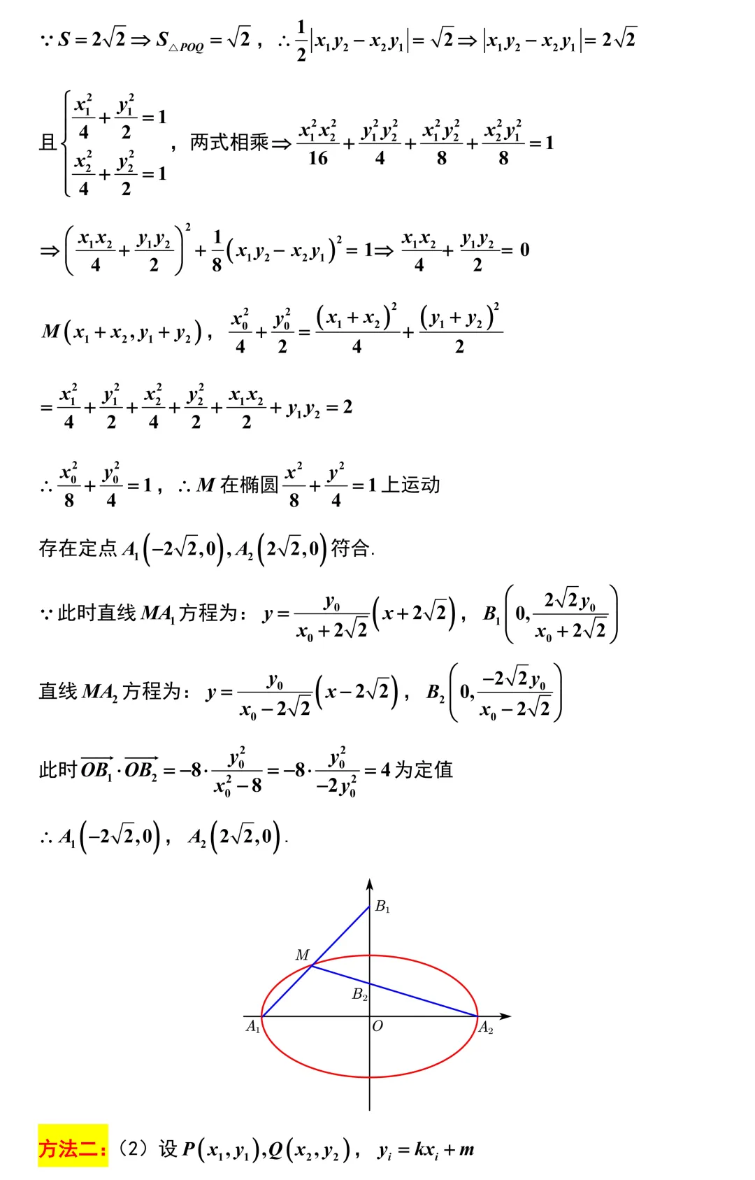
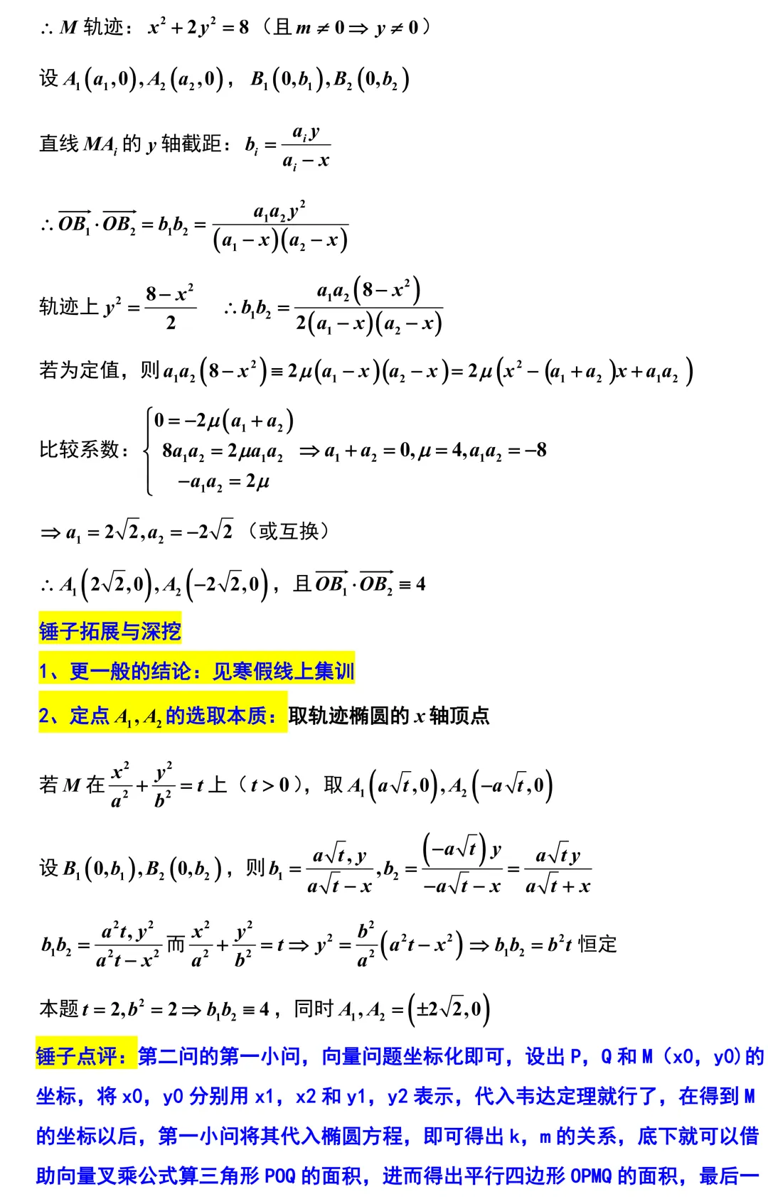
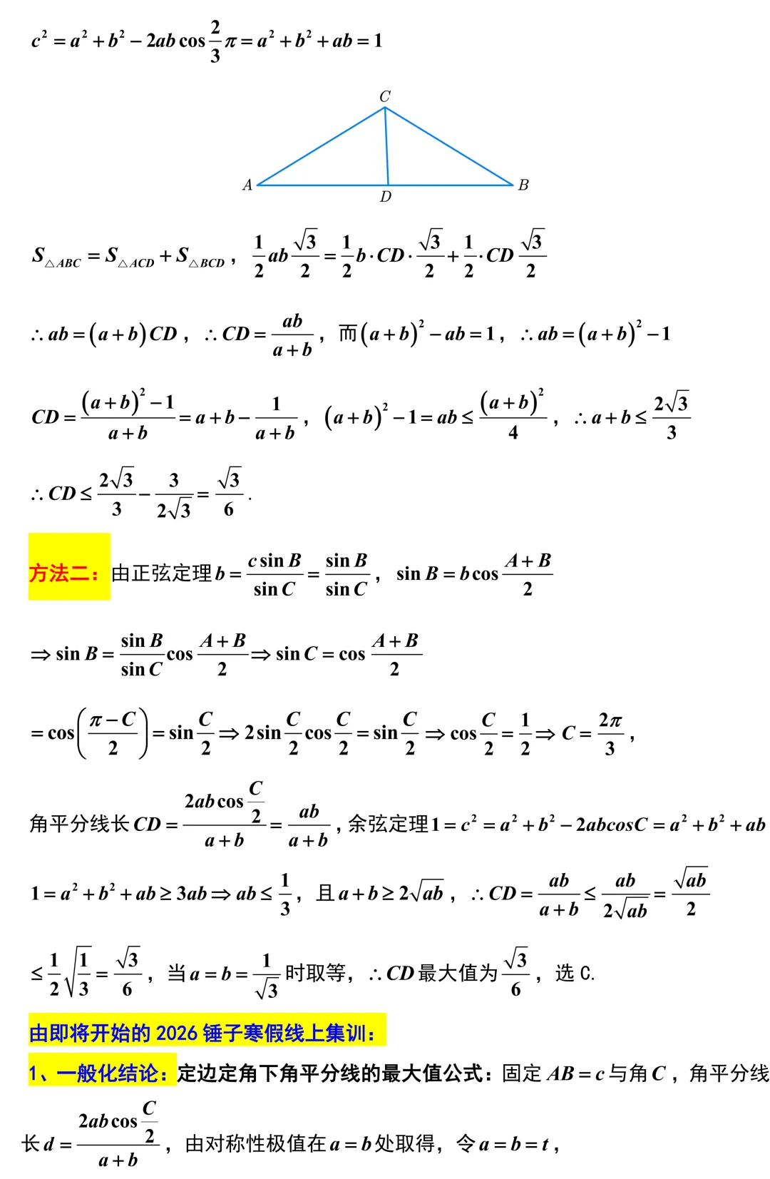
很多同学做这两份试卷会有明显的无力感!但看到解析后会“豁然开朗”这是因为,重复刷题已经没有办法让你进步了,很多人思维瓶颈一生都很难突破!需要一个强大的外力!就像苏州18题,很多同学都知道共轭直径的结论,也背了很多相关结论,结果,今天下午,苏州组织部分老师和学生一起考的,能做出来的百分之五不到!不是不会,但就是无法突破!同学们肯定就更难主动发现!我们马上开始的《2026高三寒假集训》会集中、系统讲解如何突破思维瓶颈,发现命题蛛丝马迹!

