
钠氧电池理论能量密度高,且钠资源丰富成本低,是下一代储能技术的重要研究方向。传统液态体系存在电解液被超氧自由基分解的问题,还存在漏液、钠枝刺穿透等安全隐患。全固态架构采用陶瓷电解质可解决上述问题,但面临固固界面接触差、阻抗高、力学失配等核心瓶颈。
2026年3月18日,南京大学周豪慎、何平在Journal of the American Chemical Society发表了标题为《Chemical Integration of Multiphase Interfaces in All-Solid-State Sodium−Oxygen Batteries via Monolithic Ceramic Scaffolds》的论文,Hanyun Zhong为论文第一作者,周豪慎、何平为论文共同通讯作者。

论文亮点: 1. 构建一体化多孔致密整块β-氧化铝陶瓷骨架,消除电解质与阴极间宏观物理边界; 2. PECVD法沉积30 nm保形石墨碳层,构建高保真三维电子网络; 3. 阳极引入Bi2O3纳米片介导的反应润湿机制,原位生成梯度混合导电界面; 4. 对称电池实现超过14000 h的超长稳定循环,性能远超未改性体系; 5. 原位表征证实固态环境稳定亚稳态NaO2,抑制歧化副反应,提升可逆性。
📄 全文速览
全固态钠氧(Na−O2)电池的发展,从根本上受到固-固界面强大的化学力学和动力学壁垒的限制。本文报道了一种基于整块双层β-氧化铝架构的高性能室温全固态钠氧电池,通过双界面集成策略重新定义了界面电荷转移。
通过构建一体化多孔致密骨架,消除了电解质与阴极之间的宏观物理边界,建立了无缝低阻离子导电连续体。具体而言,通过等离子体增强化学气相沉积,在阴极骨架内沉积了30 nm厚的保形石墨碳层,构建了高保真电子网络,最大化活性位点利用率。
界面处的原位化学重构和合金化反应生成梯度Na−Bi−O混合导电界面相,有效将金属钠与陶瓷电解质融合,确保长循环稳定(对称电池超过14000 h)。
因此,该电池在室温下可提供前所未有的4012 mA h g−1放电容量,具有优异的可逆性。
原位拉曼光谱和微分电化学质谱证实,固态环境为亚稳态NaO2相提供了独特的动力学稳定,抑制了液态体系中常见的寄生歧化路径。这项工作为复杂多相全固态能源化学中工程化化学集成界面提供了通用蓝图。
📊 图文解读

图1 | 全固态(ASS)Na−O2电池界面工程示意图。(左) 传统全固态Na−O2电池存在离子/电子通量受限、氧气传输受阻、三相边界(TPB)有限、钠润湿性差等问题,导致高界面阻抗和快速失效;(右) 双界面集成全固态Na−O2电池采用多孔-致密双层β-Al2O3支架,结合保形碳网络和Na−Bi−O反应润湿界面相,实现扩展的三相边界、稳定的NaO2以及低阻高可逆运行。多孔 f-Al₂O₃ 支架充当连续的离子传导 “高速公路”,消除了电解质和阴极之间的宏观物理边界,建立了无缝的离子连续体。conformal碳层提供了三维电子网络,最大限度地增加了整个阴极框架中的三相边界,促进了放电产物的受限生长和高效分解。Na-Bi-O界面相作为反应性润湿诱导的混合导电界面相,确保了阳极侧的原子级接触,并使钠离子通量均匀化,以在长期循环过程中保持界面完整性。
传统全固态设计中,固固界面的点接触会限制离子通量并产生巨大界面阻抗。本工作设计的一体化多孔-致密β-Al2O3支架,可作为连续离子传导高速路,消除电解质与阴极间的宏观物理边界,建立无缝离子连续体。
保形碳层提供三维电子网络,最大化阴极骨架内的三相边界,促进放电产物的限制生长与高效分解。Na−Bi−O界面相作为反应润湿诱导的混合导电界面,可确保阳极侧原子级接触,均匀钠离子通量,维持长循环过程中的界面完整性。

图2 | 整块双层β-Al2O3电解质的结构表征。(a) PECVD沉积碳层的拉曼光谱;(b) Tof-SIMS深度 profiling显示碳层厚度;(c, d) 多孔骨架(c)沉积保形碳涂层前后(d)的扫描电镜图;(e) 碳/β-Al2O3界面的横截面透射电镜图;(f) 碳/β-Al2O3界面的高分辨透射电镜图,显示出石墨晶格条纹
多孔骨架经PECVD处理生长保形碳导电网络,拉曼光谱证实碳为部分石墨化。PECVD工艺可在低温下实现纳米级厚度控制,在多孔网络深处实现保形沉积,不会造成过度碳积累和孔隙堵塞。
扫描电镜、能谱、Tof-SIMS等表征共同证实碳在整个多孔骨架中连续均匀分布,碳层厚度约30 nm,不会阻塞大孔,保证氧气有效扩散,最终同时实现高离子导电性和高电子导电性,为高效全固态Na−O2化学建立高保真三相边界。

