当前位置:首页>南京>南京林业大学陈国教授:竹集成材-竹胶板钉连接节点剪切性能研究

南京林业大学陈国教授:竹集成材-竹胶板钉连接节点剪切性能研究

  • 2026-04-10 03:38:34
南京林业大学陈国教授:竹集成材-竹胶板钉连接节点剪切性能研究

竹集成材-竹胶板钉连接节点剪切性能研究

陈国1,2,张鹏1,应飞飞1,朱文丽1,陈烽城1

(1. 南京林业大学土木工程学院,南京 210037; 2. 南京林业大学江苏省竹木固碳材料与结构技术工程研究中心,南京 210037)

关键词

竹集成材; 竹胶板; 钉节点; 抗剪性能; 荷载-位移本构模型

摘 要

木桁架因其承载能力较低和刚度不足,在遭受破坏时易发生整体垮塌,这对人员和财产构成了严重的威胁。提出了一种新型的竹桁架结构,采用竹集成材(laminated bamboo lumber,LBL)作为上弦杆、下弦杆以及腹杆,节点连接采用钉接竹胶板(bamboo plywood,BP)的方式。然而,BP-LBL钉节点的力学性能尚不明确,这成为其在工程中广泛应用的关键瓶颈。为研究BP-LBL钉节点的受力性能,以荷载与LBL顺纹的夹角α以及荷载与BP板主轴的夹角θ为参数,开展顺(横)纹节点的单调加载试验,获取其破坏模式、承载力、刚度和延性。结果表明,尽管部分顺纹试件发生了BP板断裂和块剪破坏,但仍以钉子“双铰”破坏为主。横纹试件的破坏形态与顺纹试件基本一致,部分试件发生了钉子穿透节点板的破坏,且BP板发生了层裂。试件破坏前均有明显的征兆,延性系数大于6,表现为高延性的特征。BP-LBL钉节点的极限承载力随着夹角αθ的增大而呈下降趋势,但初始刚度无显著差异。荷载-位移曲线无明显屈服点,屈服荷载与极限荷载的比值为48.83%~59.87%。Folz模型可以较好地反映钉节点从开始加载至最终破坏的全过程。

木结构建筑

木结构建筑以其卓越的抗震能力和舒适宜人的居住环境而成为公众瞩目的焦点。然而,木材资源供应不足和地理分布不均严重限制了木结构在我国的发展。为应对这一挑战,研究人员提出“以竹代木”的策略,旨在减少对进口材的依赖。

我国的竹林种植面积和蓄积量均居世界首位,这为竹结构的持续健康发展提供了充裕的原材料资源。特别是以竹集成材(laminated bamboo lumber,LBL)和竹胶板(bamboo plywood,BP)等为代表的工程竹材克服了天然竹直径小、内部中空和变异性大的缺点,为建筑行业带来了新的发展机遇。

节点的重要性体现在其作为不同构件相互联接的关键点,对于结构的荷载分配、稳定性以及抗震性能产生重要影响。木结构常见的连接方式包括榫卯连接、销连接以及齿板连接等。其中,金属齿板节点具有造价低、传力明确和施工便捷等特点,常用于木桁架节点和木构件接长,通过嵌入木材内部的板齿传递面内荷载,其性能直接决定了桁架的承载力和变形特性。

木桁架的损坏往往始于节点失效,进而导致桁架发生垮塌以及严重的人员伤亡和财产损失。

·王滋等和Guo等认为节点形式对金属齿板的破坏模式有显著影响,并发现了4种破坏形式,即齿拔出破坏、木材接缝处开裂、齿板翘曲破坏、齿板拉断。

·何敏娟等研究了木结构正交主轴金属齿板连接节点的齿板极限承载力以及齿抗滑移承载力,结果表明,齿板首先屈服,随后齿板与木材发生分离并丧失承载能力。

然而,工程竹的硬度明显高于木材,齿板在嵌入过程中容易发生倾斜,从而无法顺利进入竹材内部; 同时,竹材与齿板之间存在明显缝隙,这在一定程度上降低了节点的承载能力。

综上,目前的研究主要集中在齿板连接木(竹)节点,较少涉及LBL桁架节点。为此,提出一种采用LBL作为上(下)弦杆和腹杆的竹桁架,节点处采用钉接的BP板,但BP-LBL钉节点的力学性能尚不明确,这是制约其工程应用的紧迫问题。通过对40个钉节点试件进行单调加载试验,研究节点的破坏模式、荷载-位移变化规律和承载能力,提出钉节点承载力计算公式。在试验的基础上,研究荷载-位移本构模型,以期为BP-LBL钉节点的工程应用提供参考。

1 试验概况

1.1材料性能

试验涉及的材料包含LBL规格材、BP板以及钢钉。LBL由广州楠竹王竹业有限公司提供,其密度、抗压强度、抗拉强度和弹性模量分别为750 kg/m3、56.3 MPa、107.7 MPa和10 200 MPa。BP板购自临沂久筑建材有限公司,尺寸为1.22 m×2.44 m,厚度为10 mm,实测其密度为785 kg/m3。定义BP板的纵向(长度方向)为主轴,横向(宽度方向)为次轴。试验用钢钉为光圆杆身,长25 mm,直径2.2 mm,抗弯强度为455 MPa。

