
钠离子电池(SIBs)为能源转型和锂资源稀缺所带来的挑战提供了一种引人注目且可持续的解决方案。然而,钠过渡金属氧化物(NaₓTMᵧO₂)中的晶体学多样性会在脱/嵌钠过程中引发对称性重构,这对SIBs的稳定运行构成了严峻挑战。
2026年3月4日,湘潭大学刘黎、南开大学焦丽芳、南京航空航天大学裴一在国际知名期刊Journal of the American Chemical Society发表题为《Out-Of-Plane Symmetry Design Arrests Structural Evolution in Layered-Type Framework for Sustainable Sodium Shuttling》的研究论文,Qiaochu Ren、裴一为论文共同第一作者,刘黎、焦丽芳、裴一为论文共同通讯作者。

在此,作者阐明了面外对称性在缓解NaₓTMᵧO₂结构演变中的关键但未被充分探索的作用。
通过构建单斜畸变,作者建立了一种独特的面外对称性,使Na⁺离子的P型和O型间隙位点能够共存,从而有效防止了层间氧离子滑移及随后的对称性演变,即使在深度脱钠状态(每化学式单元剩余<0.2个Na⁺)下亦是如此。
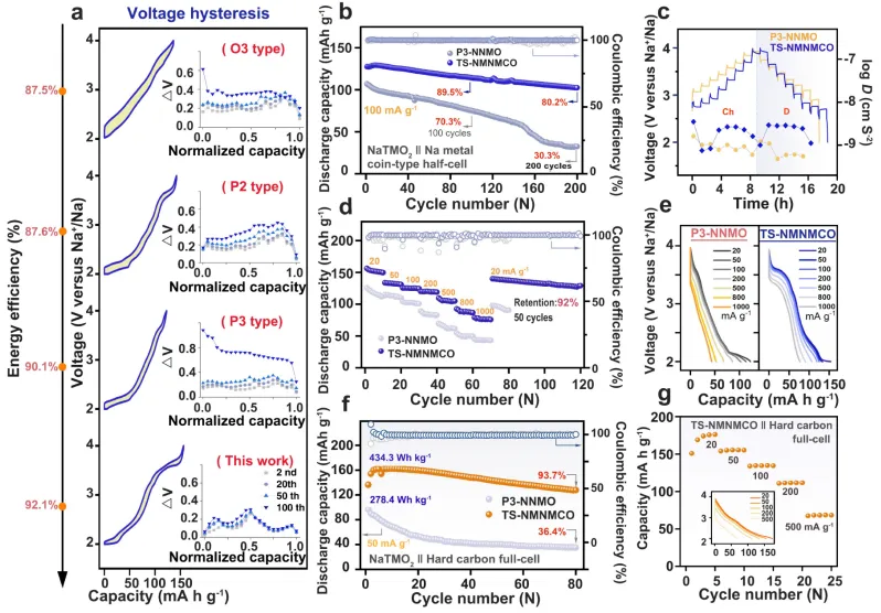
这种对称性工程从根本上解决了P3型正极固有的相不稳定性,并消除了由不可逆结构演变引起的累积电压滞后(100次循环后平均滞后仅为0.16 V),在高能量密度运行下(437.1 Wh kg⁻¹)实现了稳定的循环性能。
钠(Na)的丰富储量使钠离子电池(SIBs)成为大规模、低成本储能系统的一个极具前景的体系,但其实际应用仍受限于正极材料令人不满意的能量密度。解决这一问题的常规方法之一是采用密堆积的氧框架,由此制备的NaₓTMᵧO₂(0<x,y<2, TM=Ni,Mn,Co等)型正极具有约240 mAh g⁻¹的理论容量和高达约700 Wh kg⁻¹的能量密度。然而,与LixTMyO₂中的O型(O代表八面体)堆叠不同,Na较低的电荷密度(较小的离子势)使其同时具备O型和P型(P代表棱柱)堆叠能力;这种双重堆叠特性在高度脱/嵌钠状态下会触发氧的反复重排,阻碍了SIBs的高容量运行。因此,推动SIBs应用最关键的一步是建立一种能抵抗Na⁺脱出/嵌入的稳定氧堆叠结构。
由于其层状结构,从碱金属(AM)层中脱出/嵌入Na⁺会破坏局域对称性,并重新分布氧原子周围的电子,从而触发氧的滑移和Na(□)-O(□代表Na空位)配位的变化。这甚至在AM层中均匀分散Na离子或存在旁观离子的情况下,也会在高度脱/嵌钠状态下引起面外对称性的重排。对于具有优异Na⁺离子电导率的P型正极而言,氧的滑移是由高度脱钠(每化学式单元剩余<0.2个Na⁺)和过量嵌钠(放电容量超过150 mAh g⁻¹)共同引发的,这严重限制了其实际应用。最近,一种防止P型正极中氧滑移的方法是通过调控面内对称性(例如,TM层中的带状有序结构、TM层中的空位/TM无序或AM层中的空位/Na无序)来调节氧周围的电子分布。在此策略下,ab面内调控的电子分布有效地抑制了在高度脱/嵌钠状态下的氧滑移。尽管取得了鼓舞人心的改进,但ab面内精心设计的电子分布在深度脱钠状态下(NaₓTMᵧO₂,x<0.2)难以充分抵消加剧的面外应力。