苏州一模:今天考的这份苏州一模,命题质量很高,创新力度很大!全卷计算量也大!18、19压轴题是那种设计很精巧,虽不难,但会无从下手!

如果没有野路子的积累,学生是很难做出来的!我一直说,解析几何无难题,这样的解析几何。如果你学我们的网课,可以立即做出来!主动一眼看出隐蔽的斜率与点关系(本题最难地方,大家没有这个意识)!然后,直接转化为标准模型!行云流水!同学们可以试一试我们即将开始的《2026寒假集训网课》,你只要听,哪怕一节课就知道是不是真的了!无论基础怎么样,高考的解析几何一直都是必争的!

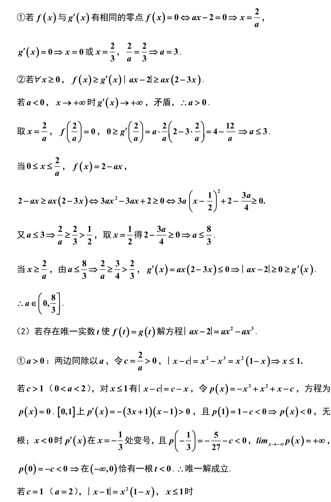
第19题,导数一直是苏州卷擅长的地方,尤其是和绝对值结合,苏州的标配!这个19,会而不难不难,绝对值问题是有绝招的,用我们即将开始的寒假线上集训“导数鬼门14招”第7招,可以很快解决!我们网课巧妙总结了《导数·鬼门十四招》系统讲解导数大题,把你很多连答案都看不懂的题。讲完,你可以直接做出来!中等生也完全能很快学会!