图3 | 反应性Na−Bi−O界面的表征和电化学稳定性。(a) Bi2O3纳米片涂层的俯视扫描电镜图;(b) Bi2O3/β-Al2O3界面的横截面扫描电镜图和对应能谱图,插图显示涂层后的光学颜色变化;(c) 0.25 mA cm−2下Na−Na对称电池的长期恒电流循环,对比未改性和改性电解质;(d) 与钠接触后界面的XRD图谱;(e) 与钠接触后界面的XPS光谱,识别NaxBi合金和Na2O的生成
将厚度约100 nm的Bi2O3纳米片涂层烧结在致密β-Al2O3表面,可显著改善钠的润湿性,消除界面空隙。
与金属钠接触后,Bi2O3发生原位氧化还原反应,生成NaBi、Na3Bi和Na2O复合界面相,将原本疏钠的物理界面转变为亲钠的化学界面。
电化学测试显示,改性对称电池在0.25 mA cm−2下实现超过14000 h的超长稳定循环,未改性电池则快速短路失效。

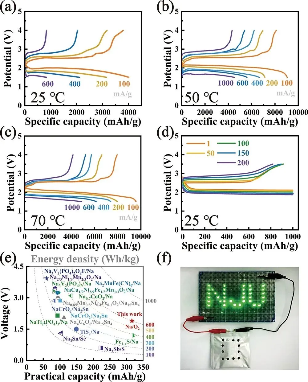
图4 | 全固态Na−O2电池的电化学性能和实用可行性。(a) 25 °C下电流密度从100到1000 mA g−1的恒电流放充电曲线;(b) 50 °C下不同电流密度的恒电流放充电曲线;(c) 70 °C下不同电流密度的恒电流放充电曲线;(d) 室温下固定容量1000 mA h g−1、电流密度100 mA g−1的长循环性能;(e) 本文工作与已报道全固态钠金属电池的实际容量、平均输出电压和重量能量密度的Ragone图对比;(f) 小尺寸全固态Na−O2软包电池在环境条件下成功点亮“NJU”LED阵列的光学照片
本工作组装的全固态Na−O2电池在100 mA g−1电流密度下可提供4012 mA h g−1的超高比容量,未改性电池则存在严重极化,充电过程中提前短路。
室温下,即使在600 mA g−1的高电流密度下,电池仍可维持约900 mA h g−1的可逆容量,在1000 mA g−1、70 °C下可提供4906 mA h g−1的超高容量。
在1000 mA h g−1固定容量下可稳定循环200圈,过电位几乎无增加,组装的软包电池可成功点亮LED阵列,实际能量密度可达596 W h kg−1,显著优于已报道全固态钠电池。

图5 | 全固态Na−O2电池的机理分析。(a-c) 阴极形貌演变的扫描电镜表征:(a) 原始态、(b) 完全放电态、(c) 再充电态阴极的俯视扫描电镜图;(d) 放电产物的原子级结构识别:放电产物的高分辨STEM图,插图为对应选区电子衍射图;(e,f) 原位气体演化动力学:(e) 放电和(f) 充电过程中的DEMS分析;(g) 界面动力学演化:不同放电充电状态下的原位EIS谱;(h) 体相电阻(Rbulk)、界面电阻(Rif)和电荷转移电阻(Rct)的演化;(i) 原位拉曼光谱显示NaO2信号(~1154 cm−1)的出现和消失,未检测到Na2O2
形貌演变表征显示,放电后多孔骨架内形成均匀分布的约100 nm结晶颗粒,充电后颗粒完全分解,阴极恢复原始状态,证实优异的电化学可逆性。
高分辨STEM和选区电子衍射明确识别放电产物为结晶NaO2,原位拉曼光谱在放电过程中捕捉到NaO2的特征O-O伸缩信号,未检测到Na2O2信号。
DEMS测试证实放电充电过程中e−/O2比接近1,为高度可逆的单电子氧化还原化学提供了明确证据。原位EIS显示,充电后阻抗逐渐降低,证明产物完全分解,电荷传输路径恢复,验证了结构的稳定性。
📝 总结
综上,本文开发了一种高性能全固态Na−O2电池,通过设计整块双层β-Al2O3陶瓷电解质,将固-固界面重新定义为化学连续体。
该架构建立了无缝离子传导通道,室温Na+电导率可达5.8 × 10−4 S cm−1,有效消除了机械混合体系中常见的晶界电阻。
研究发现,金属钠润湿性这一长期挑战可通过Bi2O3夹层诱导的反应润湿机制解决。
阳极界面的原位化学重构形成梯度Na−Bi−O混合导电界面相,降低了界面电阻,使对称电池实现超过14000 h的超长循环稳定性。阴极侧,PECVD得到的约30 nm保形碳“层”在整个多孔骨架上建立了坚固的电子网络,不影响氧气扩散路径。
除了在室温下获得破纪录的4012 mA h g−1放电容量,本文的原位表征包括拉曼和DEMS,对放电产物的稳定化提供了深刻见解。
电池在固定容量1000 mA h g−1下可维持超过200次循环的优异稳定性,过电位低至0.5 V。这些结果证实了界面工程提升全固态Na−O2电池性能的有效性。
研究证实,固态环境通过消除液相溶剂化效应,有效抑制了亚稳态NaO2的歧化,从而保证了高度可逆的单电子氧化还原化学。这些发现为合理设计化学集成界面提供了通用蓝图,为安全、高能量密度的全固态储能系统铺平了道路。
【文献信息】 Chemical Integration of Multiphase Interfaces in All-Solid-State Sodium−Oxygen Batteries via Monolithic Ceramic Scaffolds, Journal of the American Chemical Society, 2026, https://doi.org/10.1021/jacs.6c00021
#南京大学#周豪慎#何平#JACS#固态电池#原位表征#氧化还原反应#电池容量