销槽承压强度是评估销轴类连接承载力的关键参数,受销槽尺寸、木(竹)种类、纹理方向等因素的影响。参照ASTM D5764-97a(2018)“Standard test method for evaluating dowel-bearing strength of wood and wood-based products”,采用“半孔法”对直径为2.2 mm的LBL和BP销槽进行测试,LBL顺纹向和横纹向的销槽承压强度分别为64.5和78.8 MPa,而BP板主轴和次轴的销槽承压强度分别为104.5和89.76 MPa。

1.2试件设计

桁架节点板设计往往采用对称布置的方式,使得载荷在结构中均衡分布,显著降低了偏心负载导致的应力和形变。LBL规格材位于钉节点试件中部,BP板作为节点板对称布置于两侧,二者通过均匀布置的钢钉连接。为获得钉节点试件的极限承载力和抗滑移性能,参照GB/T 50329—2012《木结构试验方法标准》,考虑荷载与LBL顺纹向的夹角α以及荷载与BP板主轴夹角θ的影响,设计了4种类型试件,重复试件数为10个,如表1所示。试件编号中L和B分别为LBL和BP的首字母,前后数字分别表示荷载与LBL顺纹向的夹角以及荷载与BP主轴的夹角。例如,编号为L0B0的试件表示荷载平行于LBL顺纹和BP主轴,L90B0试件表示荷载垂直于LBL顺纹且平行于BP主轴。其中,L0B0和L0B90为顺纹试件组,而L90B0和L90B90为横纹试件组。

在欧美的现代轻型木结构建筑领域,标准的墙骨柱和桁架等构件通常实际尺寸为38 mm×89 mm。为了更好地适应我国的建筑规范以及满足本土的施工实践需求,国内对此进行了调整,采用40 mm×90 mm的规格,从而确保木结构建筑在国内的适用性和规范性。L0B0和L0B90试件水平向LBL的长度lh为200 mm,在距LBL端部50 mm处中部预钻直径为20 mm的圆孔。对于L90B0和L90B90试件,竖直向LBL的长度lv和水平向LBL的长度lh分别为200和300 mm,在竖向LBL端部预钻直径为20 mm的圆孔,如图1所示。

在木(竹)结构工程实践中,当被钉构件的密度大于600 kg/m3时,直接锤击钉子容易导致其在穿透过程中发生弯曲破坏或损坏。将LBL和BP精确定位后,利用手电钻从侧面同时在BP板和LBL上进行打孔作业,孔深控制在钉长度的90%左右,孔径约为钉直径d的80%(图2)。为防止节点发生过早的脆性破坏,本研究中LBL和BP的端距分别为20和10 mm,其余间距均为10 mm。

在木(竹)结构工程实践中,当被钉构件的密度大于600 kg/m3,直接锤击钉子容易导致其在穿透过程中发生弯曲破坏或损坏。将LBL和BP精确定位后,利用手电钻从侧面同时在BP板和LBL上进行打孔作业,孔深控制在钉长度的90%左右,孔径约为钉直径d的80%(图2)。为防止节点发生过早的脆性破坏,本研究中LBL和BP的端距分别为20和10 mm,其余间距均为10 mm。

1.3加载方案

利用最大载荷能力为50 kN的万能试验机进行钉节点受剪试验,如图3所示。将顺纹试件L0B0和L0B90两端的LBL与U形夹具通过螺栓连接,具体连接方式如图3a所示,在试件两侧对称安装2个位移计以测量钉节点的相对剪切位移。图3b为横纹试件L90B0和L90B90的加载装置,竖向LBL的连接方式类似于顺纹试件的加载装置。水平向的LBL平放于T形钢底座中部,LBL顶面设置一对厚10 mm的可滑动钢板并通过4个螺栓与底座相连,在试件两侧对称布置一对位移计以实时监测竖向构件和水平构件的相对滑移。将组装好的试件和夹具置于试验机的夹头内并进行几何对中,以确保作动器对试件施加垂直竖向荷载。参考ASTM D1761-12“Standard test methods for mechanical fasteners in wood”的要求,全程采用位移控制方式进行加载,加载速率恒定为2 mm/min。利用DH3816N静态应变测试系统自动记录试验机荷载和位移计数据,采样频率为1 Hz,当荷载降至85%Fmax(Fmax为最大荷载)或试件出现严重破坏时停止试验。

2 结果与分析

2.1破坏模式

顺纹试件和横纹试件的破坏形态无显著差异,典型破坏模式为钢钉“双铰”破坏、BP板断裂以及钢钉穿透BP板,少部分试件发生了块剪破坏。

顺纹试件以钉子“双铰”破坏为主(图4a),钢钉在LBL和BP内部形成塑性铰,表现出典型的延性破坏特征,这是一种比较理想的破坏模式。然而,钉孔的存在不可避免地削弱了BP板的截面强度,尤其在孔洞周围,应力集中现象尤为显著。这是因为孔洞的存在破坏了材料的连续性,使得该区域的应力分布不均,从而极易诱发裂纹的形成。同时,孔洞的存在减小了BP板的有效截面面积,进而降低了结构的抗拉性能,最终可能导致钉孔附近的BP板在荷载作用下被拉断(图4b)。BP板内部的竹篾纤维纵横交错,其间散布着一定数量的不规则孔隙,这是在生产过程中造成的。当节点板端部钉孔附近存在孔隙时,在剪切力作用下,节点板可能会出现块剪破坏(图4c)。

