


专注临床科研一对一教学
咨询微信:wzp1670423539




吴老师解读
一、背景
乳腺癌是全球范围内女性最常见的癌症之一。研究表明,植物性饮食可能有助于降低乳腺癌的风险,但其对乳腺癌相关死亡率的影响尚不明确。因此,探讨植物性饮食模式和微量营养素摄入与乳腺癌发病率及全因死亡率的关联具有重要意义。
二、目的
本研究旨在:
探讨健康植物性饮食指数(Healthful Plant-Based Diet Index, HPDI)与微量营养素摄入对乳腺癌发病率的影响。
评估植物性饮食模式对乳腺癌患者的生存结果(即乳腺癌相关死亡率)的影响。
三、方法
数据来源
本研究使用了两个大型数据集:
英国生物样本库(UKB):包含67,045名无癌参与者和3,397名乳腺癌患者的数据。
中国纵向健康长寿调查(CLHLS)。
分析方法
采用多元Cox回归分析,限制立方样本(restricted cubic splines)以及一系列预测模型(如一致性指数、随机森林和时间依赖ROC)来评估饮食评分与微量营养素摄入的关联性。
四、结果
乳腺癌发病率
在67,045名无乳腺癌的参与者中,最高HPDI末位数与乳腺癌风险降低11%相关(风险比HR = 0.89, 95%置信区间: 0.82–0.98)。相应地,最低末位数的相对风险(HR = 0.96, 95% CI: 0.93–1.00)显示出4%的降低。
乳腺癌患者的死亡率
在3,397名乳腺癌患者中,最高HPDI的风险显著降低28%(HR = 0.72, 95% CI: 0.55–0.95),而中位末位数的风险降低为11%(HR = 0.89, 95% CI: 0.79–1.00)。

其他饮食模式
高植物性饮食指数(PDI)评分的个体癌症风险降低39%(HR = 0.61, 95% CI: 0.41–0.92)。

微量营养素的影响
摄入更高的维生素B2、C、钙和镁与较低的风险和死亡率相关。相反,每增加一次盐分摄入,死亡率上升15%(HR = 1.15, 95% CI: 1.01–1.32)。

预测模型效果
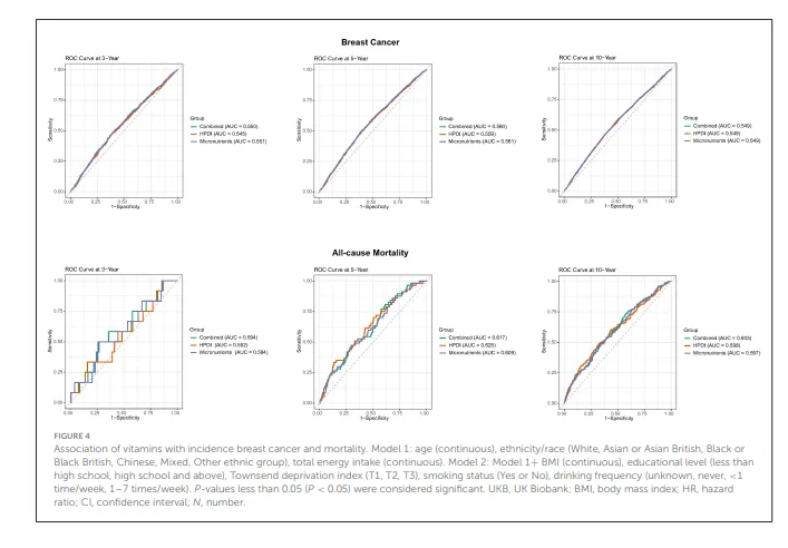
预测模型显示,五年预后表现最佳。微量营养素在不同时间点对乳腺癌风险的预测效果最佳,而HPDI在五年死亡率预测中表现最佳(AUC = 0.625)。合并模型在十年预后方面表现更优。