小题部分:第8题:新定义导数,这类问题需要系统训练,也是有相对固定的拆解套路的,新高考对情景题的考察力度一直不低,这是很多同学的弱项!

第11题:动态立体几何问题!今年立体几何是重点,我们马上开始的高三线上集训会系统梳理、分类训练!各种暴力公式、暴力手段!我们寒假线上集训,立体几何都是动态演示,然后再总结公式!你一定要毫不犹豫的尝试一下,你一定不会后悔自己的选择!老师不会乱讲的!

第14题,抛物线与数列结合的情景题,应用题历来是大家畏惧的,但新高考非常青睐,请大家一定要重视,疑难情景题是有固定的解题步骤的,绝对不是大家认为的应用题只能靠自己!

镇江一模:镇江市今年高三期末单独命题,迈出了重要的一步!很难得!标志着镇江拥有了自主命题的意识,值得表扬!

看得出来,全卷是很努力的在命题,抱着负责任的态度,小心翼翼!都是很正的考点,各把关题都是高考重点!全卷整体难度不大!没有迈大步子!

作为高三一轮复习的检测,全卷题目非常合格!能非常好的检测学生复习情况,虽然创新力度不大,但我愿意称这份试卷是:最适合诊断学生学习情况的“标杆卷”!

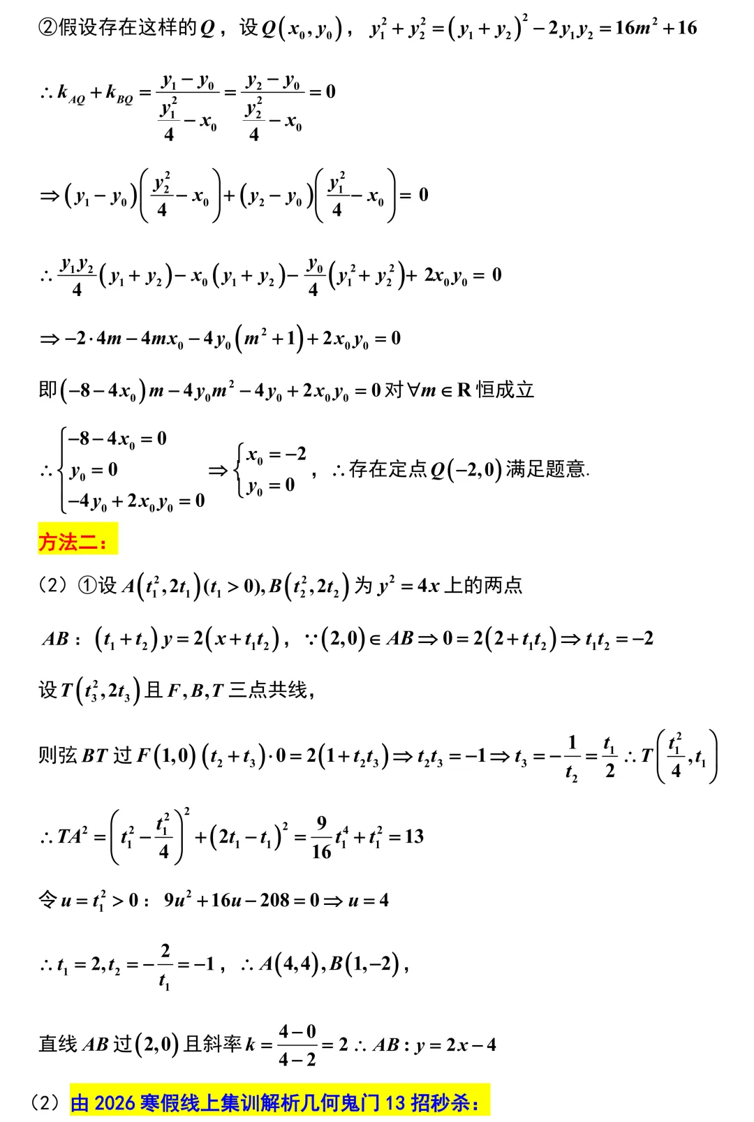
大题:18题,这样的解析几何放在18太仁慈了!到现在这样的解析几何还有问题,算不到底,毫不犹豫参加我们2026寒假集训网课,因为你自己瞎折腾,即使到高考也不会有什么改变!无论基础怎么样,都会有特别大的收获

19题,逻辑转化,知道等价转化技巧可以很快做出来,不知道的话死活不知道他在说什么!我们即将开始的2026高三寒假线上集训系统整理总结了“导数鬼门14招"涵盖了逻辑转化的四大套路!精彩绝伦,连中档同学都能听懂!

小题部分:第8题:三角的很多结论性工具一定要积累,三角小题一定要系统梳理各种重要的公式和结论!第11题:动态立体几何问题!今年立体几何是重点,大家要系统梳理、分类训练!各种暴力公式、暴力手段都要积累!我们线上集训,立体几何都是动态演示,然后再总结公式!立体几何有问题的一定不要错过!第14,最扎堆考这两类函数的对称性,前几天苏北的14也是这两个函数!其实,常见的具有对称性的超越函数是可以总结梳理出来的,超越函数有三个通用的杀手锏!我们寒假线上集训也会展示!

以下是镇江

说在后面:

高三各地一模已经陆续结束!今年过年比较迟,导致上学期本身就长!

剩下时间已经很紧凑了!无论期末考的怎么样,我们都应该意识到这毕竟不是高考!我们也要清楚自己的定位:目前这个阶段,你自己的水平,自己心里应该是有数的!有的同学即使考的不太好,是因为卡在了一两个点处,只要能找对路子,点拨到位,很快就能突破瓶颈!有的同学方法积累不够,临场漏洞多,时间也赶不上,不仅需要系统梳理解题方法还要在计算方法上大幅度优化!无论哪种情况,靠自己完成蜕变是很难的!

