
本研究利用苯氧乙醇-柠檬酸体系在温和条件下高效分离竹渣木质素并保留纤维素,通过实验与分子模拟揭示了其促进木质素解聚、调控酶解效率的分子机制,为生物质高值化利用提供了新策略。

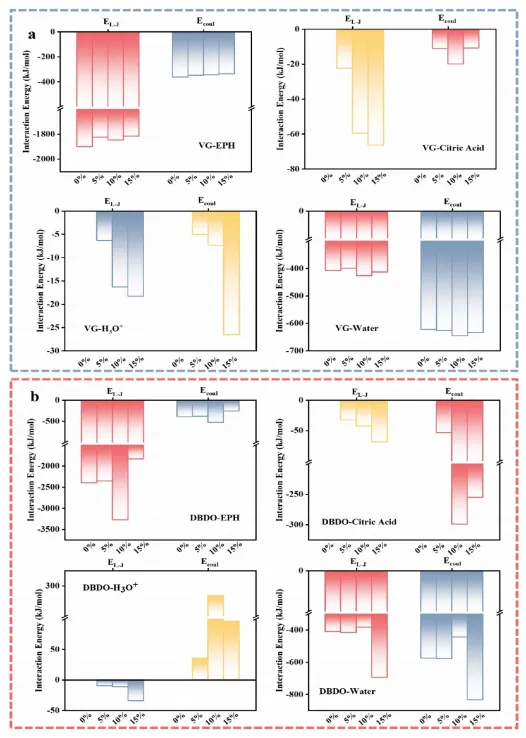
南京林业大学黄曹兴教授采用苯氧乙醇-柠檬酸复合体系处理竹渣,在160℃、10%柠檬酸浓度下可实现67.3%的木质素脱除率、60.4%的半纤维素溶出率和高达95.5%的纤维素保留率;酶解效率随柠檬酸浓度呈先升后降的非单调变化,这主要源于残留木质素与纤维素酶之间非生产性结合的动态变化;分子动力学和密度泛函理论计算揭示,苯氧乙醇通过氢键和范德华力与木质素相互作用,柠檬酸的加入提升了体系极性并增加氢键受体位点,从而强化了木质素的解聚与溶出。该研究为竹渣的高效绿色预处理提供了分子层面的理论支撑和新的高值化利用策略。
相关成果以“Green Biphasic Pretreatment Using Phenoxyethanol Coupled with Citric Acid: Molecular Mechanisms Driving Lignin Removal and Enhanced Cellulase Hydrolysis of Bamboo Residues” 为题发表在《ACS Sustainable Chem. Eng.》上。
01
背景介绍
木质纤维素主要由纤维素、半纤维素和木质素组成,其中纤维素是糖化发酵的核心靶标,但木质素的存在不仅阻碍纤维素酶与底物的接触,还通过疏水作用、氢键、静电力与纤维素酶发生非生产性结合,大幅降低酶解效率。
现有预处理技术各有局限:酸预处理易产生糖降解副产物,抑制后续发酵;碱预处理脱木素效率受试剂成本和环境影响大;有机溶剂预处理脱木素能力强但溶剂回收困难;离子液体、低共熔溶剂等新型绿色溶剂存在成本高、规模化难的问题。
苯氧乙醇(EPH)作为低毒、可回收的芳香族有机溶剂,具有优异的木质素选择性溶解能力;柠檬酸(CA)是天然、可生物降解的有机酸,能温和断裂木质素 - 半纤维素连接键,且腐蚀性低、环境相容性好。二者耦合的双相体系有望实现脱木素效率与纤维素保留的平衡,但二者协同作用的分子机制,尤其是木质素解聚调控及残留木质素与纤维素酶相互作用的规律,尚未被系统阐明。
02
文章摘要
渣的脱木素效果、酶解性能及背后的分子机制。结果表明,在 160℃、10% 柠檬酸浓度条件下,该体系实现 67.3% 的木质素脱除率、60.4% 的半纤维素溶出率,同时纤维素保留率高达 95.5%。
竹渣酶解效率随柠檬酸浓度呈先升后降的非单调变化,动力学吸附分析证实该现象与残留木质素和纤维素酶的非生产性结合变化直接相关:10% 柠檬酸浓度下,木质素 - 纤维素酶结合速率常数从 7.6×10³ 降至 3.5×10³ M⁻¹・s⁻¹,继续加酸则反弹至 6.4×10³ M⁻¹・s⁻¹。分子动力学(MD)和密度泛函理论(DFT)计算揭示,苯氧乙醇主要通过氢键和范德华力与木质素相互作用,柠檬酸的加入提升了体系极性和氢键受体位点,强化了苯氧乙醇 - 木质素相互作用,促进木质素解聚与溶出。本研究为竹渣的高效绿色预处理提供了分子机制解析和技术支撑,也为木质纤维素生物质的高值化利用提供了新策略。
03
文章内容

图1. EPH-CA 预处理对竹渣组分及酶解性能的影响

图2. 生物基 PEFC 与石化基 PET 的原料来源及合成路线对比










04
总结展望
本研究首次系统阐明了苯氧乙醇 - 柠檬酸双相绿色预处理体系对竹渣的脱木素及酶解增效机制,取得了三大核心成果:
确定最优预处理条件:160℃、10% 柠檬酸浓度下,实现高脱木素率(67.3%)、高半纤维素溶出率(60.4%)和高纤维素保留率(95.5%),酶解葡萄糖产率达 56.59%,显著优于传统预处理技术;
揭示酶解非单调变化机制:酶解效率随柠檬酸浓度先升后降的核心原因是残留木质素的结构变化,10% 柠檬酸实现木质素解聚与缩合的平衡,减少其与纤维素酶的非生产性结合,强酸则导致木质素再缩合,加剧非生产性结合;
解析分子协同作用机制:柠檬酸通过质子化提供 “化学驱动力”,弱化木质素醚键稳定性、促进解聚,同时提升体系极性强化 EPH - 木质素相互作用;苯氧乙醇通过氢键、范德华力和 π-π 堆叠提供 “物理萃取力”,稳定木质素解聚片段并促进其在有机相溶出,二者形成 “酸介导木质素键弱化 - 有机溶剂捕获解聚片段” 的双重分子机制。
该研究开发的双相预处理体系兼具绿色、高效、可回收的优势,为竹渣等农林废弃物的高值化利用提供了新的技术方案,也为木质纤维素预处理体系的分子设计提供了理论依据。未来,团队将进一步优化体系的溶剂回收工艺、探索规模化应用路径,并将该技术拓展至秸秆、木屑等其他木质纤维素生物质,为生物质生物炼制的产业化发展提供更全面的技术支撑。
Xiaoxue Zhao, Yan Cheng, Jing Wang, el at. Green Biphasic Pretreatment Using Phenoxyethanol Coupled with Citric Acid: Molecular Mechanisms Driving Lignin Removal and Enhanced Cellulase Hydrolysis of Bamboo Residues, ACS Sustainable Chem. Eng. 2026, 14, 5178−5198.
https://doi.org/10.1021/acssuschemeng.5c14209
内容信息
封面:文章插图
本文内容素材仅作为行业信息传递与交流分享,用户请谨慎考虑和独立判断文中任何观点、意见和结论。欢迎参与投稿分享!如有问题,请联系我们:17306882590(微信),Daria@flink.org.cn。