大多数横纹试件破坏时呈现与顺纹试件相似的破坏模式,即钉子“双铰”破坏,如图5a所示。在个别试件加载过程中,观察到BP板发生断裂(图5b),其产生原因与顺纹试件类似。LBL-BP钉节点的承载能力源于钢钉阻止竖向和水平向的LBL构件发生相对滑移,进而使钉节点能够有效抵抗侧向荷载。随着荷载的增加,钉子逐渐弯曲并遭受斜向节点内的“拉拽”力,当钉帽下方的LBL承受的压应力超过BP板的极限压应力时,孔周区域的竹篾纤维会出现局部承压破坏。钉帽缓慢嵌入BP板中,直至穿透BP板(图5c),这一过程伴随着竹篾连续的断裂声,同时,BP发生了层裂,但板面并未出现其他可见裂缝。

2.2荷载-位移曲线

4种类型试件的荷载-位移曲线见图6,表现出相似的变化规律。荷载-位移曲线主要分为3个阶段:①加载初期,荷载增长迅速,荷载-位移曲线基本呈线性关系; ②当荷载达到0.5Fmax~0.6Fmax时增速变缓,钉杆发生塑性变形; ③加载至最大荷载Fmax后,钉子发生“双铰”破坏,试件荷载开始下降,但降速较慢,尽管个别试件的BP板发生了局部断裂破坏,但试件的承载力并未迅速降低,仍有较高的承载力。

2.3承载力

主要试验结果如表2所示,试件的极限荷载和屈服荷载与夹角α和θ密切相关。当θ=0°时(L0B0和L0B90),L0B0试件的承载力略高于L90B0,增幅约为11.83%。而在荷载与LBL的夹角α为90°的情况下,L0B90的承载力比L90B90高15.37%。这一趋势表明,试件的承载能力随着夹角α的增加而呈现下降趋势。

L0B0和L0B90的承载力分别为6.71和6.08 kN,前者的承载力相较于后者提高了10.36%。这种差异主要是BP板主(次)轴力学强度的差异所致,主轴强度值较次轴高11.64%。同样地,L90B0的承载力也略高于L90B90,其增幅达到了13.85%。这表明钉节点的极限承载能力随着荷载与BP板主轴夹角θ的增加而逐渐降低。

已有研究表明,不同于传统的钢结构和混凝土结构,木(竹)结构销类节点的荷载-位移曲线无明显屈服点。参照LY/T 2377—2014《木质结构材料用销类连接件连接性能试验方法》,LBL-BP钉节点屈服荷载Fy采用“5%销直径”法确定,定义荷载-位移曲线上0.1Fmax和0.4Fmax两点的割线刚度为初始刚度K0,将这两点的连线沿横坐标向右平移5%钉直径。当该直线与实测曲线相交且交点小于极限荷载Fmax时,取该交点为屈服荷载Fy; 若该直线未与荷载-位移曲线相交,或该交点位于曲线的下降段时,则认定极限荷载Fmax为屈服荷载Fy。顺纹试件的屈服荷载略高于横纹试件,其屈服荷载与极限荷载的比值为48.83%~59.87%,平均值为52.22%。鉴于钉子的布置方式相同,且弹性阶段的节点保持刚性,因此,在弹性变形范围内,顺纹试件与横纹试件的刚度基本一致。

位移延性μ是描述结构或构件屈服后,能够继续发生变形而不发生突然断裂或倒塌的能力,定义为极限位移与屈服位移之比。钉节点的位移延性均大于6,展现出高延性的特性,这与试件破坏前出现的明显征兆相吻合。

2.4本构关系

为量化木结构连接中的荷载-滑移关系,研究者们提出了非线性理论分析模型,旨在建立数学表达式来描述这种滑移行为,包括Foschi模型、Folz模型和Hassanieh模型。

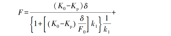
Foschi于1974年提出木结构钉节点的荷载-位移本构模型:

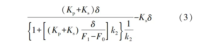
Hassanieh根据钢-木组合螺栓节点推出试验结果,提出了考虑不同阶段节点刚度影响的荷载-滑移本构理论模型公式:

式中:KpKs分别为节点塑性阶段和破坏阶段的刚度,kN/mm; F1为破坏前渐近线在Y轴的截距,kN; k1k2为常系数。

荷载-位移曲线理论模型与实测曲线结果对比见图7。拟合优度是评估统计模型与实际观测数据吻合程度的关键指标,而决定系数(R2)是衡量拟合优度的核心指标之一,表示模型解释的变异性的比例。R2的取值范围为0~1,其值越接近1,表示模型的拟合效果越佳。

各试件的Foschi模型、Folz模型和Hassanieh模型的决定系数如表3所示。Hassanieh模型可以较好地模拟LBL-BP钉节点荷载-位移曲线的上升段。由于Folz本构模型的第一个分段函数采用了与Foschi模型相同的表达式,因此,这2个模型的预测结果完全一致,均略低于实测的荷载-位移曲线。然而,Foschi模型没有下降段,显然高估了破坏阶段的荷载值,无法真实反映钉节点此阶段的滑移性能。尽管Hassanieh模型结果与试验曲线的误差较小,但并不太适合进行手算分析。综上所述,Folz模型较好地模拟了钉节点从开始加载至最终破坏各个阶段的受力变形性能,可为有限元分析提供依据。