寒假是高考前唯一能集中时间突破数学的时间,一旦迟疑,一旦没找到对的门路,时间一旦浪费,那么整个高三下学期都要受累!很多同学,每天也很忙,一问就是没时间,一问就是作业多,那么我想问,时间是要拿来出分数的,你每天重复在做不会的题,意义在哪?驴给自己买了一个磨,然后每天很辛苦,最后抱怨问什么一直走不出去!高考考的是方法,一切不是积累方法的学习都是无用功!现在的高考,重复是没有意义的!

我们即将开始的寒假的线上集训,就是以讲方法为主,就是以点拨为主,就是以优化计算为主!磨刀不误砍柴工,你首先把方法积累好,再去练习计算才能有效果,才能有分数!因为现在的高考,重复是没有意义的!

锤子网课·2026高三寒假集训的安排

【集训目的】高三一轮已将近结束,寒假是量变到达质变的关键时期!通过一模考试大家也发现,目前掌握的方法已经不够应对综合卷,必须在方法上有所突破了!寒假,也是强化综合题,突破瓶颈最关键的时间!高考前除了寒假也不再有集中的时间训练数学!数学的突破必须是爆破式的、强化式的、专题式的!

【集训对象】有一定基础(至少100分左右).希望高考数学能有所突破的同学!数学到达瓶颈的同学!或希望冲刺满分的同学!方法与解题工具积累不够的同学!都可以参加集训!

【效果】每年高考几乎都可以在当年的寒假集训找到多处原型!寒假集训强度很大,内容非常丰富,方法梳理、总结都很系统,很多同学,学完后都能看出很多题目的命题背景,计算能力、准确率、答题策略会有很大的提升!做综合卷的能力得到极大提高,研究难题的信心极大增强!

【形势】磨刀不误砍柴工!数学是高三最耗时间和精力的,如果用集中的时间突破数学,那么也就节省了很多时间给其他学科!新高考试卷整体区分度变大,更加灵活,学习难度变大,我们必须向数学倾斜!寒假集训,至少同学们可以尝试一下,给自己一个机会!自古以来,高手都有很多牛逼的老师,站在别人的肩膀总归看的更远,学的更多!

【2026寒假高三集训网课】12天的集训;年前年后各6天;每天两个小时;线上直播(主讲:2026高考的预测与必考猜想:小题1立体几何小题处理诀窍(摧枯拉朽)2、函数、导数小题性质、转化、绝对值、图像处理技巧 3、2026三角函数性质、图像、参数求解九式(玄机九破)4、创新情景题处理策略(三界六道洞察法) 5、选填压轴题速杀秘籍:无常十二鞭6、期末各地考题挖掘与拓展

大题:1、解析几何终极公式(冲刺满分的鬼门十三招)2、解析几何的15个结构与绝妙技巧3、7个方法解决数列新定义题、瓶颈题、综合创新题4、导数大题逻辑转换奥秘及13个结构(玄之又玄)5、导数大题如何不慌不乱、准确的解决切线、放缩、零点等问题6、期末各地考题挖掘与命题背景.

【参与联系】微信:15371651243

【福利】凡预参加2026届寒假集训网课:赠送2种实体书:

·《新高考2026·巅峰突破20套》(原创+经典必刷)数学的提高离不开刷题,其中,原创卷部分都是重点和热点,每一卷都是精品。必刷卷部分,每一卷都是名校、重点高中、大市的模考卷,我们花费了巨大的精力原创和挑选出来并且详细解析。是同学们限时训练、实战演练的最好套卷。精品20配合网课,既达到训练网课解题方法,又能达到训练计算速度、准确率的效果。

