科学拾光:专注科学前沿,传递学术动态,以严谨视角解读科学进展,探索未知领域,助力科学探索之路。
1. 简介
纳米孪晶界并非完美平直,而是天然地分布着一定数量的、由不全位错构成的台阶。随着孪晶片层间距减小,不全位错沿孪晶界的过早滑移可能诱发材料软化。
本研究通过轧制及后续退火处理,制备了在纳米孪晶界台阶处富含Cr元素的纳米孪晶Ni合金。研究发现,Cr元素的富集能够稳定纳米孪晶界,从而同时提升材料的强度和均匀延伸率。强度的提升可归因于位错沿孪晶界滑移的临界分切应力增加了约86 MPa,该数值通过微型拉伸试验与电子背散射衍射分析联合确定。此外,在塑性应变过程中,Cr元素的富集可作为位错运动的障碍,促进位错在纳米孪晶区域的累积,这对于改善材料的拉伸塑性不可或缺。
2. 文章亮点
1. 首次揭示Cr在纳米孪晶界台阶处的偏析行为及其强化机制
通过轧制与退火工艺,成功在纳米孪晶Ni合金中实现Cr元素在孪晶界台阶处的富集,并证实该偏析能够有效稳定孪晶界,抑制不全位错的过早滑移。
2. 定量测定Cr偏析对孪晶界临界分切应力的贡献
结合微型拉伸试验与EBSD分析,首次定量测定Cr富集使位错沿孪晶界滑移的临界分切应力提高约86 MPa,从力学角度证实了溶质偏析对孪晶界的钉扎效应。
3. 阐明Cr偏析促进位错累积进而提升塑性的微观机制
发现Cr富集区域在塑性变形过程中可作为位错运动的有效障碍,促进位错在纳米孪晶区域大量累积,显著提升加工硬化能力,从而在保持高强度的同时改善材料塑性。
3. 研究背景
纳米孪晶被认为是一种能够同时提高面心立方金属材料强度和塑性的有效微观结构。然而,近期研究表明,纳米孪晶界并非完美平直,而是在其上分布着大量台阶。随着纳米孪晶厚度的减小,高密度台阶的迁移或分解将作为软化模式主导塑性变形,从而导致材料从连续硬化转变为软化。这一现象在变形纳米孪晶界中尤为显著。例如,在通过塑性变形加工的纳米孪晶316L不锈钢中,由于压痕过程中软化模式占主导地位,所测得的纳米孪晶硬度低于Hall-Petch关系预测值。
为防止与台阶相关的不全位错过早激活,开创性研究已表明,在不互溶体系合金中,通过磁控溅射过程中溶质原子在台阶处的偏析,可以有效稳定纳米孪晶界。这些合金在孪晶间距小于10 nm时表现出的连续硬化现象表明,溶质原子在缺陷型纳米孪晶界处的富集能够施加足够的钉扎应力,以阻碍孪晶界上台阶的运动。Li等人证明,在Cu-1.0 at.% Cr合金中,Cr原子在纳米孪晶界和晶界处的偏析使得当孪晶界间距约为2 nm时,硬度持续提高至3.6 GPa。尽管如此,溶质原子在缺陷型纳米孪晶界处富集对硬度提升的定量贡献至今仍未得到阐明。
此外,纳米孪晶合金的加工硬化能力在很大程度上取决于位错在纳米孪晶界上的累积,因此溶质原子富集对位错运动的阻碍效应也可能影响塑性应变过程中的位错动力学。据作者所知,早期研究主要依赖于对纳米孪晶箔片样品进行仪器化纳米压痕测试,以揭示相关的强化效应。因此,溶质原子偏析对位错运动的阻碍作用,及其在提升应变硬化以维持拉伸塑性方面的贡献,亟需通过对块体纳米孪晶样品进行拉伸测试来阐明。