结论

1)顺纹试件和横纹试件的破坏形态无显著差异,典型破坏模式为钢钉“双铰”破坏、BP板断裂以及钢钉穿透BP板,部分试件发生了块剪破坏以及节点板层裂。

2)试件的极限荷载和屈服荷载与夹角αθ密切相关。试件的承载力随着夹角αθ的增大而降低,顺纹试件的承载力比横纹试件的承载力高约11.83%,屈服荷载与极限荷载的比值平均为52.22%。

3)顺纹试件和横纹试件的初始刚度基本一致,延性系数μ均大于6,破坏前有明显的征兆,表现出高延性的破坏特征。延性系数和初始刚度与节点受力形式无关。

4)Foschi模型无下降段,明显高估了BP-LPL钉节点下降段的力学性能。Hassanieh和Folz模型能够较好地预测节点各阶段的荷载-位移发展趋势,但Folz模型更适合进行手算分析。

责任编辑:莫弦丰

该文发表于《林业工程学报》2026年第1期。

引文格式:

陈国,张鹏,应飞飞,等.竹集成材-竹胶板钉连接节点剪切性能研究[J].林业工程学报,2026,11(1):172-179.

CHEN G,ZHANG P,YING F F,et al.Study on shear performance of laminated bamboo lumber-bamboo gusset plate nailed connections[J].Journal of Forestry Engineering,2026,11(1):172-179.