最新文章

随机文章

基本 文件 流程 错误 SQL 调试
  1. 请求信息 : 2026-02-05 02:03:56 HTTP/2.0 GET : https://b.460.net.cn/a/475245.html
  2. 运行时间 : 0.082955s [ 吞吐率:12.05req/s ] 内存消耗:4,467.16kb 文件加载:140
  3. 缓存信息 : 0 reads,0 writes
  4. 会话信息 : SESSION_ID=f1c74561267cdaa762a0e52f6bfac681
  1. /yingpanguazai/ssd/ssd1/www/b.460.net.cn/public/index.php ( 0.79 KB )
  2. /yingpanguazai/ssd/ssd1/www/b.460.net.cn/vendor/autoload.php ( 0.17 KB )
  3. /yingpanguazai/ssd/ssd1/www/b.460.net.cn/vendor/composer/autoload_real.php ( 2.49 KB )
  4. /yingpanguazai/ssd/ssd1/www/b.460.net.cn/vendor/composer/platform_check.php ( 0.90 KB )
  5. /yingpanguazai/ssd/ssd1/www/b.460.net.cn/vendor/composer/ClassLoader.php ( 14.03 KB )
  6. /yingpanguazai/ssd/ssd1/www/b.460.net.cn/vendor/composer/autoload_static.php ( 4.90 KB )
  7. /yingpanguazai/ssd/ssd1/www/b.460.net.cn/vendor/topthink/think-helper/src/helper.php ( 8.34 KB )
  8. /yingpanguazai/ssd/ssd1/www/b.460.net.cn/vendor/topthink/think-validate/src/helper.php ( 2.19 KB )
  9. /yingpanguazai/ssd/ssd1/www/b.460.net.cn/vendor/topthink/think-orm/src/helper.php ( 1.47 KB )
  10. /yingpanguazai/ssd/ssd1/www/b.460.net.cn/vendor/topthink/think-orm/stubs/load_stubs.php ( 0.16 KB )
  11. /yingpanguazai/ssd/ssd1/www/b.460.net.cn/vendor/topthink/framework/src/think/Exception.php ( 1.69 KB )
  12. /yingpanguazai/ssd/ssd1/www/b.460.net.cn/vendor/topthink/think-container/src/Facade.php ( 2.71 KB )
  13. /yingpanguazai/ssd/ssd1/www/b.460.net.cn/vendor/symfony/deprecation-contracts/function.php ( 0.99 KB )
  14. /yingpanguazai/ssd/ssd1/www/b.460.net.cn/vendor/symfony/polyfill-mbstring/bootstrap.php ( 8.26 KB )
  15. /yingpanguazai/ssd/ssd1/www/b.460.net.cn/vendor/symfony/polyfill-mbstring/bootstrap80.php ( 9.78 KB )
  16. /yingpanguazai/ssd/ssd1/www/b.460.net.cn/vendor/symfony/var-dumper/Resources/functions/dump.php ( 1.49 KB )
  17. /yingpanguazai/ssd/ssd1/www/b.460.net.cn/vendor/topthink/think-dumper/src/helper.php ( 0.18 KB )
  18. /yingpanguazai/ssd/ssd1/www/b.460.net.cn/vendor/symfony/var-dumper/VarDumper.php ( 4.30 KB )
  19. /yingpanguazai/ssd/ssd1/www/b.460.net.cn/vendor/topthink/framework/src/think/App.php ( 15.30 KB )
  20. /yingpanguazai/ssd/ssd1/www/b.460.net.cn/vendor/topthink/think-container/src/Container.php ( 15.76 KB )
  21. /yingpanguazai/ssd/ssd1/www/b.460.net.cn/vendor/psr/container/src/ContainerInterface.php ( 1.02 KB )
  22. /yingpanguazai/ssd/ssd1/www/b.460.net.cn/app/provider.php ( 0.19 KB )
  23. /yingpanguazai/ssd/ssd1/www/b.460.net.cn/vendor/topthink/framework/src/think/Http.php ( 6.04 KB )
  24. /yingpanguazai/ssd/ssd1/www/b.460.net.cn/vendor/topthink/think-helper/src/helper/Str.php ( 7.29 KB )
  25. /yingpanguazai/ssd/ssd1/www/b.460.net.cn/vendor/topthink/framework/src/think/Env.php ( 4.68 KB )
  26. /yingpanguazai/ssd/ssd1/www/b.460.net.cn/app/common.php ( 0.03 KB )
  27. /yingpanguazai/ssd/ssd1/www/b.460.net.cn/vendor/topthink/framework/src/helper.php ( 18.78 KB )
  28. /yingpanguazai/ssd/ssd1/www/b.460.net.cn/vendor/topthink/framework/src/think/Config.php ( 5.54 KB )
  29. /yingpanguazai/ssd/ssd1/www/b.460.net.cn/config/app.php ( 0.95 KB )
  30. /yingpanguazai/ssd/ssd1/www/b.460.net.cn/config/cache.php ( 0.78 KB )
  31. /yingpanguazai/ssd/ssd1/www/b.460.net.cn/config/console.php ( 0.23 KB )
  32. /yingpanguazai/ssd/ssd1/www/b.460.net.cn/config/cookie.php ( 0.56 KB )
  33. /yingpanguazai/ssd/ssd1/www/b.460.net.cn/config/database.php ( 2.47 KB )
  34. /yingpanguazai/ssd/ssd1/www/b.460.net.cn/vendor/topthink/framework/src/think/facade/Env.php ( 1.67 KB )
  35. /yingpanguazai/ssd/ssd1/www/b.460.net.cn/config/filesystem.php ( 0.61 KB )
  36. /yingpanguazai/ssd/ssd1/www/b.460.net.cn/config/lang.php ( 0.91 KB )
  37. /yingpanguazai/ssd/ssd1/www/b.460.net.cn/config/log.php ( 1.35 KB )
  38. /yingpanguazai/ssd/ssd1/www/b.460.net.cn/config/middleware.php ( 0.19 KB )
  39. /yingpanguazai/ssd/ssd1/www/b.460.net.cn/config/route.php ( 1.89 KB )
  40. /yingpanguazai/ssd/ssd1/www/b.460.net.cn/config/session.php ( 0.57 KB )