有趣的是,NaₓTMᵧO₂沿c轴固有的面外对称性在以往的报道中长期被忽视。在传统的NaₓTMᵧO₂中,沿c轴的稳定堆叠排列主要受NaO₆和TMO₆几何构型的影响,分别导致O型相的ABAB或ABCABC堆叠以及P型相的ABBA或ABBCCAAB堆叠。脱钠后,AM层中Na耗尽所引起的O电子重新分布会改变NaO₆的几何构型,从而引发O型和P型相之间的面外对称性演变。因此,与面内对称性不同,固有的面外对称性在决定c轴方向的电子分布方面起着至关重要的作用,这增加了抑制氧滑移并在Na⁺穿梭过程中保持Na(□)-O几何构型的可能性。
一种理想的面外对称性应该能够同时抑制局域氧滑移和长期的面外重排,这是一个尚未实现的里程碑。在此,作者证明了通过操控面外对称性,可以消除在深度脱钠状态(每化学式单元剩余<0.2个Na⁺)下P型和O型之间的对称性演变。通过在P3框架的AM层中创建电荷歧化来诱导单斜畸变,作者减少了重复堆叠单元,并在Na₀.₅₁Mg₀.₀₈□ₓNi₀.₂₅Mn₀.₆Co₀.₁₅O₂(记为TS-NMNMCO,□代表空位,阐明了AM层内的电荷歧化)中构建了一种定制的面外对称性。该材料表现出特定的ABB’C’ABB’C’堆叠,重复堆叠单元为2,使Na⁺离子的P型和O型间隙位点能够共存。结合原位X射线衍射(XRD)和非原位中子衍射(ND)表征,作者表明,即使在充电状态下每化学式单元仅剩0.16个Na⁺离子,TS-NMNMCO的面外对称性依然保持完整,这在高能量密度循环(437.1 Wh kg⁻¹)中有效地抑制了电压滞后的累积(TS-NMNMCO在第100次循环的平均电压滞后从P3型Na₀.₆₇Mn₀.₇₅Ni₀.₂₅O₂的0.71 V降至0.16 V)。稳定的面外对称性颠覆了P3型正极在高容量运行时固有的结构不稳定性,使TS-NMNMCO||HC全电池能够以434.3 Wh kg⁻¹的能量密度实现稳定循环。作者的发现揭示了除NaₓTMᵧO₂正极材料中独特的有序结构外,调控高能量密度正极候选材料稳定性的新方向。




综上,作者提出了一种创新的“面外对称性工程”策略,通过在P3型钠过渡金属氧化物正极(Na₀.₅₁Mg₀.₀₈□ₓNi₀.₂₅Mn₀.₆Co₀.₁₅O₂,记为TS-NMNMCO)中引入单斜畸变,成功构建了一种独特的ABB’C’堆叠结构。该结构使P型和O型钠离子间隙位点能够共存,从而有效锚定了层间氧骨架,从根本上抑制了深度脱钠状态下由氧滑移引发的不可逆相变和结构退化。
该研究取得了突破性成果,TS-NMNMCO正极在高能量密度(437.1 Wh kg⁻¹)下实现了超稳定的循环性能,100次循环后电压滞后平均仅为0.16 V,远优于传统P3材料(0.71 V)。其全电池也展现出卓越的性能(434.3 Wh kg⁻¹)。这项工作不仅首次揭示了面外对称性在稳定层状正极中的决定性作用,为解决钠电高电压正极的结构不稳定性提供了全新范式,而且其设计理念对于开发下一代高能量密度、长寿命的可持续储能电池具有重要的指导意义和广阔的应用前景。
Out-Of-Plane Symmetry Design Arrests Structural Evolution in Layered-Type Framework for Sustainable Sodium Shuttling.J. Am. Chem. Soc., 2026.https://doi.org/10.1021/jacs.5c10619.
#南开大学#南京航空航天大学#湘潭大学#刘黎#焦丽芳#裴一#JACS#电池#氧化还原反应