更多精彩推荐,请关注我们

把时间交给阅读

图片来源于网:Rachel

最新文章

随机文章

基本 文件 流程 错误 SQL 调试
  1. 请求信息 : 2026-04-17 22:21:04 HTTP/2.0 GET : https://b.460.net.cn/a/523782.html
  2. 运行时间 : 0.089035s [ 吞吐率:11.23req/s ] 内存消耗:4,437.90kb 文件加载:140
  3. 缓存信息 : 0 reads,0 writes
  4. 会话信息 : SESSION_ID=adee6b3e52c72b4d8e94b29297af6a44
  1. /yingpanguazai/ssd/ssd1/www/b.460.net.cn/public/index.php ( 0.79 KB )
  2. /yingpanguazai/ssd/ssd1/www/b.460.net.cn/vendor/autoload.php ( 0.17 KB )
  3. /yingpanguazai/ssd/ssd1/www/b.460.net.cn/vendor/composer/autoload_real.php ( 2.49 KB )
  4. /yingpanguazai/ssd/ssd1/www/b.460.net.cn/vendor/composer/platform_check.php ( 0.90 KB )
  5. /yingpanguazai/ssd/ssd1/www/b.460.net.cn/vendor/composer/ClassLoader.php ( 14.03 KB )
  6. /yingpanguazai/ssd/ssd1/www/b.460.net.cn/vendor/composer/autoload_static.php ( 4.90 KB )
  7. /yingpanguazai/ssd/ssd1/www/b.460.net.cn/vendor/topthink/think-helper/src/helper.php ( 8.34 KB )
  8. /yingpanguazai/ssd/ssd1/www/b.460.net.cn/vendor/topthink/think-validate/src/helper.php ( 2.19 KB )
  9. /yingpanguazai/ssd/ssd1/www/b.460.net.cn/vendor/topthink/think-orm/src/helper.php ( 1.47 KB )
  10. /yingpanguazai/ssd/ssd1/www/b.460.net.cn/vendor/topthink/think-orm/stubs/load_stubs.php ( 0.16 KB )
  11. /yingpanguazai/ssd/ssd1/www/b.460.net.cn/vendor/topthink/framework/src/think/Exception.php ( 1.69 KB )
  12. /yingpanguazai/ssd/ssd1/www/b.460.net.cn/vendor/topthink/think-container/src/Facade.php ( 2.71 KB )
  13. /yingpanguazai/ssd/ssd1/www/b.460.net.cn/vendor/symfony/deprecation-contracts/function.php ( 0.99 KB )
  14. /yingpanguazai/ssd/ssd1/www/b.460.net.cn/vendor/symfony/polyfill-mbstring/bootstrap.php ( 8.26 KB )
  15. /yingpanguazai/ssd/ssd1/www/b.460.net.cn/vendor/symfony/polyfill-mbstring/bootstrap80.php ( 9.78 KB )
  16. /yingpanguazai/ssd/ssd1/www/b.460.net.cn/vendor/symfony/var-dumper/Resources/functions/dump.php ( 1.49 KB )
  17. /yingpanguazai/ssd/ssd1/www/b.460.net.cn/vendor/topthink/think-dumper/src/helper.php ( 0.18 KB )
  18. /yingpanguazai/ssd/ssd1/www/b.460.net.cn/vendor/symfony/var-dumper/VarDumper.php ( 4.30 KB )
  19. /yingpanguazai/ssd/ssd1/www/b.460.net.cn/vendor/topthink/framework/src/think/App.php ( 15.30 KB )
  20. /yingpanguazai/ssd/ssd1/www/b.460.net.cn/vendor/topthink/think-container/src/Container.php ( 15.76 KB )
  21. /yingpanguazai/ssd/ssd1/www/b.460.net.cn/vendor/psr/container/src/ContainerInterface.php ( 1.02 KB )
  22. /yingpanguazai/ssd/ssd1/www/b.460.net.cn/app/provider.php ( 0.19 KB )
  23. /yingpanguazai/ssd/ssd1/www/b.460.net.cn/vendor/topthink/framework/src/think/Http.php ( 6.04 KB )
  24. /yingpanguazai/ssd/ssd1/www/b.460.net.cn/vendor/topthink/think-helper/src/helper/Str.php ( 7.29 KB )
  25. /yingpanguazai/ssd/ssd1/www/b.460.net.cn/vendor/topthink/framework/src/think/Env.php ( 4.68 KB )
  26. /yingpanguazai/ssd/ssd1/www/b.460.net.cn/app/common.php ( 0.03 KB )
  27. /yingpanguazai/ssd/ssd1/www/b.460.net.cn/vendor/topthink/framework/src/helper.php ( 18.78 KB )
  28. /yingpanguazai/ssd/ssd1/www/b.460.net.cn/vendor/topthink/framework/src/think/Config.php ( 5.54 KB )
  29. /yingpanguazai/ssd/ssd1/www/b.460.net.cn/config/app.php ( 0.95 KB )
  30. /yingpanguazai/ssd/ssd1/www/b.460.net.cn/config/cache.php ( 0.78 KB )
  31. /yingpanguazai/ssd/ssd1/www/b.460.net.cn/config/console.php ( 0.23 KB )
  32. /yingpanguazai/ssd/ssd1/www/b.460.net.cn/config/cookie.php ( 0.56 KB )
  33. /yingpanguazai/ssd/ssd1/www/b.460.net.cn/config/database.php ( 2.47 KB )
  34. /yingpanguazai/ssd/ssd1/www/b.460.net.cn/vendor/topthink/framework/src/think/facade/Env.php ( 1.67 KB )
  35. /yingpanguazai/ssd/ssd1/www/b.460.net.cn/config/filesystem.php ( 0.61 KB )
  36. /yingpanguazai/ssd/ssd1/www/b.460.net.cn/config/lang.php ( 0.91 KB )
  37. /yingpanguazai/ssd/ssd1/www/b.460.net.cn/config/log.php ( 1.35 KB )
  38. /yingpanguazai/ssd/ssd1/www/b.460.net.cn/config/middleware.php ( 0.19 KB )
  39. /yingpanguazai/ssd/ssd1/www/b.460.net.cn/config/route.php ( 1.89 KB )
  40. /yingpanguazai/ssd/ssd1/www/b.460.net.cn/config/session.php ( 0.57 KB )