  41. /yingpanguazai/ssd/ssd1/www/b.460.net.cn/config/trace.php ( 0.34 KB )
  42. /yingpanguazai/ssd/ssd1/www/b.460.net.cn/config/view.php ( 0.82 KB )
  43. /yingpanguazai/ssd/ssd1/www/b.460.net.cn/app/event.php ( 0.25 KB )
  44. /yingpanguazai/ssd/ssd1/www/b.460.net.cn/vendor/topthink/framework/src/think/Event.php ( 7.67 KB )
  45. /yingpanguazai/ssd/ssd1/www/b.460.net.cn/app/service.php ( 0.13 KB )
  46. /yingpanguazai/ssd/ssd1/www/b.460.net.cn/app/AppService.php ( 0.26 KB )
  47. /yingpanguazai/ssd/ssd1/www/b.460.net.cn/vendor/topthink/framework/src/think/Service.php ( 1.64 KB )
  48. /yingpanguazai/ssd/ssd1/www/b.460.net.cn/vendor/topthink/framework/src/think/Lang.php ( 7.35 KB )
  49. /yingpanguazai/ssd/ssd1/www/b.460.net.cn/vendor/topthink/framework/src/lang/zh-cn.php ( 13.70 KB )
  50. /yingpanguazai/ssd/ssd1/www/b.460.net.cn/vendor/topthink/framework/src/think/initializer/Error.php ( 3.31 KB )
  51. /yingpanguazai/ssd/ssd1/www/b.460.net.cn/vendor/topthink/framework/src/think/initializer/RegisterService.php ( 1.33 KB )
  52. /yingpanguazai/ssd/ssd1/www/b.460.net.cn/vendor/services.php ( 0.14 KB )
  53. /yingpanguazai/ssd/ssd1/www/b.460.net.cn/vendor/topthink/framework/src/think/service/PaginatorService.php ( 1.52 KB )
  54. /yingpanguazai/ssd/ssd1/www/b.460.net.cn/vendor/topthink/framework/src/think/service/ValidateService.php ( 0.99 KB )
  55. /yingpanguazai/ssd/ssd1/www/b.460.net.cn/vendor/topthink/framework/src/think/service/ModelService.php ( 2.04 KB )
  56. /yingpanguazai/ssd/ssd1/www/b.460.net.cn/vendor/topthink/think-trace/src/Service.php ( 0.77 KB )
  57. /yingpanguazai/ssd/ssd1/www/b.460.net.cn/vendor/topthink/framework/src/think/Middleware.php ( 6.72 KB )
  58. /yingpanguazai/ssd/ssd1/www/b.460.net.cn/vendor/topthink/framework/src/think/initializer/BootService.php ( 0.77 KB )
  59. /yingpanguazai/ssd/ssd1/www/b.460.net.cn/vendor/topthink/think-orm/src/Paginator.php ( 11.86 KB )
  60. /yingpanguazai/ssd/ssd1/www/b.460.net.cn/vendor/topthink/think-validate/src/Validate.php ( 63.20 KB )
  61. /yingpanguazai/ssd/ssd1/www/b.460.net.cn/vendor/topthink/think-orm/src/Model.php ( 23.55 KB )
  62. /yingpanguazai/ssd/ssd1/www/b.460.net.cn/vendor/topthink/think-orm/src/model/concern/Attribute.php ( 21.05 KB )
  63. /yingpanguazai/ssd/ssd1/www/b.460.net.cn/vendor/topthink/think-orm/src/model/concern/AutoWriteData.php ( 4.21 KB )
  64. /yingpanguazai/ssd/ssd1/www/b.460.net.cn/vendor/topthink/think-orm/src/model/concern/Conversion.php ( 6.44 KB )
  65. /yingpanguazai/ssd/ssd1/www/b.460.net.cn/vendor/topthink/think-orm/src/model/concern/DbConnect.php ( 5.16 KB )
  66. /yingpanguazai/ssd/ssd1/www/b.460.net.cn/vendor/topthink/think-orm/src/model/concern/ModelEvent.php ( 2.33 KB )
  67. /yingpanguazai/ssd/ssd1/www/b.460.net.cn/vendor/topthink/think-orm/src/model/concern/RelationShip.php ( 28.29 KB )
  68. /yingpanguazai/ssd/ssd1/www/b.460.net.cn/vendor/topthink/think-helper/src/contract/Arrayable.php ( 0.09 KB )
  69. /yingpanguazai/ssd/ssd1/www/b.460.net.cn/vendor/topthink/think-helper/src/contract/Jsonable.php ( 0.13 KB )
  70. /yingpanguazai/ssd/ssd1/www/b.460.net.cn/vendor/topthink/think-orm/src/model/contract/Modelable.php ( 0.09 KB )
  71. /yingpanguazai/ssd/ssd1/www/b.460.net.cn/vendor/topthink/framework/src/think/Db.php ( 2.88 KB )
  72. /yingpanguazai/ssd/ssd1/www/b.460.net.cn/vendor/topthink/think-orm/src/DbManager.php ( 8.52 KB )
  73. /yingpanguazai/ssd/ssd1/www/b.460.net.cn/vendor/topthink/framework/src/think/Log.php ( 6.28 KB )
  74. /yingpanguazai/ssd/ssd1/www/b.460.net.cn/vendor/topthink/framework/src/think/Manager.php ( 3.92 KB )
  75. /yingpanguazai/ssd/ssd1/www/b.460.net.cn/vendor/psr/log/src/LoggerTrait.php ( 2.69 KB )
  76. /yingpanguazai/ssd/ssd1/www/b.460.net.cn/vendor/psr/log/src/LoggerInterface.php ( 2.71 KB )
  77. /yingpanguazai/ssd/ssd1/www/b.460.net.cn/vendor/topthink/framework/src/think/Cache.php ( 4.92 KB )
  78. /yingpanguazai/ssd/ssd1/www/b.460.net.cn/vendor/psr/simple-cache/src/CacheInterface.php ( 4.71 KB )