为通过塑性变形制备高密度纳米孪晶的块体样品,本研究选用了一种名义成分为22.68 Cr、13.6 W、2.17 Mo、1.54 Co、1.18 Fe、0.52 Mn、0.28 Al、0.3 Si、0.08 C,余量为Ni的镍合金。较高的W浓度保证了合金具有较低的层错能,有利于轧制过程中变形孪晶的形成。Ni与Cr之间较强的结合能可提供较高的偏析焓,从而驱动后续退火处理过程中Cr向缺陷型纳米孪晶界偏析。该合金的优势在于,通过轧制及后续精确调控的退火处理,实现了块体纳米孪晶样品中溶质原子向孪晶界台阶的偏析。宏观拉伸测试表明,Cr原子的偏析同时提高了纳米孪晶Ni合金的强度和均匀延伸率。此外,微型拉伸测试证明,Cr偏析的存在使不全位错沿纳米孪晶界滑移的临界分切应力提高了约86 MPa,这直接贡献于屈服强度的提升。塑性应变过程中,Cr富集进一步阻碍位错运动,显著提高了加工硬化能力,从而在高强度下维持了拉伸塑性。
4. 图文解析
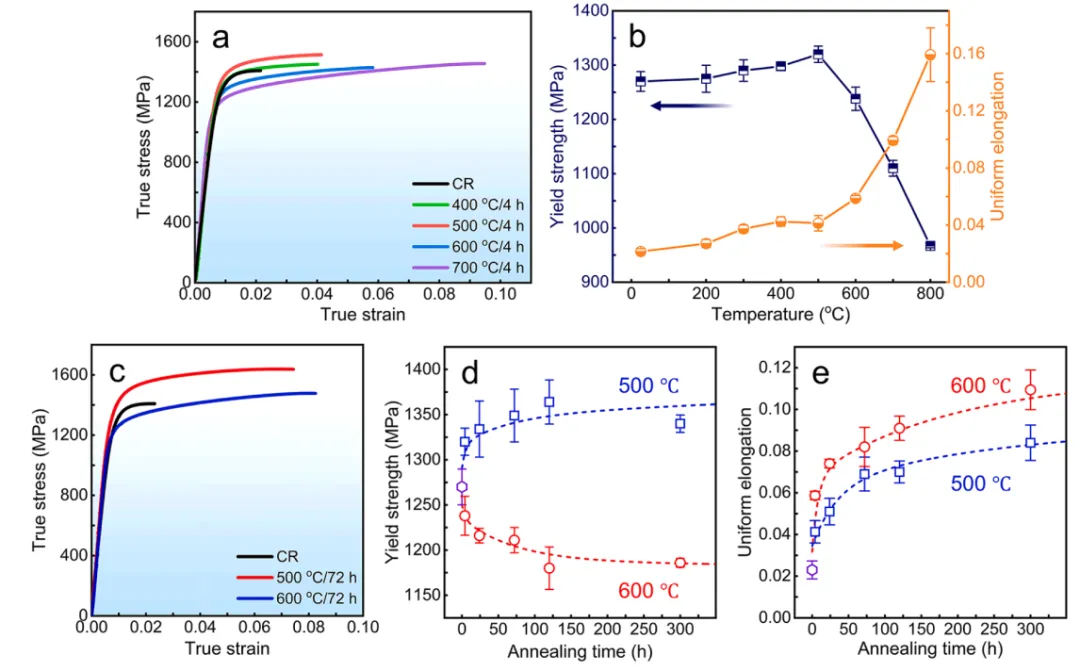
图1. 冷轧态样品的典型微观组织: (a) 纳米孪晶的明场TEM图像及插图SAED花样;(b) 孪晶/基体片层厚度统计分布;(c) 纳米孪晶的HAADF图像及对应各元素的EDS面分布图;(d) 图(c)局部放大显示孪晶界上的台阶;(e) 冷轧态样品各元素的三维重构图像。图2. (a) 冷轧态和不同温度退火4 h样品的应力-应变曲线。(b) 等时退火4 h过程中屈服强度和均匀延伸率的变化。(c) 冷轧态、500°C/72 h和600°C/72 h退火样品的应力-应变曲线。(d) 和(e) 分别为500°C和600°C退火时屈服强度和均匀延伸率随退火时间的变化。图3. 500°C退火24、72和300 h样品的典型微观组织: (a1-c1) 明场TEM图像及插图SAED花样;(a2-c2) 缺陷型纳米孪晶界的HAADF图像及对应的Ni、Cr EDS面分布图;(a3-c3) 图(a2-c2)局部放大显示孪晶界上的台阶;(a4-c4) 沿图(a2-c2)中箭头方向的一维浓度分布图。(d, e) 500°C退火24和72 h样品的APT重构图像及穿越Cr富集区的一维浓度分布图,等浓度面设置为32 at.% Cr。图4. 冷轧态和500°C/72 h退火样品的微观结构特征及微型拉伸工程应力-应变曲线: (a) 和 (b) CR-1和CRA-1样品的反极图、极图和累积取向差图,显示纳米孪晶的对称性。(c) 冷轧态和退火样品的微型拉伸应力-应变曲线,其中深色曲线对应图(a)和(b)中的样品。图5. (a) 冷轧态和500°C/72 h退火样品拉伸前后的SXRD图谱;(b) 计算得到的位错密度,CRT和CRAT分别指冷轧态和退火态样品拉伸后。(c) 500°C/72 h退火样品拉伸变形后纳米孪晶构型及Cr富集区的典型HAADF图像。(d) 沿图(c)中箭头方向的一维浓度分布图。5. 文章结论
本研究探讨了缺陷型纳米孪晶界处Cr偏析对纳米孪晶Ni合金力学性能的影响。研究发现,Cr原子在纳米孪晶界处的偏析使合金同时实现了1350 MPa的高强度和约7%的均匀延伸率。微型拉伸试验定量表明,纳米孪晶界处的Cr富集使沿孪晶界的临界分切应力提高了约86 MPa,这证实了Cr富集对屈服强度的影响。变形后的TEM表征显示,Cr原子的偏析进一步影响了塑性应变过程中的位错运动,促进了位错在纳米孪晶区域的累积,这有助于提高退火样品的均匀延伸率。本工作表明,合金元素在缺陷型孪晶界处的偏析可以稳定孪晶界以获得高强度,并引入额外的应变硬化以维持拉伸塑性。
全文链接
https://doi.org/10.1016/j.scriptamat.2025.116822
声明
以上图文版权归原作者所有。如有侵权,请联系删除。