  41. /yingpanguazai/ssd/ssd1/www/b.460.net.cn/config/trace.php ( 0.34 KB )
  42. /yingpanguazai/ssd/ssd1/www/b.460.net.cn/config/view.php ( 0.82 KB )
  43. /yingpanguazai/ssd/ssd1/www/b.460.net.cn/app/event.php ( 0.25 KB )
  44. /yingpanguazai/ssd/ssd1/www/b.460.net.cn/vendor/topthink/framework/src/think/Event.php ( 7.67 KB )
  45. /yingpanguazai/ssd/ssd1/www/b.460.net.cn/app/service.php ( 0.13 KB )
  46. /yingpanguazai/ssd/ssd1/www/b.460.net.cn/app/AppService.php ( 0.26 KB )
  47. /yingpanguazai/ssd/ssd1/www/b.460.net.cn/vendor/topthink/framework/src/think/Service.php ( 1.64 KB )
  48. /yingpanguazai/ssd/ssd1/www/b.460.net.cn/vendor/topthink/framework/src/think/Lang.php ( 7.35 KB )
  49. /yingpanguazai/ssd/ssd1/www/b.460.net.cn/vendor/topthink/framework/src/lang/zh-cn.php ( 13.70 KB )
  50. /yingpanguazai/ssd/ssd1/www/b.460.net.cn/vendor/topthink/framework/src/think/initializer/Error.php ( 3.31 KB )
  51. /yingpanguazai/ssd/ssd1/www/b.460.net.cn/vendor/topthink/framework/src/think/initializer/RegisterService.php ( 1.33 KB )
  52. /yingpanguazai/ssd/ssd1/www/b.460.net.cn/vendor/services.php ( 0.14 KB )
  53. /yingpanguazai/ssd/ssd1/www/b.460.net.cn/vendor/topthink/framework/src/think/service/PaginatorService.php ( 1.52 KB )
  54. /yingpanguazai/ssd/ssd1/www/b.460.net.cn/vendor/topthink/framework/src/think/service/ValidateService.php ( 0.99 KB )
  55. /yingpanguazai/ssd/ssd1/www/b.460.net.cn/vendor/topthink/framework/src/think/service/ModelService.php ( 2.04 KB )
  56. /yingpanguazai/ssd/ssd1/www/b.460.net.cn/vendor/topthink/think-trace/src/Service.php ( 0.77 KB )
  57. /yingpanguazai/ssd/ssd1/www/b.460.net.cn/vendor/topthink/framework/src/think/Middleware.php ( 6.72 KB )
  58. /yingpanguazai/ssd/ssd1/www/b.460.net.cn/vendor/topthink/framework/src/think/initializer/BootService.php ( 0.77 KB )
  59. /yingpanguazai/ssd/ssd1/www/b.460.net.cn/vendor/topthink/think-orm/src/Paginator.php ( 11.86 KB )
  60. /yingpanguazai/ssd/ssd1/www/b.460.net.cn/vendor/topthink/think-validate/src/Validate.php ( 63.20 KB )
  61. /yingpanguazai/ssd/ssd1/www/b.460.net.cn/vendor/topthink/think-orm/src/Model.php ( 23.55 KB )
  62. /yingpanguazai/ssd/ssd1/www/b.460.net.cn/vendor/topthink/think-orm/src/model/concern/Attribute.php ( 21.05 KB )
  63. /yingpanguazai/ssd/ssd1/www/b.460.net.cn/vendor/topthink/think-orm/src/model/concern/AutoWriteData.php ( 4.21 KB )
  64. /yingpanguazai/ssd/ssd1/www/b.460.net.cn/vendor/topthink/think-orm/src/model/concern/Conversion.php ( 6.44 KB )
  65. /yingpanguazai/ssd/ssd1/www/b.460.net.cn/vendor/topthink/think-orm/src/model/concern/DbConnect.php ( 5.16 KB )
  66. /yingpanguazai/ssd/ssd1/www/b.460.net.cn/vendor/topthink/think-orm/src/model/concern/ModelEvent.php ( 2.33 KB )
  67. /yingpanguazai/ssd/ssd1/www/b.460.net.cn/vendor/topthink/think-orm/src/model/concern/RelationShip.php ( 28.29 KB )
  68. /yingpanguazai/ssd/ssd1/www/b.460.net.cn/vendor/topthink/think-helper/src/contract/Arrayable.php ( 0.09 KB )
  69. /yingpanguazai/ssd/ssd1/www/b.460.net.cn/vendor/topthink/think-helper/src/contract/Jsonable.php ( 0.13 KB )
  70. /yingpanguazai/ssd/ssd1/www/b.460.net.cn/vendor/topthink/think-orm/src/model/contract/Modelable.php ( 0.09 KB )
  71. /yingpanguazai/ssd/ssd1/www/b.460.net.cn/vendor/topthink/framework/src/think/Db.php ( 2.88 KB )
  72. /yingpanguazai/ssd/ssd1/www/b.460.net.cn/vendor/topthink/think-orm/src/DbManager.php ( 8.52 KB )
  73. /yingpanguazai/ssd/ssd1/www/b.460.net.cn/vendor/topthink/framework/src/think/Log.php ( 6.28 KB )
  74. /yingpanguazai/ssd/ssd1/www/b.460.net.cn/vendor/topthink/framework/src/think/Manager.php ( 3.92 KB )
  75. /yingpanguazai/ssd/ssd1/www/b.460.net.cn/vendor/psr/log/src/LoggerTrait.php ( 2.69 KB )
  76. /yingpanguazai/ssd/ssd1/www/b.460.net.cn/vendor/psr/log/src/LoggerInterface.php ( 2.71 KB )
  77. /yingpanguazai/ssd/ssd1/www/b.460.net.cn/vendor/topthink/framework/src/think/Cache.php ( 4.92 KB )
  78. /yingpanguazai/ssd/ssd1/www/b.460.net.cn/vendor/psr/simple-cache/src/CacheInterface.php ( 4.71 KB )