  79. /yingpanguazai/ssd/ssd1/www/b.460.net.cn/vendor/topthink/think-helper/src/helper/Arr.php ( 16.63 KB )
  80. /yingpanguazai/ssd/ssd1/www/b.460.net.cn/vendor/topthink/framework/src/think/cache/driver/File.php ( 7.84 KB )
  81. /yingpanguazai/ssd/ssd1/www/b.460.net.cn/vendor/topthink/framework/src/think/cache/Driver.php ( 9.03 KB )
  82. /yingpanguazai/ssd/ssd1/www/b.460.net.cn/vendor/topthink/framework/src/think/contract/CacheHandlerInterface.php ( 1.99 KB )
  83. /yingpanguazai/ssd/ssd1/www/b.460.net.cn/app/Request.php ( 0.09 KB )
  84. /yingpanguazai/ssd/ssd1/www/b.460.net.cn/vendor/topthink/framework/src/think/Request.php ( 55.78 KB )
  85. /yingpanguazai/ssd/ssd1/www/b.460.net.cn/app/middleware.php ( 0.25 KB )
  86. /yingpanguazai/ssd/ssd1/www/b.460.net.cn/vendor/topthink/framework/src/think/Pipeline.php ( 2.61 KB )
  87. /yingpanguazai/ssd/ssd1/www/b.460.net.cn/vendor/topthink/think-trace/src/TraceDebug.php ( 3.40 KB )
  88. /yingpanguazai/ssd/ssd1/www/b.460.net.cn/vendor/topthink/framework/src/think/middleware/SessionInit.php ( 1.94 KB )
  89. /yingpanguazai/ssd/ssd1/www/b.460.net.cn/vendor/topthink/framework/src/think/Session.php ( 1.80 KB )
  90. /yingpanguazai/ssd/ssd1/www/b.460.net.cn/vendor/topthink/framework/src/think/session/driver/File.php ( 6.27 KB )
  91. /yingpanguazai/ssd/ssd1/www/b.460.net.cn/vendor/topthink/framework/src/think/contract/SessionHandlerInterface.php ( 0.87 KB )
  92. /yingpanguazai/ssd/ssd1/www/b.460.net.cn/vendor/topthink/framework/src/think/session/Store.php ( 7.12 KB )
  93. /yingpanguazai/ssd/ssd1/www/b.460.net.cn/vendor/topthink/framework/src/think/Route.php ( 23.73 KB )
  94. /yingpanguazai/ssd/ssd1/www/b.460.net.cn/vendor/topthink/framework/src/think/route/RuleName.php ( 5.75 KB )
  95. /yingpanguazai/ssd/ssd1/www/b.460.net.cn/vendor/topthink/framework/src/think/route/Domain.php ( 2.53 KB )
  96. /yingpanguazai/ssd/ssd1/www/b.460.net.cn/vendor/topthink/framework/src/think/route/RuleGroup.php ( 22.43 KB )
  97. /yingpanguazai/ssd/ssd1/www/b.460.net.cn/vendor/topthink/framework/src/think/route/Rule.php ( 26.95 KB )
  98. /yingpanguazai/ssd/ssd1/www/b.460.net.cn/vendor/topthink/framework/src/think/route/RuleItem.php ( 9.78 KB )
  99. /yingpanguazai/ssd/ssd1/www/b.460.net.cn/route/app.php ( 1.72 KB )
  100. /yingpanguazai/ssd/ssd1/www/b.460.net.cn/vendor/topthink/framework/src/think/facade/Route.php ( 4.70 KB )
  101. /yingpanguazai/ssd/ssd1/www/b.460.net.cn/vendor/topthink/framework/src/think/route/dispatch/Controller.php ( 4.74 KB )
  102. /yingpanguazai/ssd/ssd1/www/b.460.net.cn/vendor/topthink/framework/src/think/route/Dispatch.php ( 10.44 KB )
  103. /yingpanguazai/ssd/ssd1/www/b.460.net.cn/app/controller/Index.php ( 4.81 KB )
  104. /yingpanguazai/ssd/ssd1/www/b.460.net.cn/app/BaseController.php ( 2.05 KB )
  105. /yingpanguazai/ssd/ssd1/www/b.460.net.cn/vendor/topthink/think-orm/src/facade/Db.php ( 0.93 KB )
  106. /yingpanguazai/ssd/ssd1/www/b.460.net.cn/vendor/topthink/think-orm/src/db/connector/Mysql.php ( 5.44 KB )
  107. /yingpanguazai/ssd/ssd1/www/b.460.net.cn/vendor/topthink/think-orm/src/db/PDOConnection.php ( 52.47 KB )
  108. /yingpanguazai/ssd/ssd1/www/b.460.net.cn/vendor/topthink/think-orm/src/db/Connection.php ( 8.39 KB )
  109. /yingpanguazai/ssd/ssd1/www/b.460.net.cn/vendor/topthink/think-orm/src/db/ConnectionInterface.php ( 4.57 KB )
  110. /yingpanguazai/ssd/ssd1/www/b.460.net.cn/vendor/topthink/think-orm/src/db/builder/Mysql.php ( 16.58 KB )
  111. /yingpanguazai/ssd/ssd1/www/b.460.net.cn/vendor/topthink/think-orm/src/db/Builder.php ( 24.06 KB )
  112. /yingpanguazai/ssd/ssd1/www/b.460.net.cn/vendor/topthink/think-orm/src/db/BaseBuilder.php ( 27.50 KB )
  113. /yingpanguazai/ssd/ssd1/www/b.460.net.cn/vendor/topthink/think-orm/src/db/Query.php ( 15.71 KB )
  114. /yingpanguazai/ssd/ssd1/www/b.460.net.cn/vendor/topthink/think-orm/src/db/BaseQuery.php ( 45.13 KB )
  115. /yingpanguazai/ssd/ssd1/www/b.460.net.cn/vendor/topthink/think-orm/src/db/concern/TimeFieldQuery.php ( 7.43 KB )
  116. /yingpanguazai/ssd/ssd1/www/b.460.net.cn/vendor/topthink/think-orm/src/db/concern/AggregateQuery.php ( 3.26 KB )
