(点击文末“阅读原文”,可直达原文链接)


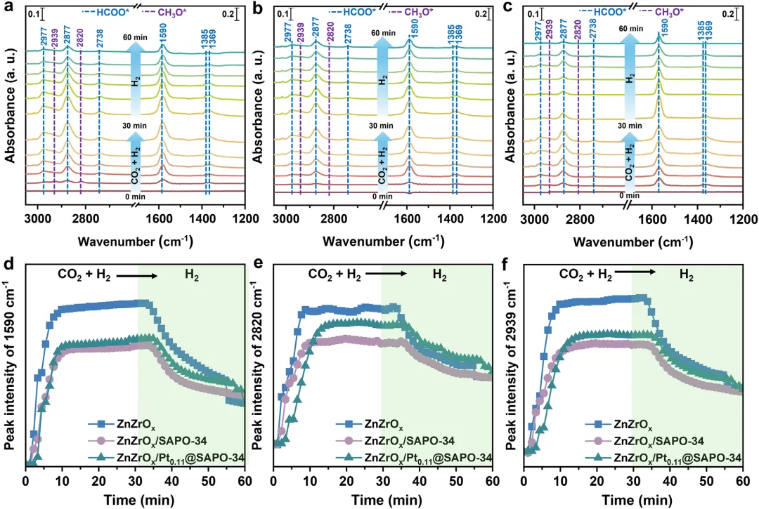
The depressing of atmospheric CO2 concentration necessitates sustainable chemical conversion strategies by direct hydrogenation to light alkanes (C20-C40) over oxide/zeolite (OXZEO) bifunctional catalyst. Prior studies demonstrated that SSZ-13 aluminosilicate with strong acidity as zeolite component promotes hydrogen transfer to yield alkanes but also accelerates coking/deactivation, while SAPO-34 silicoaluminophosphate with moderate acidity greatly improves the catalytic stability but yields insufficient alkane selectivity. Herein, we designed a new OXZEO bifunctional catalytic system based on trace Platinum species (0.11 wt.%) confined within SAPO-34 coupling with ZnZrOx solid solution (ZnZrOx/Pt@SAPO-34), achieving a high CO2 conversion (46.1%) with C20-C40 selectivity (94.1%), and giving a superior stable lifetime over 200 h. The excellent catalytic performance is attributed to the confined hydrogen spillover mechanism over Pt species in SAPO-34 that suppresses carbon deposition and enables efficient H2 dissociation and spillover to significantly promote light olefin hydrogenation to corresponding alkanes.
KEYWORDS: bifunctional catalyst, CO2 hydrogenation, light alkanes, zeolite
降低大气CO₂浓度需发展可持续化学转化策略,通过氧化物/沸石(OXZEO)双功能催化剂可将CO₂直接加氢转化为C20-C40链烷烃。先前研究表明,采用酸性较强的SSZ-13硅铝沸石作为沸石组分可促进氢转移生成烷烃,但也会加速积炭/失活;而酸性适中的SAPO-34硅磷铝分子筛虽显著提高了催化稳定性,却无法获得足够的烷烃选择性。

要点1. 本文设计了一种基于痕量Pt物种(0.11 wt.%)限域于SAPO-34中并与ZnZrOx固溶体耦合的新型OXZEO双功能催化体系(ZnZrOx/Pt@SAPO-34),实现了46.1%的CO₂转化率与94.1%的C20-C40选择性,且具有超过200小时的优异稳定寿命。
要点2. 其出色的催化性能归因于SAPO-34中Pt物种的限域氢溢流机制,该机制抑制了积炭,并实现高效的H₂解离与溢流,从而显著促进轻质烯烃加氢生成相应的烷烃。
要点3. 本研究通过借鉴成熟的烷烃脱氢催化技术,为将CO₂转化为高价值烃类提供了一条可行且稳定的技术路径。










Jinsong Cui,Han Jiang, Jie Tuo*, Hongwei Guo, Ming-Ao Sun, Jilong Wang, Yan Wang*, Xudong Tian, Jiaqing Zhu, Jian Li, Peng Wu*, Le Xu*. Integrating Hydrogen Dissociation and Spillover Sites Into Platinum Confined SAPO-34 Zeolite Unlocks Efficient CO2 Hydrogenation to Light Alkanes. Angew. Chem. Int. Ed. 2026, e2445993.
DOI: 10.1002/ange.2445993
https://doi.org/10.1002/ange.2445993
1. 版权:推送内容仅供学习交流分享使用,版权归原作者和单位所有,文章内容仅代表作者本人观点,欢迎批评指正,如有侵权,请联系后台删除或修改,感谢支持!
2. 投稿:非常欢迎各位老师在公众号上介绍课题组最新或经典研究成果!后台联系即可。
3.商务合作: 本平台可推广学术会议、培训或科研产品,具体事宜可联系后台
(点击文末“阅读原文”,可直达原文链接)
往期推荐