  79. /yingpanguazai/ssd/ssd1/www/b.460.net.cn/vendor/topthink/think-helper/src/helper/Arr.php ( 16.63 KB )
  80. /yingpanguazai/ssd/ssd1/www/b.460.net.cn/vendor/topthink/framework/src/think/cache/driver/File.php ( 7.84 KB )
  81. /yingpanguazai/ssd/ssd1/www/b.460.net.cn/vendor/topthink/framework/src/think/cache/Driver.php ( 9.03 KB )
  82. /yingpanguazai/ssd/ssd1/www/b.460.net.cn/vendor/topthink/framework/src/think/contract/CacheHandlerInterface.php ( 1.99 KB )
  83. /yingpanguazai/ssd/ssd1/www/b.460.net.cn/app/Request.php ( 0.09 KB )
  84. /yingpanguazai/ssd/ssd1/www/b.460.net.cn/vendor/topthink/framework/src/think/Request.php ( 55.78 KB )
  85. /yingpanguazai/ssd/ssd1/www/b.460.net.cn/app/middleware.php ( 0.25 KB )
  86. /yingpanguazai/ssd/ssd1/www/b.460.net.cn/vendor/topthink/framework/src/think/Pipeline.php ( 2.61 KB )
  87. /yingpanguazai/ssd/ssd1/www/b.460.net.cn/vendor/topthink/think-trace/src/TraceDebug.php ( 3.40 KB )
  88. /yingpanguazai/ssd/ssd1/www/b.460.net.cn/vendor/topthink/framework/src/think/middleware/SessionInit.php ( 1.94 KB )
  89. /yingpanguazai/ssd/ssd1/www/b.460.net.cn/vendor/topthink/framework/src/think/Session.php ( 1.80 KB )
  90. /yingpanguazai/ssd/ssd1/www/b.460.net.cn/vendor/topthink/framework/src/think/session/driver/File.php ( 6.27 KB )
  91. /yingpanguazai/ssd/ssd1/www/b.460.net.cn/vendor/topthink/framework/src/think/contract/SessionHandlerInterface.php ( 0.87 KB )
  92. /yingpanguazai/ssd/ssd1/www/b.460.net.cn/vendor/topthink/framework/src/think/session/Store.php ( 7.12 KB )
  93. /yingpanguazai/ssd/ssd1/www/b.460.net.cn/vendor/topthink/framework/src/think/Route.php ( 23.73 KB )
  94. /yingpanguazai/ssd/ssd1/www/b.460.net.cn/vendor/topthink/framework/src/think/route/RuleName.php ( 5.75 KB )
  95. /yingpanguazai/ssd/ssd1/www/b.460.net.cn/vendor/topthink/framework/src/think/route/Domain.php ( 2.53 KB )
  96. /yingpanguazai/ssd/ssd1/www/b.460.net.cn/vendor/topthink/framework/src/think/route/RuleGroup.php ( 22.43 KB )
  97. /yingpanguazai/ssd/ssd1/www/b.460.net.cn/vendor/topthink/framework/src/think/route/Rule.php ( 26.95 KB )
  98. /yingpanguazai/ssd/ssd1/www/b.460.net.cn/vendor/topthink/framework/src/think/route/RuleItem.php ( 9.78 KB )
  99. /yingpanguazai/ssd/ssd1/www/b.460.net.cn/route/app.php ( 1.72 KB )
  100. /yingpanguazai/ssd/ssd1/www/b.460.net.cn/vendor/topthink/framework/src/think/facade/Route.php ( 4.70 KB )
  101. /yingpanguazai/ssd/ssd1/www/b.460.net.cn/vendor/topthink/framework/src/think/route/dispatch/Controller.php ( 4.74 KB )
  102. /yingpanguazai/ssd/ssd1/www/b.460.net.cn/vendor/topthink/framework/src/think/route/Dispatch.php ( 10.44 KB )
  103. /yingpanguazai/ssd/ssd1/www/b.460.net.cn/app/controller/Index.php ( 4.81 KB )
  104. /yingpanguazai/ssd/ssd1/www/b.460.net.cn/app/BaseController.php ( 2.05 KB )
  105. /yingpanguazai/ssd/ssd1/www/b.460.net.cn/vendor/topthink/think-orm/src/facade/Db.php ( 0.93 KB )
  106. /yingpanguazai/ssd/ssd1/www/b.460.net.cn/vendor/topthink/think-orm/src/db/connector/Mysql.php ( 5.44 KB )
  107. /yingpanguazai/ssd/ssd1/www/b.460.net.cn/vendor/topthink/think-orm/src/db/PDOConnection.php ( 52.47 KB )
  108. /yingpanguazai/ssd/ssd1/www/b.460.net.cn/vendor/topthink/think-orm/src/db/Connection.php ( 8.39 KB )
  109. /yingpanguazai/ssd/ssd1/www/b.460.net.cn/vendor/topthink/think-orm/src/db/ConnectionInterface.php ( 4.57 KB )
  110. /yingpanguazai/ssd/ssd1/www/b.460.net.cn/vendor/topthink/think-orm/src/db/builder/Mysql.php ( 16.58 KB )
  111. /yingpanguazai/ssd/ssd1/www/b.460.net.cn/vendor/topthink/think-orm/src/db/Builder.php ( 24.06 KB )
  112. /yingpanguazai/ssd/ssd1/www/b.460.net.cn/vendor/topthink/think-orm/src/db/BaseBuilder.php ( 27.50 KB )
  113. /yingpanguazai/ssd/ssd1/www/b.460.net.cn/vendor/topthink/think-orm/src/db/Query.php ( 15.71 KB )
  114. /yingpanguazai/ssd/ssd1/www/b.460.net.cn/vendor/topthink/think-orm/src/db/BaseQuery.php ( 45.13 KB )
  115. /yingpanguazai/ssd/ssd1/www/b.460.net.cn/vendor/topthink/think-orm/src/db/concern/TimeFieldQuery.php ( 7.43 KB )