  117. /yingpanguazai/ssd/ssd1/www/b.460.net.cn/vendor/topthink/think-orm/src/db/concern/ModelRelationQuery.php ( 20.07 KB )
  118. /yingpanguazai/ssd/ssd1/www/b.460.net.cn/vendor/topthink/think-orm/src/db/concern/ParamsBind.php ( 3.66 KB )
  119. /yingpanguazai/ssd/ssd1/www/b.460.net.cn/vendor/topthink/think-orm/src/db/concern/ResultOperation.php ( 7.01 KB )
  120. /yingpanguazai/ssd/ssd1/www/b.460.net.cn/vendor/topthink/think-orm/src/db/concern/WhereQuery.php ( 19.37 KB )
  121. /yingpanguazai/ssd/ssd1/www/b.460.net.cn/vendor/topthink/think-orm/src/db/concern/JoinAndViewQuery.php ( 7.11 KB )
  122. /yingpanguazai/ssd/ssd1/www/b.460.net.cn/vendor/topthink/think-orm/src/db/concern/TableFieldInfo.php ( 2.63 KB )
  123. /yingpanguazai/ssd/ssd1/www/b.460.net.cn/vendor/topthink/think-orm/src/db/concern/Transaction.php ( 2.77 KB )
  124. /yingpanguazai/ssd/ssd1/www/b.460.net.cn/vendor/topthink/framework/src/think/log/driver/File.php ( 5.96 KB )
  125. /yingpanguazai/ssd/ssd1/www/b.460.net.cn/vendor/topthink/framework/src/think/contract/LogHandlerInterface.php ( 0.86 KB )
  126. /yingpanguazai/ssd/ssd1/www/b.460.net.cn/vendor/topthink/framework/src/think/log/Channel.php ( 3.89 KB )
  127. /yingpanguazai/ssd/ssd1/www/b.460.net.cn/vendor/topthink/framework/src/think/event/LogRecord.php ( 1.02 KB )
  128. /yingpanguazai/ssd/ssd1/www/b.460.net.cn/vendor/topthink/think-helper/src/Collection.php ( 16.47 KB )
  129. /yingpanguazai/ssd/ssd1/www/b.460.net.cn/vendor/topthink/framework/src/think/facade/View.php ( 1.70 KB )
  130. /yingpanguazai/ssd/ssd1/www/b.460.net.cn/vendor/topthink/framework/src/think/View.php ( 4.39 KB )
  131. /yingpanguazai/ssd/ssd1/www/b.460.net.cn/vendor/topthink/framework/src/think/Response.php ( 8.81 KB )
  132. /yingpanguazai/ssd/ssd1/www/b.460.net.cn/vendor/topthink/framework/src/think/response/View.php ( 3.29 KB )
  133. /yingpanguazai/ssd/ssd1/www/b.460.net.cn/vendor/topthink/framework/src/think/Cookie.php ( 6.06 KB )
  134. /yingpanguazai/ssd/ssd1/www/b.460.net.cn/vendor/topthink/think-view/src/Think.php ( 8.38 KB )
  135. /yingpanguazai/ssd/ssd1/www/b.460.net.cn/vendor/topthink/framework/src/think/contract/TemplateHandlerInterface.php ( 1.60 KB )
  136. /yingpanguazai/ssd/ssd1/www/b.460.net.cn/vendor/topthink/think-template/src/Template.php ( 46.61 KB )
  137. /yingpanguazai/ssd/ssd1/www/b.460.net.cn/vendor/topthink/think-template/src/template/driver/File.php ( 2.41 KB )
  138. /yingpanguazai/ssd/ssd1/www/b.460.net.cn/vendor/topthink/think-template/src/template/contract/DriverInterface.php ( 0.86 KB )
  139. /yingpanguazai/ssd/ssd1/www/b.460.net.cn/runtime/temp/b35eef690f41e64ad9e1c098cfc7d3bc.php ( 11.98 KB )
  140. /yingpanguazai/ssd/ssd1/www/b.460.net.cn/vendor/topthink/think-trace/src/Html.php ( 4.42 KB )
  1. CONNECT:[ UseTime:0.000568s ] mysql:host=127.0.0.1;port=3306;dbname=b460;charset=utf8mb4
  2. SHOW FULL COLUMNS FROM `fenlei` [ RunTime:0.001021s ]
  3. SELECT * FROM `fenlei` WHERE `fid` = 0 [ RunTime:0.000379s ]
  4. SELECT * FROM `fenlei` WHERE `fid` = 63 [ RunTime:0.000280s ]
  5. SHOW FULL COLUMNS FROM `set` [ RunTime:0.000527s ]
  6. SELECT * FROM `set` [ RunTime:0.000192s ]
  7. SHOW FULL COLUMNS FROM `article` [ RunTime:0.000577s ]
  8. SELECT * FROM `article` WHERE `id` = 475245 LIMIT 1 [ RunTime:0.000542s ]
  9. UPDATE `article` SET `lasttime` = 1770228236 WHERE `id` = 475245 [ RunTime:0.005878s ]
  10. SELECT * FROM `fenlei` WHERE `id` = 64 LIMIT 1 [ RunTime:0.000265s ]
  11. SELECT * FROM `article` WHERE `id` < 475245 ORDER BY `id` DESC LIMIT 1 [ RunTime:0.000517s ]
  12. SELECT * FROM `article` WHERE `id` > 475245 ORDER BY `id` ASC LIMIT 1 [ RunTime:0.000538s ]
  13. SELECT * FROM `article` WHERE `id` < 475245 ORDER BY `id` DESC LIMIT 10 [ RunTime:0.000674s ]
  14. SELECT * FROM `article` WHERE `id` < 475245 ORDER BY `id` DESC LIMIT 10,10 [ RunTime:0.001033s ]
  15. SELECT * FROM `article` WHERE `id` < 475245 ORDER BY `id` DESC LIMIT 20,10 [ RunTime:0.000666s ]
0.084568s