五、结论
研究结果表明,高度依从健康植物性饮食,加上关键微量营养素的充足摄入和减少钠的消费,可能对乳腺癌的预防及提高生存结果具有积极影响。这些发现为未来的饮食干预提供了重要的理论依据,并可能为改善乳腺癌患者的预后提供指导。
小结
这项研究通过分析大型人群数据,揭示了植物性饮食和微量营养素摄入对乳腺癌的预防和生存的影响。研究的结果强调了健康饮食习惯的重要性,不仅在癌症的预防中,也在提高患者生存率方面发挥着重要作用。通过对今后饮食研究的开展,可以进一步深化对癌症与饮食关系的理解。
如何快速学会开展这类研究
第一步:理解研究背景
乳腺癌流行病学
乳腺癌是全球女性中最常见的癌症之一,了解其风险因素、预防方法及治疗效果是重要的研究领域。
植物性饮食的潜力
数据表明植物性饮食可能降低某些癌症的风险,但对乳腺癌相关死亡率的影响尚不明确。理解这一背景非常关键。
第二步:明确研究目标
研究问题
本研究旨在探讨植物性饮食模式(如健康植物性饮食指数HPDI)和微量营养素的摄入量对乳腺癌发病率及死亡率的影响。
假设建立
假设可以包括“高植物性饮食摄入与乳腺癌风险降低相关,并可能改善患者的生存率”。
第三步:研究设计
选择数据来源
使用大型数据库,例如:
英国生物样本库(UKB):包含大量无癌参与者和乳腺癌患者的数据。
中国纵向健康长寿调查(CLHLS):侧重于健康与营养的长期跟踪研究。
确定研究对象
招募健康参与者和乳腺癌患者,以便能够比较不同饮食模式对群体的影响。
第四步:数据收集
饮食评估工具
使用健康植物性饮食指数(HPDI)评估参与者的饮食模式。
收集微量营养素摄入的数据,特别关注维生素B2、C、钙和镁等。
数据记录
记录参与者的基本信息,包括年龄、性别、病史、饮食习惯等,以便后续分析。
第五步:数据分析
选择统计方法
使用多元Cox回归分析来评估饮食与癌症风险和死亡率之间的关系。这种方法适合处理生存数据。
采用限制立方样本(Restricted Cubic Splines)使得模型更加灵活,以捕捉非线性关系。
建立预测模型
运用随机森林和时间依赖ROC等预测模型,评估不同因素对乳腺癌风险的预测能力。
第六步:结果解读
核心结果总结
确定HPDI与乳腺癌发病率和死亡率之间的具体关联,例如:“最高HPDI末位数与乳腺癌风险降低11%相关”。
微量营养素的影响
关注关键微量营养素的摄入如何影响生存率与风险,例如,了解维生素B2和C摄入量增加与风险和死亡率的反比关系。
第七步:撰写研究论文
结构安排
确保论文包含关键部分:
摘要:简要概述研究背景、目的、方法、结果与结论。
引言:详细阐述研究背景及其重要性。
方法:说明数据来源、样本选择及分析方法。
结果:全面展示分析结果,采用表格和图形提高可读性。
讨论与结论:总结研究发现的重要性,讨论临床影响与未来研究方向。
第八步:分享与传播
学术交流
将研究成果提交至相关学术期刊,争取发表,或者参加学术会议进行展示,与同行分享发现。
寻求反馈
收集同行的意见与建议,以改进研究的设计和实施,为后续研究提供反馈。
统计学知识点解读
1. 样本和数据来源
样本量:
本研究使用了两个大型数据集:
UK Biobank(67,045名癌症自由参与者和3,397名乳腺癌患者);
中国纵向健康长寿调查(CLHLS)。样本量的足够大有助于提高研究结果的可靠性和代表性。
2. 数据收集工具
健康植物性饮食指数(HPDI):
用于量化参与者的植物性饮食模式,通常以问卷形式收集其饮食习惯和食品摄入频率。
微量营养素摄入:
评估参与者摄入的维生素和矿物质,如维生素B2、C、钙和镁等,以及钠的摄入量。
3. 统计分析方法
多元Cox回归分析:
一种用于生存分析的统计方法,适用于评估时间到事件(如乳腺癌发病或死亡)的变量间的关系。Cox回归分析不要求事件数据的分布符合特定假设。
风险比(Hazard Ratio, HR):
通过Cox回归模型得到的结果,HR < 1表示相应组的风险降低,HR > 1则表示风险增加。例如,在研究中,HR = 0.89表示风险降低了11%。
置信区间(Confidence Interval, CI):
指定一个范围,表示在一定置信水平(如95%)下,样本统计值的真实值可能落在此区间内。如HR = 0.89, 95% CI: 0.82–0.98,表明我们有95%的信心真实值在这个区间内。
4. 预测模型
限制立方样本(Restricted Cubic Splines):
用于处理非线性关系,使得模型更加灵活,以捕捉不同变量之间复杂的关系。
随机森林:
一种集成学习方法,通过创建多个决策树以提高分类或回归的准确性,适合处理大规模和复杂的数据集。
时间依赖受试者工作特征曲线(time-dependent ROC curve):
评估模型在不同时间点的预测能力。曲线下面积(AUC)指标用于量化模型的性能。
5. 微量营养素的影响
反向关联:
指某些饮食成分(如维生素B2、C、钙和镁)的摄入量越高,乳腺癌的风险和死亡率越低。
增加风险(HR = 1.15):
每增加一个标准差的钠摄入,死亡率增加15%,表明过量钠与健康风险的正相关。
6. 结果表达与解读
AUC(曲线下面积):
指代预测模型在区分不同结果(如生存和死亡)中的有效性。AUC = 0.625表示模型在乳腺癌死亡率预测中具有一定的效能。
祝大家发文顺利,有什么不懂可以在评论区留言,吴老师尽量解答!零基础的同学可以咨询一对一辅导,快速发表SCI文章!
吴老师微信:wzp1670423539
看网课摸索毫无效率?点击⬇️链接报名一对一定制SCI论文学习!迅速发表自己的SCI论文!
0基础临床数据发SCI!手把手教学!1对1全程教学指导报名流程!
MedAdvances专注医护人员的临床科研教育与一对一个体化辅导,提供一对一SCI全程辅导,让科研小白几个月学会从0到1发表论文。常见公共数据库(NHANES/GBD/CHARLS/CLHLS等)和自有临床数据均可。




感兴趣请扫描文末吴老师的二维码具体咨询如何加入SCI论文辅导项目。
本期编辑




你的分享、点赞、在看
我都喜欢



喜迎财神
事事顺利发大财,
发SCI更是旺到底!