  116. /yingpanguazai/ssd/ssd1/www/b.460.net.cn/vendor/topthink/think-orm/src/db/concern/AggregateQuery.php ( 3.26 KB )
  117. /yingpanguazai/ssd/ssd1/www/b.460.net.cn/vendor/topthink/think-orm/src/db/concern/ModelRelationQuery.php ( 20.07 KB )
  118. /yingpanguazai/ssd/ssd1/www/b.460.net.cn/vendor/topthink/think-orm/src/db/concern/ParamsBind.php ( 3.66 KB )
  119. /yingpanguazai/ssd/ssd1/www/b.460.net.cn/vendor/topthink/think-orm/src/db/concern/ResultOperation.php ( 7.01 KB )
  120. /yingpanguazai/ssd/ssd1/www/b.460.net.cn/vendor/topthink/think-orm/src/db/concern/WhereQuery.php ( 19.37 KB )
  121. /yingpanguazai/ssd/ssd1/www/b.460.net.cn/vendor/topthink/think-orm/src/db/concern/JoinAndViewQuery.php ( 7.11 KB )
  122. /yingpanguazai/ssd/ssd1/www/b.460.net.cn/vendor/topthink/think-orm/src/db/concern/TableFieldInfo.php ( 2.63 KB )
  123. /yingpanguazai/ssd/ssd1/www/b.460.net.cn/vendor/topthink/think-orm/src/db/concern/Transaction.php ( 2.77 KB )
  124. /yingpanguazai/ssd/ssd1/www/b.460.net.cn/vendor/topthink/framework/src/think/log/driver/File.php ( 5.96 KB )
  125. /yingpanguazai/ssd/ssd1/www/b.460.net.cn/vendor/topthink/framework/src/think/contract/LogHandlerInterface.php ( 0.86 KB )
  126. /yingpanguazai/ssd/ssd1/www/b.460.net.cn/vendor/topthink/framework/src/think/log/Channel.php ( 3.89 KB )
  127. /yingpanguazai/ssd/ssd1/www/b.460.net.cn/vendor/topthink/framework/src/think/event/LogRecord.php ( 1.02 KB )
  128. /yingpanguazai/ssd/ssd1/www/b.460.net.cn/vendor/topthink/think-helper/src/Collection.php ( 16.47 KB )
  129. /yingpanguazai/ssd/ssd1/www/b.460.net.cn/vendor/topthink/framework/src/think/facade/View.php ( 1.70 KB )
  130. /yingpanguazai/ssd/ssd1/www/b.460.net.cn/vendor/topthink/framework/src/think/View.php ( 4.39 KB )
  131. /yingpanguazai/ssd/ssd1/www/b.460.net.cn/vendor/topthink/framework/src/think/Response.php ( 8.81 KB )
  132. /yingpanguazai/ssd/ssd1/www/b.460.net.cn/vendor/topthink/framework/src/think/response/View.php ( 3.29 KB )
  133. /yingpanguazai/ssd/ssd1/www/b.460.net.cn/vendor/topthink/framework/src/think/Cookie.php ( 6.06 KB )
  134. /yingpanguazai/ssd/ssd1/www/b.460.net.cn/vendor/topthink/think-view/src/Think.php ( 8.38 KB )
  135. /yingpanguazai/ssd/ssd1/www/b.460.net.cn/vendor/topthink/framework/src/think/contract/TemplateHandlerInterface.php ( 1.60 KB )
  136. /yingpanguazai/ssd/ssd1/www/b.460.net.cn/vendor/topthink/think-template/src/Template.php ( 46.61 KB )
  137. /yingpanguazai/ssd/ssd1/www/b.460.net.cn/vendor/topthink/think-template/src/template/driver/File.php ( 2.41 KB )
  138. /yingpanguazai/ssd/ssd1/www/b.460.net.cn/vendor/topthink/think-template/src/template/contract/DriverInterface.php ( 0.86 KB )
  139. /yingpanguazai/ssd/ssd1/www/b.460.net.cn/runtime/temp/b35eef690f41e64ad9e1c098cfc7d3bc.php ( 11.98 KB )
  140. /yingpanguazai/ssd/ssd1/www/b.460.net.cn/vendor/topthink/think-trace/src/Html.php ( 4.42 KB )
  1. CONNECT:[ UseTime:0.000626s ] mysql:host=127.0.0.1;port=3306;dbname=b460;charset=utf8mb4
  2. SHOW FULL COLUMNS FROM `fenlei` [ RunTime:0.000755s ]
  3. SELECT * FROM `fenlei` WHERE `fid` = 0 [ RunTime:0.000325s ]
  4. SELECT * FROM `fenlei` WHERE `fid` = 63 [ RunTime:0.000233s ]
  5. SHOW FULL COLUMNS FROM `set` [ RunTime:0.000512s ]
  6. SELECT * FROM `set` [ RunTime:0.000207s ]
  7. SHOW FULL COLUMNS FROM `article` [ RunTime:0.000485s ]
  8. SELECT * FROM `article` WHERE `id` = 523782 LIMIT 1 [ RunTime:0.000495s ]
  9. UPDATE `article` SET `lasttime` = 1776435664 WHERE `id` = 523782 [ RunTime:0.003359s ]
  10. SELECT * FROM `fenlei` WHERE `id` = 65 LIMIT 1 [ RunTime:0.000264s ]
  11. SELECT * FROM `article` WHERE `id` < 523782 ORDER BY `id` DESC LIMIT 1 [ RunTime:0.000519s ]
  12. SELECT * FROM `article` WHERE `id` > 523782 ORDER BY `id` ASC LIMIT 1 [ RunTime:0.000390s ]
  13. SELECT * FROM `article` WHERE `id` < 523782 ORDER BY `id` DESC LIMIT 10 [ RunTime:0.008242s ]
  14. SELECT * FROM `article` WHERE `id` < 523782 ORDER BY `id` DESC LIMIT 10,10 [ RunTime:0.004830s ]
  15. SELECT * FROM `article` WHERE `id` < 523782 ORDER BY `id` DESC LIMIT 20,10 [ RunTime:0.002973s ]
0.090467s